Скачать ГОСТ Р 58298-2018 Информационные технологии. Биометрия. Форматы обмена биометрическими данными. Часть 4. Данные изображения отпечатка пальцаДата актуализации: 01.01.2021
|
| Обозначение: | ГОСТ Р 58298-2018 |
| Обозначение англ: | GOST R 58298-2018 |
| Статус: | взамен |
| Название рус.: | Информационные технологии. Биометрия. Форматы обмена биометрическими данными. Часть 4. Данные изображения отпечатка пальца |
| Название англ.: | Information technology. Biometrics. Biometric data interchange formats. Part 4. Finger image data |
| Дата добавления в базу: | 01.02.2020 |
| Дата актуализации: | 01.01.2021 |
| Дата введения: | 01.08.2019 |
| Область применения: | Стандарт устанавливает требования к формату обмена записями данных для хранения, записи и передачи информации об одном или нескольких изображениях отпечатков пальцев или областей ладоней. Положения стандарта могут использоваться для передачи и сравнения данных изображения отпечатка пальца. Стандарт устанавливает состав, формат и единицы измерения данных изображения отпечатка пальца, используемых для биометрической регистрации, верификации или идентификации субъекта. Данная информация содержит набор обязательных и дополнительных элементов, включая параметры сканирования, информацию о сжатии изображения и информацию, определяемую изготовителем. Стандарт предназначен для обмена биометрическими данными между организациями, использующими устройства и системы автоматической идентификации или верификации на основе данных изображения отпечатка пальца. Информация, полученная и обработанная в соответствии с требованиями стандарта, может быть записана на машиносчитываемые носители или передана по линиям связи. |
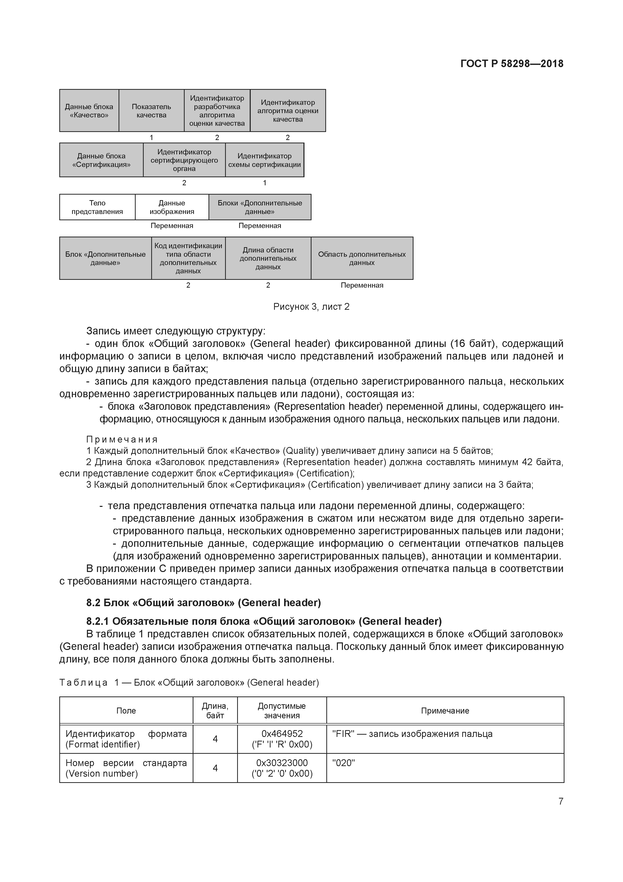
| Оглавление: | 1 Область применения 2 Соответствие 3 Нормативные ссылки 4 Термины и определения 5 Обозначения и сокращения 6 Представление данных 6.1 Последовательность байтов и битов 6.2 Порядок сканирования 7 Требования к регистрации изображения 7.1 Общие требования 7.2 Отношение размеров пикселя 7.3 Битовая глубина 7.4 Данные градаций серого 7.5 Динамический диапазон изображения 7.6 Частота пространственной дискретизации биометрического сканера 7.7 Частота пространственной дискретизации изображения 7.8 Расположение пальца при сканировании 7.9 Расположение ладони при сканировании 8 Формат записи изображения отпечатка пальца 8.1 Структура записи 8.2 Блок "Общий заголовок" (General header) 8.3 Блок "Заголовок представления" (Representation header) 8.4 Блок "Дополнительные данные" (Extended data) 9 Зарегистрированный идентификатор типа формата Приложение A (обязательное) Методология испытаний на соответствие Приложение B (обязательное) Сертификация биометрических сканеров Приложение C (справочное) Пример записи данных изображения отпечатка пальца Приложение D (справочное) Условия для регистрации изображений отпечатков пальцев Приложение E (обязательное) Пример записи изображения отпечатков пальцев в формате XML Приложение F (справочное) Пример XML-кодирования Приложение ДА (справочное) Сведения о соответствии ссылочных национальных и межгосударственных стандартов международным стандартам, использованным в качестве ссылочных в примененном международном стандарте Приложение ДБ (справочное) Сопоставление структуры настоящего стандарта со структурой примененного в нем международного стандарта Библиография |
| Разработан: | ФГУП ВНИИНМАШ МГТУ им. Н.Э. Баумана Некоммерческое партнерство Русское биометрическое общество |
| Утверждён: | 05.12.2018 Федеральное агентство по техническому регулированию и метрологии (1069-ст) |
| Издан: | Стандартинформ (2018 г. ) |
| Заменяет собой: | |
| Нормативные ссылки: |
|

































































































