Скачать Укрупненные нормативы цены типовых технологических решений капитального строительства объектов электроэнергетики в части объектов электросетевого хозяйстваДата актуализации: 01.01.2021
Укрупненные нормативы цены типовых технологических решений капитального строительства объектов электроэнергетики в части объектов электросетевого хозяйства| Статус: | действует | | Название рус.: | Укрупненные нормативы цены типовых технологических решений капитального строительства объектов электроэнергетики в части объектов электросетевого хозяйства | | Дата добавления в базу: | 01.02.2020 | | Дата актуализации: | 01.01.2021 | | Дата введения: | 19.02.2019 | | Область применения: | Укрупненные нормативы цены типовых технологических решений капитального строительства объектов электроэнергетики в части объектов электросетевого хозяйства разработаны в целях определения объема финансовых потребностей, который не должны превышать:
объем финансовых потребностей, необходимый для строительства (реконструкции, технического перевооружения) объектов электросетевого хозяйства, являющихся объектами капитального строительства, предусмотренный утверждаемыми инвестиционными программами субъектов электроэнергетики;
фактическая стоимость строительства (реконструкции, технического перевооружения) объектов электросетевого хозяйства, являющихся объектами капитального строительства, введенных в эксплуатацию в соответствии с утвержденными инвестиционными программами, используемая для определения размера активов регулируемой организации, который учитывается при определении величины базы инвестированного капитала на каждый очередной год долгосрочного периода регулирования и на 1-й год очередного долгосрочного периода регулирования;
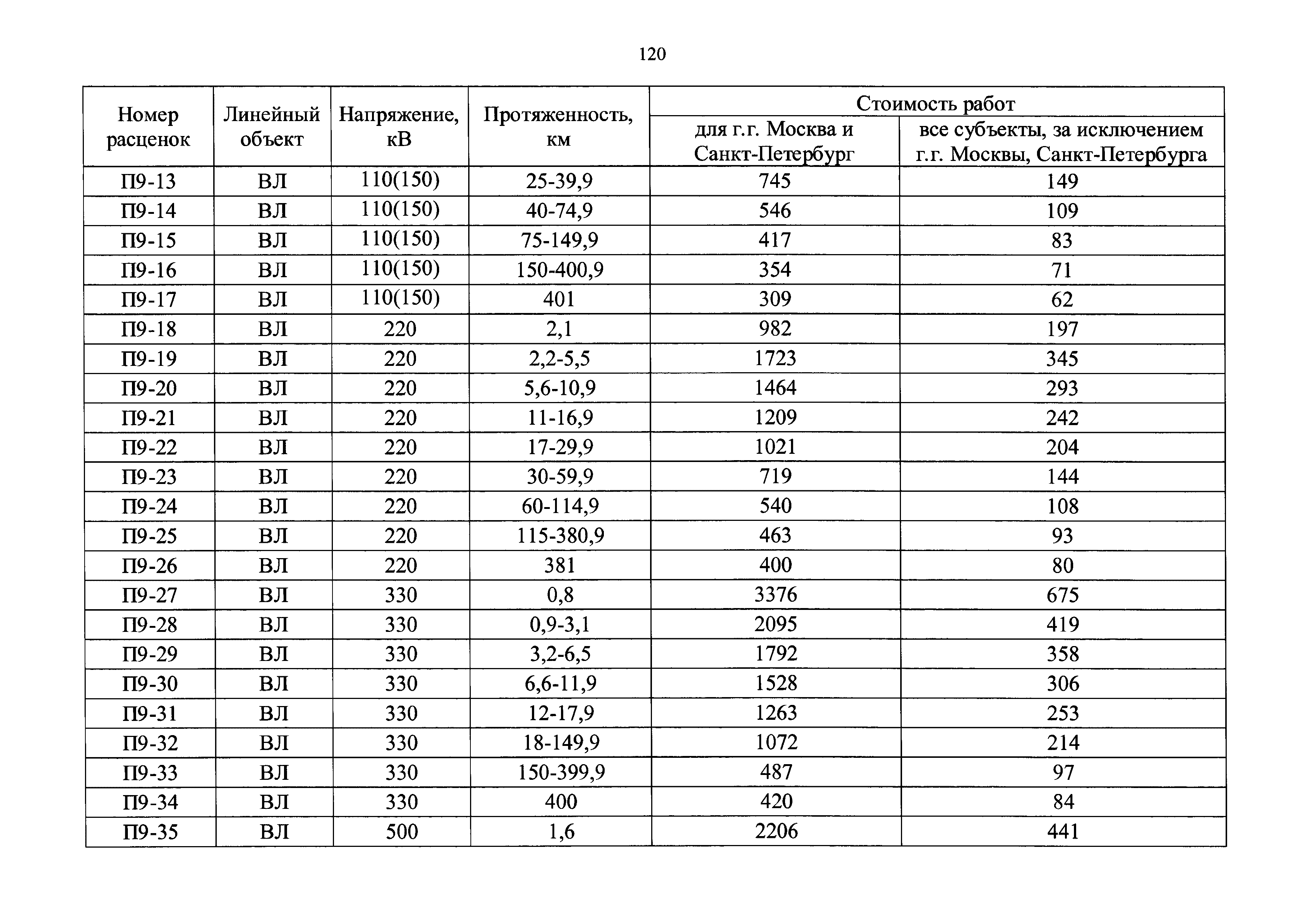
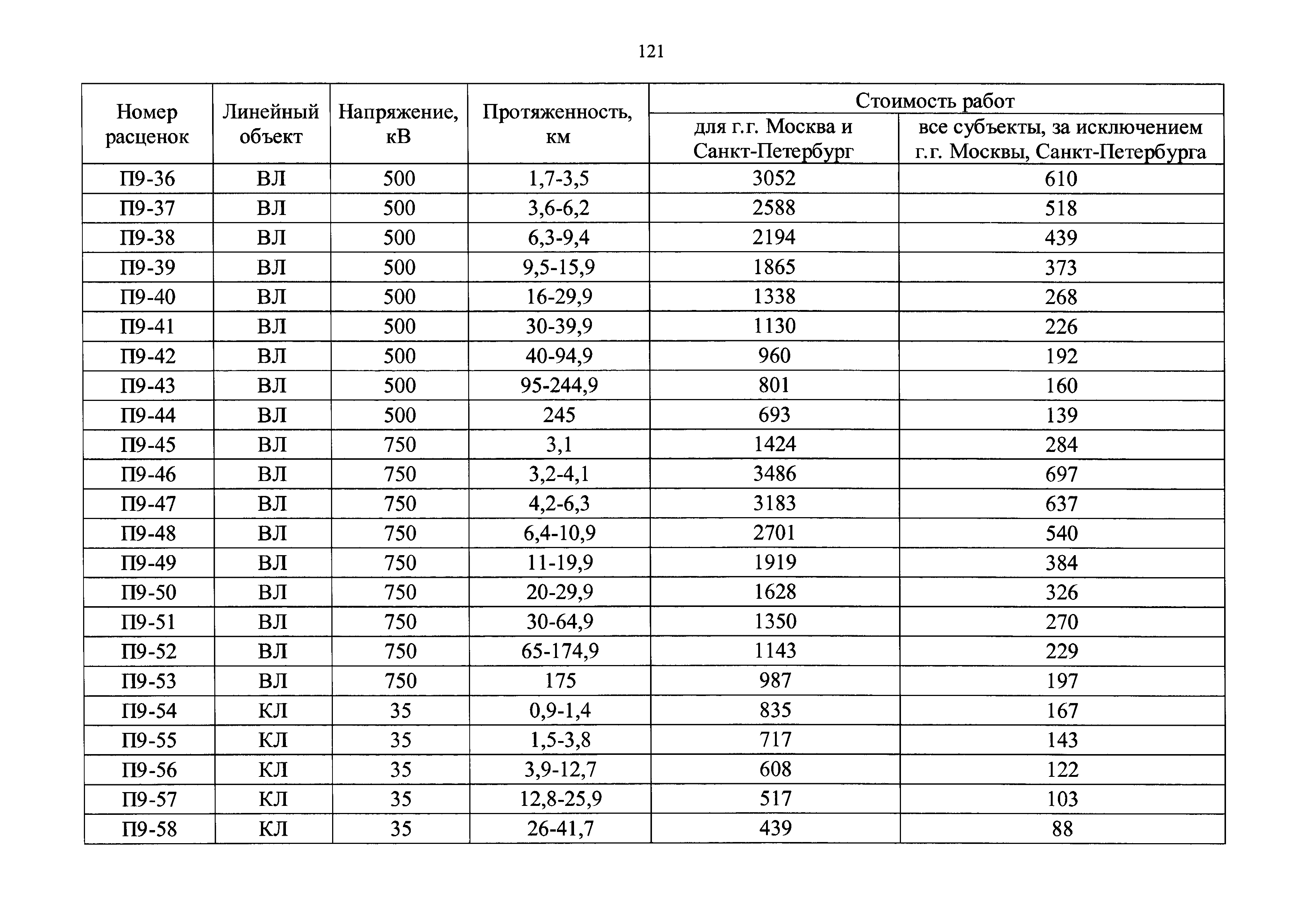
стоимость строительства (реконструкции, технического перевооружения) объектов электросетевого хозяйства, являющихся объектами капитального строительства, определяемая в соответствии с утвержденными инвестиционными программами сетевых организаций, используемая для определения стоимости активов, которая учитывается при определении величины базы инвестированного капитала на каждый очередной год долгосрочного периода регулирования и на 1-й год очередного долгосрочного периода регулирования. | | Оглавление: | I. Общие положения II. Ру 6 - 750 кВ III. Объекты электросетевого хозяйства с использованием управляемых элементов сети (автоматического пункта секционирования (реклоузера) 6 - 35 кВ, выключателя 6 - 750 кВ) IV. Ячейка трансформатора, регулировочного трансформатора, ячейка реактора ТОР (ДГР) 6 - 750 кВ V. КРМ 6 - 750 кВ VI. КТП (РП, РТП, СП), ячейки выключателя РП (СП, ТП, РТП) 6 - 20 кВ VII. Подготовка и устройство территории ПС (ЗПС) 35 - 750 кВ VIII. Система учета электрической энергии (мощности), АИИС КУЭ, ПКУ, технический учет электроэнергии IХ. АСУТП ПС и ТМ Х. Системы связи, УПАСК, ПА ХI. ПС 35 - 750 кВ ХII. ЗПС 35 - 500 кВ ХIII. Здание ПС (ОПУ, ЗРУ, РЩ, ЗПС, РПБ) ХIV. Ячейка выключателя и элементы ПС ХV. РЗА, система оперативного постоянного тока и собственных нужд ПС, сети связи ХVI. Комплекс систем безопасности ПС ХVII. КЛ 0,4 - 500 кВ ХVIII. Подготовка и устройство территории при прокладке кабельной линии XIХ. Кабельные сооружения и устройство переходов при прокладке кабельной линии ХХ. Подводная прокладка КЛ 6 - 500 кВ ХХI. ВЛ 0,4 - 750 кВ ХХII. Переход ВЛ (переходной пункт ВЛ-КЛ) ХХIII. ВОЛС ХХIV. УПГ ХХV. Очистка местности от взрывоопасных предметов ХХVI. ДГУ ХХVII. Проектно-изыскательские работы (для всех субъектов Российской Федерации) ХХVIII. Разработка землеустроительной документации и оформление земельных отношений ХХIХ. Коэффициенты перехода (пересчета) от базового УНЦ к УНЦ субъектов Российской Федерации | | Утверждён: | 17.01.2019 Министерство энергетики РФ (Russian Federation Ministry of Energy 10)
| | Издан: | Официальный интернет-портал правовой информации (www.pravo.gov.ru) (08.02.2019)
| | Заменяет собой: | | | Нормативные ссылки: | |
                                                                                                                                             
|