Скачать ГОСТ Р МЭК 62855-2019 Атомные станции. Электроэнергетические системы. Анализ электроэнергетических системДата актуализации: 01.01.2021
|
| Обозначение: | ГОСТ Р МЭК 62855-2019 |
| Обозначение англ: | GOST R IEC 62855-2019 |
| Статус: | введен впервые |
| Название рус.: | Атомные станции. Электроэнергетические системы. Анализ электроэнергетических систем |
| Название англ.: | Nuclear power plants. Electrical power systems. Electrical power systems analysis |
| Дата добавления в базу: | 01.02.2020 |
| Дата актуализации: | 01.01.2021 |
| Дата введения: | 01.08.2019 |
| Область применения: | В стандарте приведены методические указания по электротехнике в отношении анализа электроэнергетических систем AC и DC на NPP с целью продемонстрировать то, что все источники питания и системы распределения имеют рабочую мощность, необходимую для безопасной работы и останова NPP, переводу ее в контролируемое состояние после проектного нарушения нормальной эксплуатации, или аварийных условий, и, в конечном итоге, достижения безопасного состояния. Аналитические исследования, обсуждаемые в настоящем стандарте, дают гарантию того, что проектные основы удовлетворяют функциональным требованиям в условиях, формируемых применяемыми проектными аварийными событиями. Исследования дают гарантию того, что электроэнергетическая система способна поддерживать функции обеспечения безопасности в ходе всех необходимых режимов работы станции. Аналитические исследования валидируют надежность и адекватность проектных решений и демонстрируют способность электроэнергетических систем поддерживать работу станций при нормальной эксплуатации, нарушении нормальной эксплуатации и аварийных условиях. Анализы используются для верификации того, что электроэнергетическая система может выдерживать незначительные нарушения и что последствия серьезных нарушений или отказов не нарушат способность электроэнергетических систем по поддержанию безопасного останова станции и будут сохранять станцию в состоянии останова. Аналитические исследования выполняют с использованием одного или нескольких: - инструментов моделирования (программное и аппаратное обеспечение), которые были верифицированы и валидированы, - ручных вычислений, - испытаний (тестов). В стандарте представлены методические указания по типам аналитических исследований, которые необходимы для демонстрации того, что вспомогательная электроэнергетическая система станции может выполнять необходимые функции обеспечения безопасности. В настоящем стандарте не приводится подробная информация по методике проведения исследования. В стандарте не описываются цифровые контроллеры (такие как контроллеры для выпрямителей, инверторов, устройств управления последовательностью операций и электрическими защитными устройствами), используемыми в электроэнергетических системах. В МЭК 61513 приведены рекомендации, которые применяют в отношении электронных средств управления и защитных элементов электроэнергетических систем. В стандарте не приведены условия окружающей среды (т.е. Температура, влажность и т.п.) или внешние события (сейсмические, наводнения, пожары, мощные электромагнитные импульсы, и т.п.), которые могут влиять на параметры или требования к защите оборудования. Молнии и геомагнитные бури включены в разряд внешних событий. В стандарте не рассматриваются дополнительные или особые требования для автономных энергетических систем, такие как электроснабжение систем безопасности на NРР. Применимые разделы настоящего стандарта могут использоваться в качестве руководства для подобных систем. Резервируемость в устройстве электроэнергетических систем может повысить готовность электроснабжения для критического оборудования станции. Выполнение вероятностного анализа безопасности (РRА) представляет собой метод оценки готовности системы, а также оптимизации конструкции системы с точки зрения высокой надежности. В данном стандарте не рассматривается повышение надежности электроэнергетических систем NРР на основе статических или разнотипных и избыточных схем. Требования к внутренним барьерам защищенности персонала, который участвует в монтаже, тех- обслуживании и эксплуатации электрических систем, а также общая личная безопасность не рассматриваются в данном стандарте. Общие указания по молниезащите оборудования приведены в соответствующих разделах настоящего стандарта. Настоящий стандарт предназначен для использования: - для верификации проекта новых атомных станций, - для демонстрации соответствия и влияния значительных изменений электроэнергетических систем при эксплуатации атомных станций, - когда существует требование оценить и определить максимальные эксплуатационные пределы и ограничения для существующих станций. Соответствующие части настоящего стандарта допускается использовать в качестве руководства на этапе вывода из эксплуатации. |
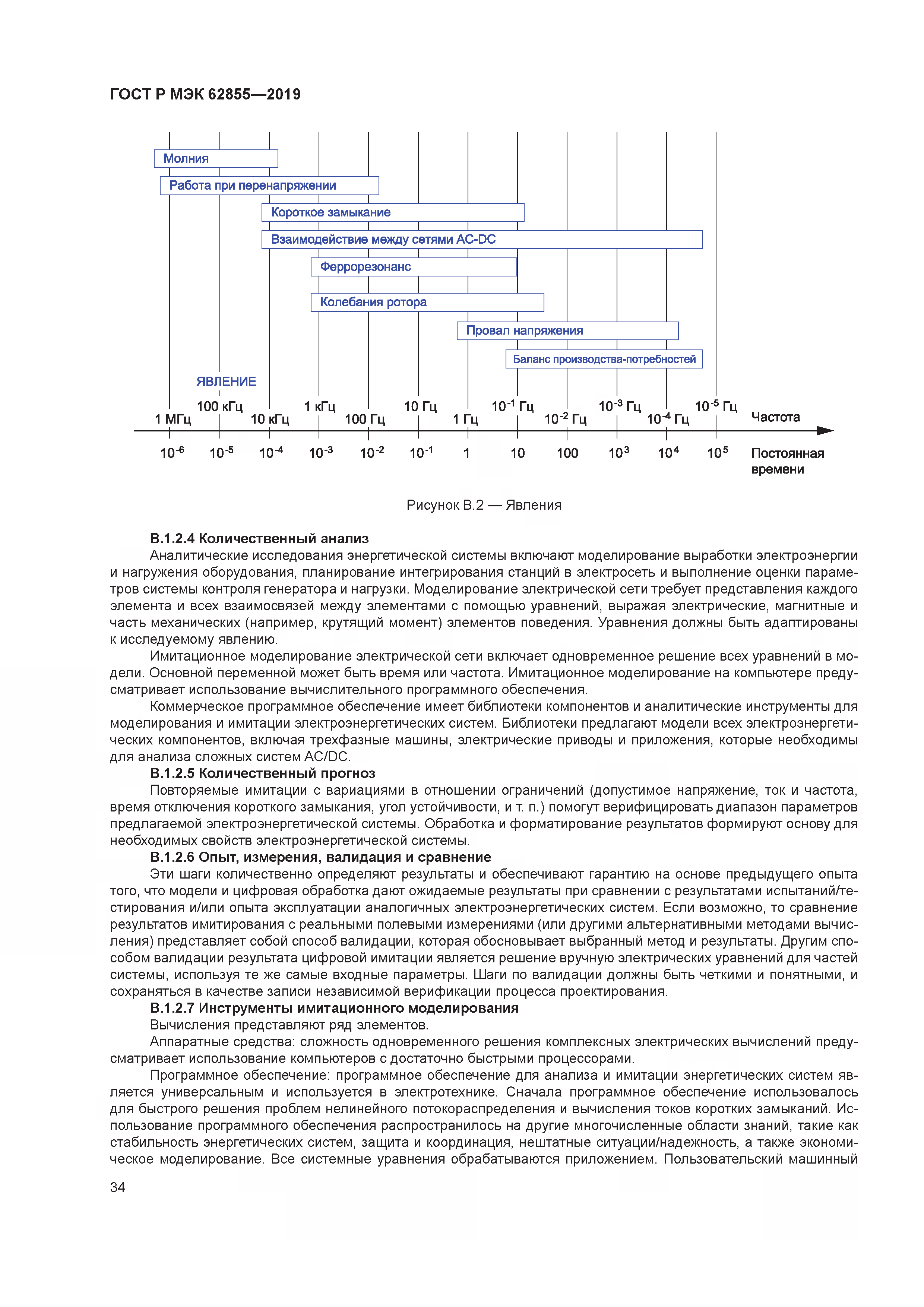
| Оглавление: | 1 Область применения 2 Нормативные ссылки 3 Термины и определения 4 Обозначения и сокращения 5 Анализ электроэнергетических систем 5.1 Краткий обзор стандартных исследований 5.2 Применимость исследований в отношении различных состояний станции 5.3 Выбор, верификация и валидация аналитических инструментов 5.4 Модель электроэнергетической системы 5.5 Соединение электросети и атомной станции 5.6 Обновление исследований системы 5.7 Предварительные условия выполнения электрических исследований 5.8 Приемочные требования 6 Исследование переходных процессов в системе электропередачи атомных станций 6.1 Общие положения 6.2 Рекомендация 6.3 Приемочные требования 7 Анализ внутренней электроэнергетической системы переменного тока 7.1 Общие положения 7.2 Исследование потокораспределения 7.3 Исследования переходных процессов 7.4 Исследование отказов 7.5 Исследования по координации электрической защиты 8 Анализ системы постоянного тока и системы бесперебойного питания переменного тока 8.1 Исследования потокораспределения 8.2 Исследования в переходном режиме 8.3 Исследования отказов 8.4 Исследования по координации электрической защиты 9 другие аналитические исследования 9.1 Исследования молниезащиты 9.2 Электромагнитная совместимость 9.3 Исследования гармонических волн 9.4 Индуцированный геомагнитный ток 9.5 Феррорезонасные исследования Приложение А (справочное) Формирование проектных основ для электроэнергетических систем атомных станций Приложение В (справочное) Рекомендации по аналитическим исследованиям Приложение С (справочное) Верификация проектных основ и спецификации оборудования Приложение D (справочное) Пример критериев приемки станции Библиография |
| Разработан: | Государственная корпорация Росатом |
| Утверждён: | 16.05.2019 Федеральное агентство по техническому регулированию и метрологии (198-ст) |
| Издан: | Стандартинформ (2019 г. ) |
















































