Скачать ГОСТ ISO 22745-20-2018 Системы промышленной автоматизации и интеграция. Открытые технические словари и их применение к основным данным. Часть 20. Процедуры обслуживания открытого технического словаряДата актуализации: 01.01.2021
|
| Обозначение: | ГОСТ ISO 22745-20-2018 |
| Обозначение англ: | 22745-20-2018 |
| Статус: | введен впервые |
| Название рус.: | Системы промышленной автоматизации и интеграция. Открытые технические словари и их применение к основным данным. Часть 20. Процедуры обслуживания открытого технического словаря |
| Название англ.: | Industrial automation systems and integration. Open technical dictionaries and their application to master data. Part 20. Procedures for the maintenance of an open technical dictionary |
| Дата добавления в базу: | 01.02.2020 |
| Дата актуализации: | 01.01.2021 |
| Дата введения: | 01.09.2019 |
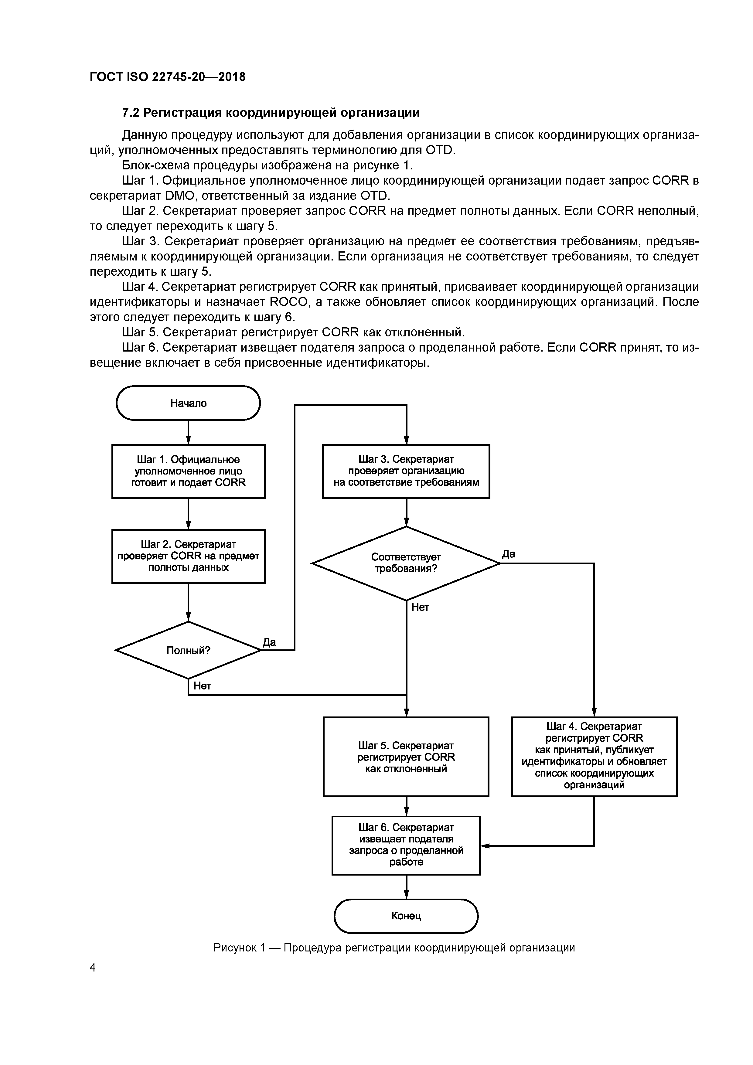
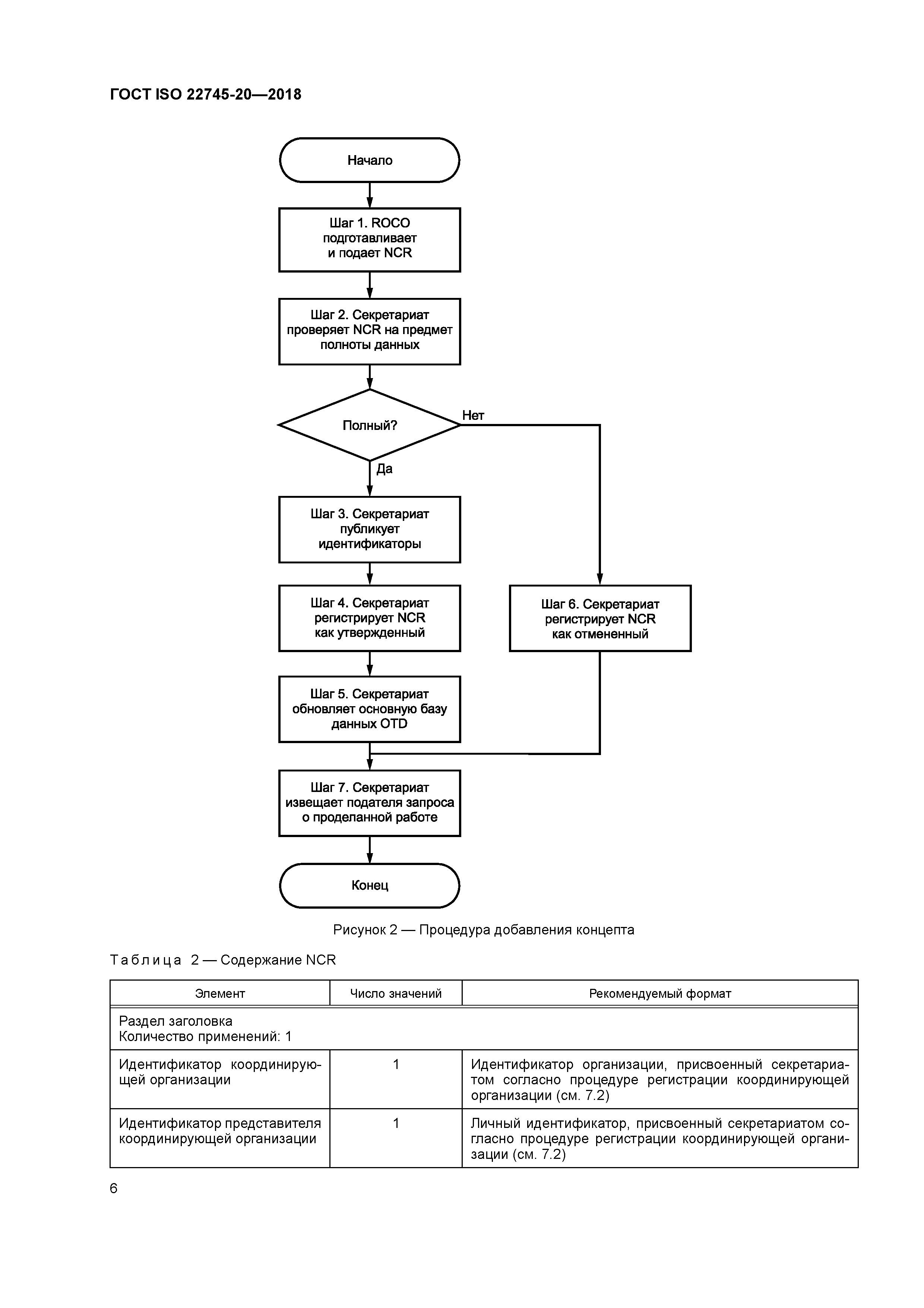
| Область применения: | Стандарт описывает процедуры и методы обслуживания открытого технического словаря (OTD). Настоящий стандарт применяется при использовании словарей концептов, терминологию которых представляют координирующие организации, стандартизирующие термины до их представления в организацию, обслуживающую словарь (DMO), с целью дальнейшего включения этих терминов в словарь концептов. |
| Оглавление: | 1 Область применения 2 Нормативные ссылки 3 Термины и определения 4 Сокращения 5 Организация по обслуживанию словаря (DMO) 5.1 Общие требования 5.2 Структура DMO 5.3 Секретариат 5.4 Аттестационный комитет (VC) 6 Выпуск OTD 7 Процедуры 7.1 Общая информация 7.2 Регистрация координирующей организации 7.3 Добавление концепта 7.4 Изменение документации на концепт 8 Управление OTD Приложение A (обязательное) Идентификация документа Приложение B (справочное) Дополнительная информация по реализации Приложение C (справочное) Сценарии Приложение D (справочное) Руководство по применению Приложение ДА (справочное) Сведения о соответствии ссылочных международных стандартов межгосударственным стандартам Библиография |
| Разработан: | ФБУ КВФ Интерстандарт |
| Утверждён: | 27.07.2018 Межгосударственный Совет по стандартизации, метрологии и сертификации (Inter-Governmental Council on Standardization, Metrology, and Certification 101-П) 26.02.2019 Федеральное агентство по техническому регулированию и метрологии (63-ст) |
| Издан: | Стандартинформ (2019 г. ) |
| Нормативные ссылки: |






























