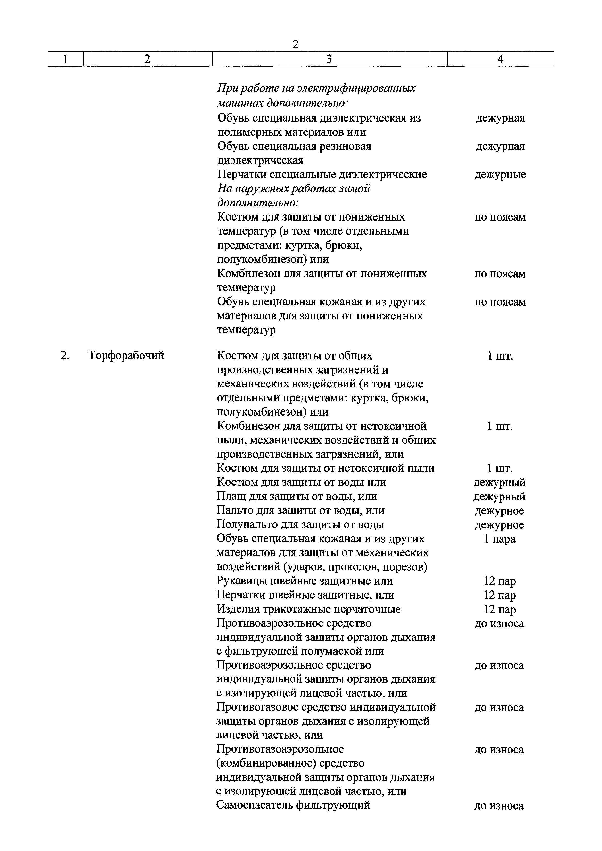
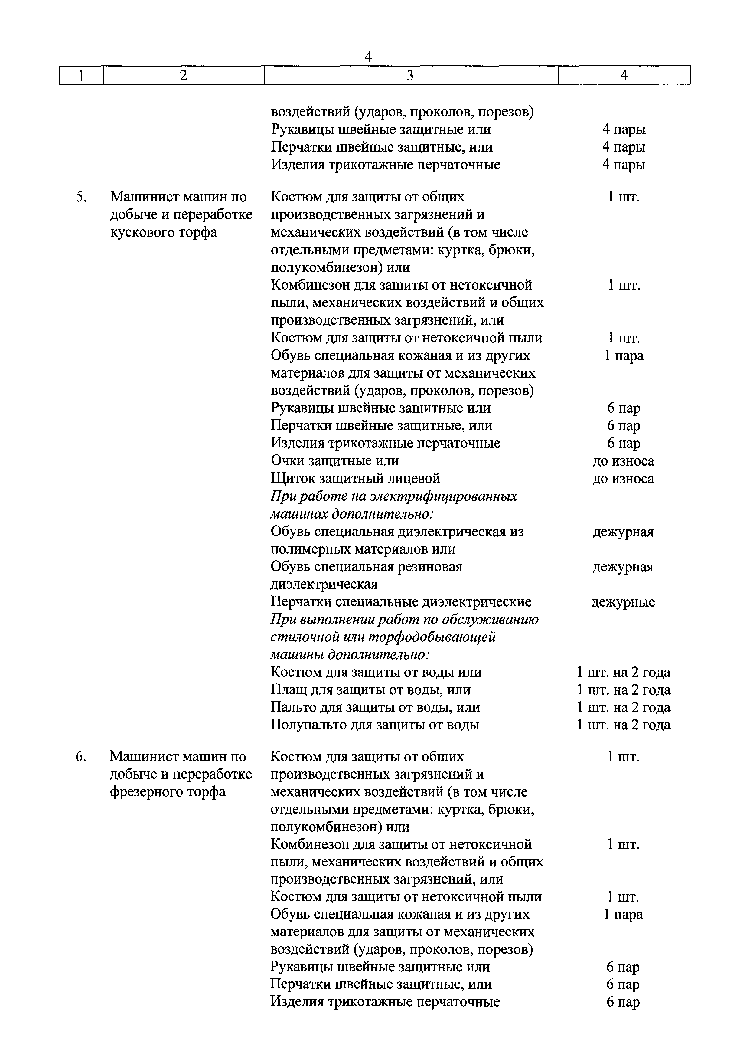
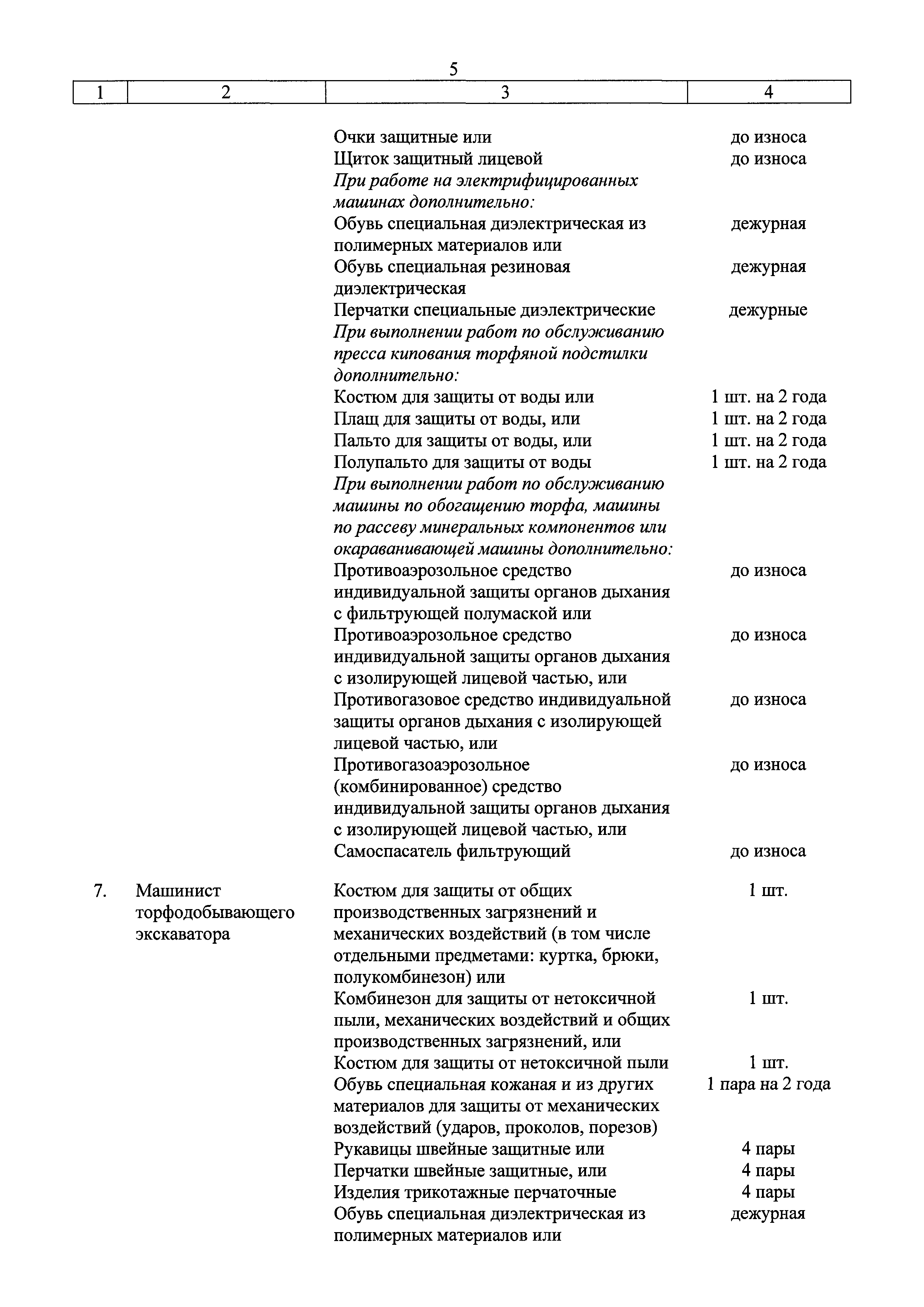
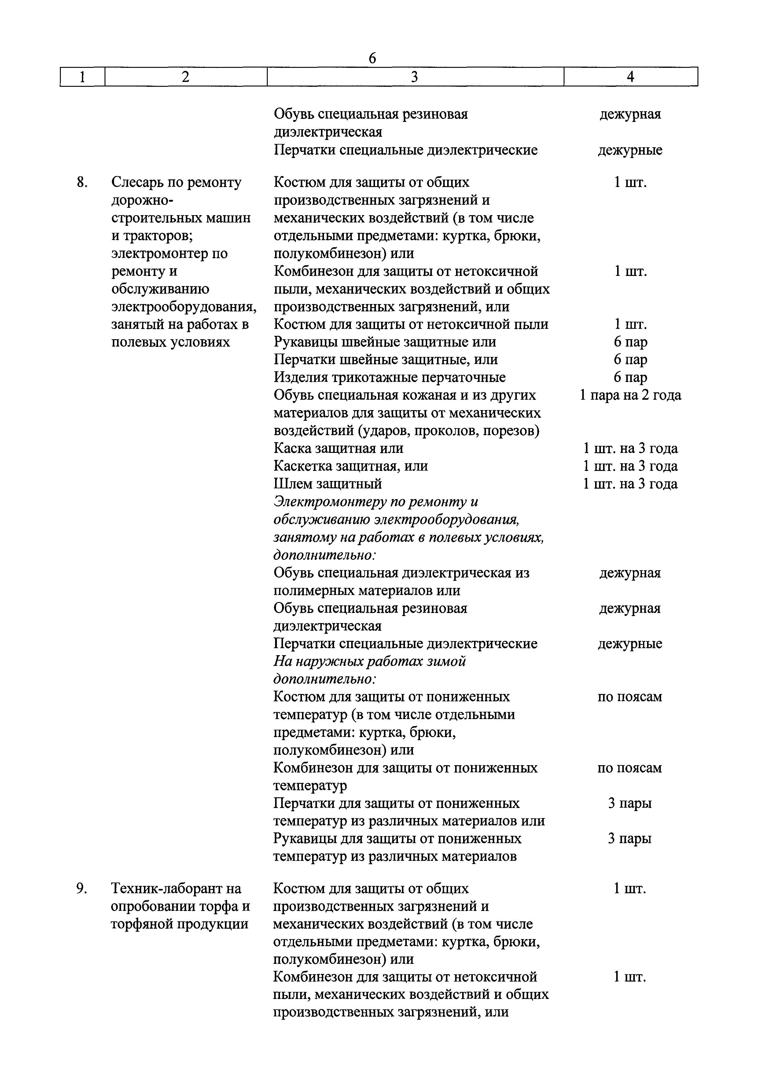
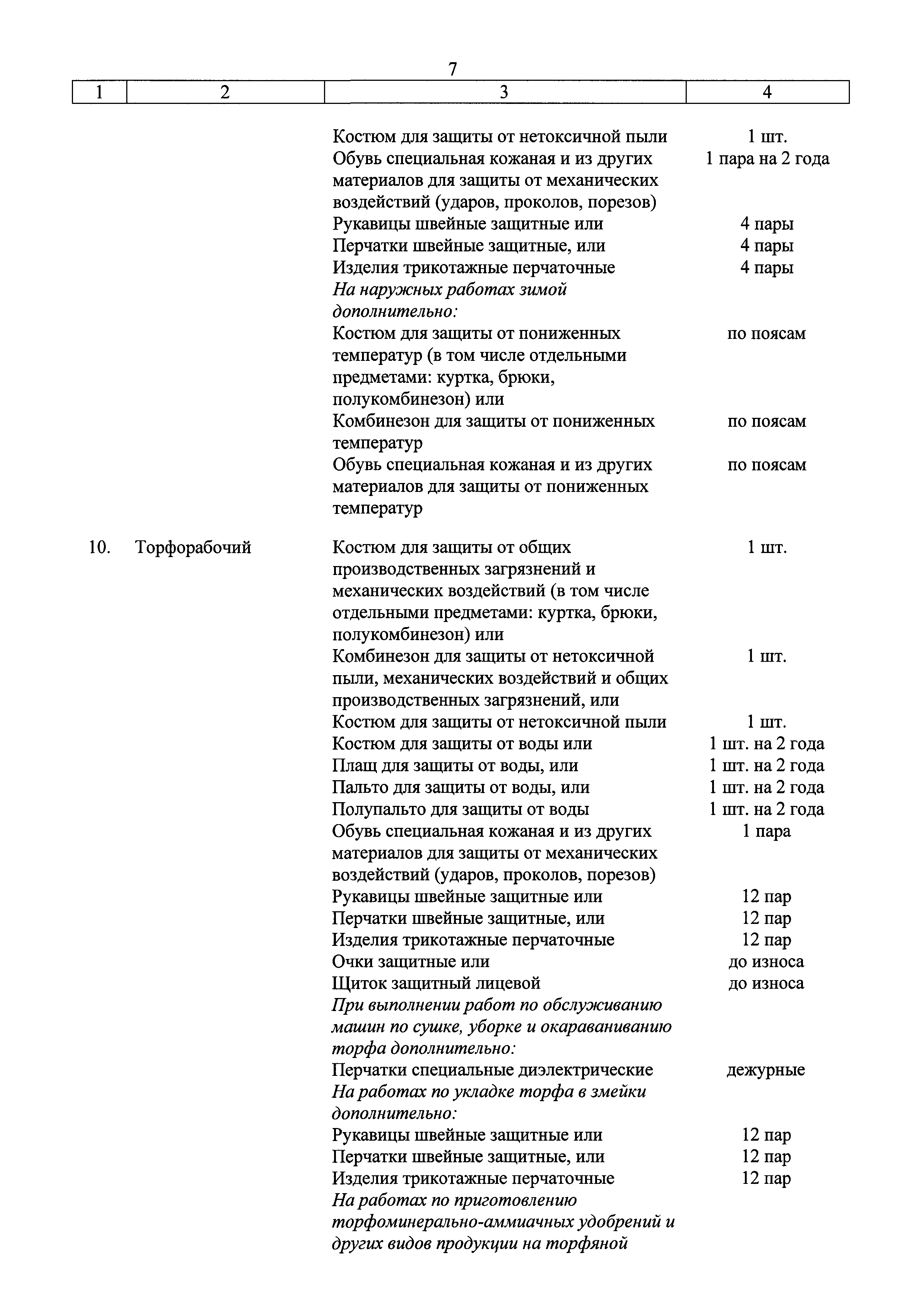
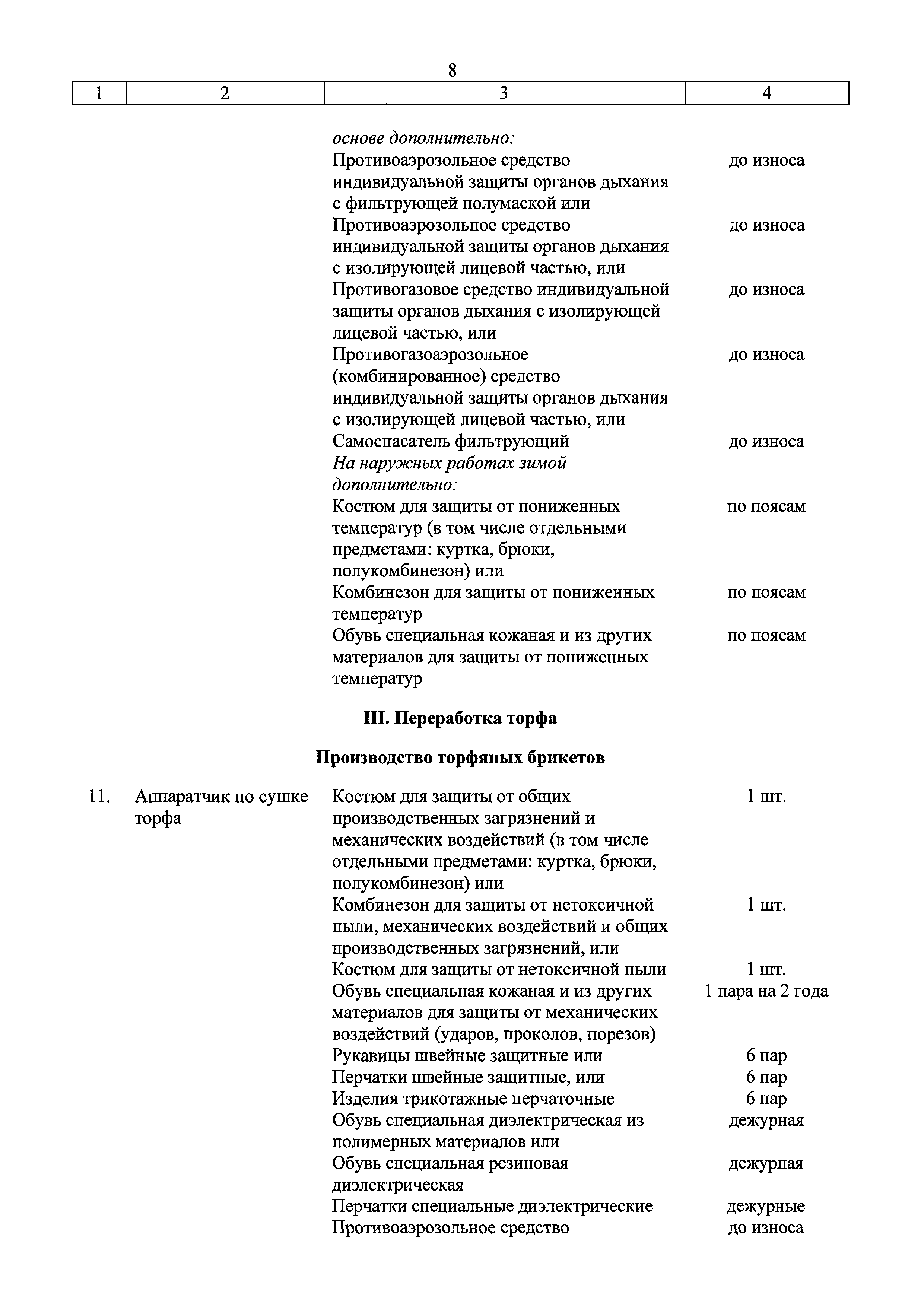
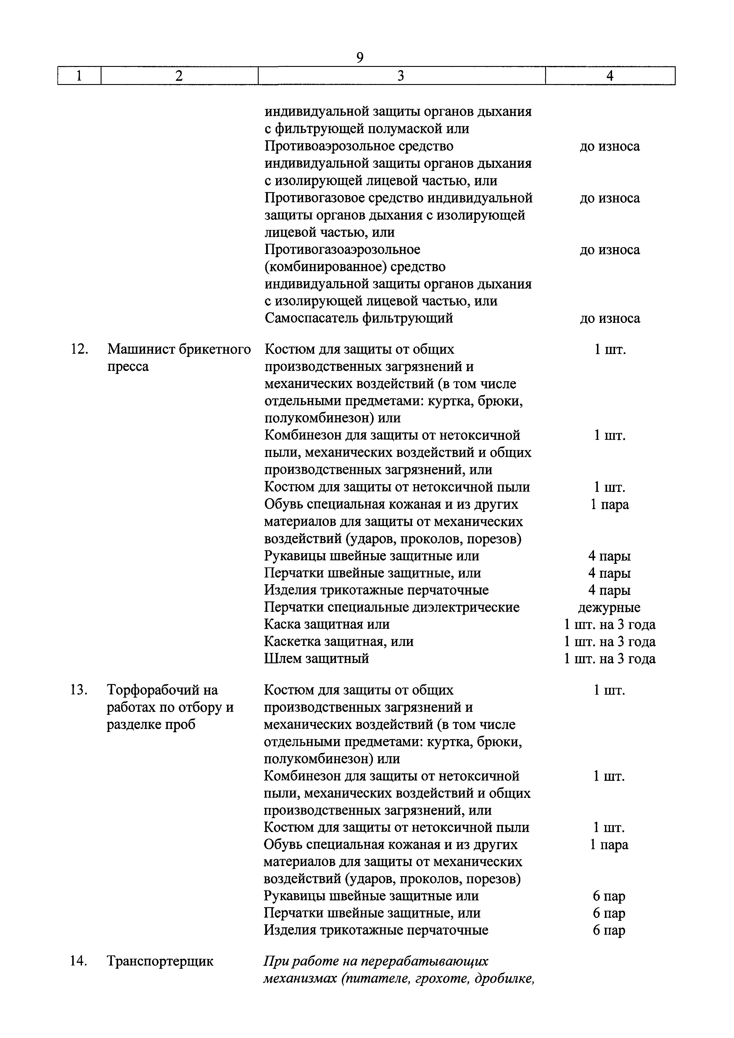
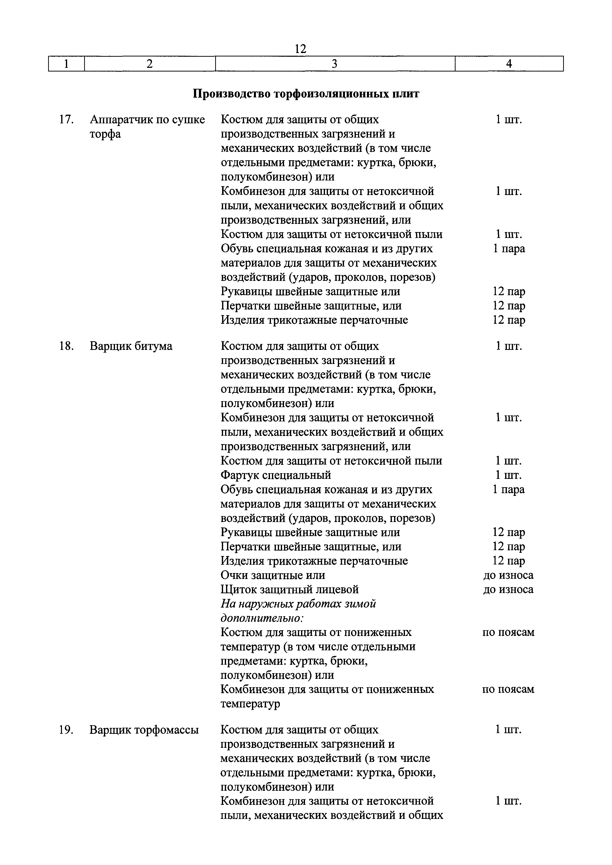
Скачать Типовые нормы бесплатной выдачи специальной одежды, специальной обуви и других средств индивидуальной защиты работникам торфозаготовительных и торфоперерабатывающих организаций, занятым на работах с вредными и (или) опасными условиями труда, а также на работах, выполняемых в особых температурных условиях или связанных с загрязнениемДата актуализации: 01.01.2021
Типовые нормы бесплатной выдачи специальной одежды, специальной обуви и других средств индивидуальной защиты работникам торфозаготовительных и торфоперерабатывающих организаций, занятым на работах с вредными и (или) опасными условиями труда, а также на работах, выполняемых в особых температурных условиях или связанных с загрязнением| Статус: | действует | | Название рус.: | Типовые нормы бесплатной выдачи специальной одежды, специальной обуви и других средств индивидуальной защиты работникам торфозаготовительных и торфоперерабатывающих организаций, занятым на работах с вредными и (или) опасными условиями труда, а также на работах, выполняемых в особых температурных условиях или связанных с загрязнением | | Дата добавления в базу: | 01.02.2020 | | Дата актуализации: | 01.01.2021 | | Дата введения: | 21.03.2019 | | Утверждён: | 20.12.2018 Министерство труда и социальной защиты РФ (827н)
| | Издан: | Официальный интернет-портал правовой информации (www.pravo.gov.ru) (№ 0001201901160033 от 16.01.2019 г.)
|
              
|