Скачать РД 39-1-306-79 Инструкция по расчету колонн насосно-компрессорных трубДата актуализации: 01.01.2021
|
| Обозначение: | РД 39-1-306-79 |
| Обозначение англ: | RD 39-1-306-79 |
| Статус: | введен впервые |
| Название рус.: | Инструкция по расчету колонн насосно-компрессорных труб |
| Дата добавления в базу: | 01.02.2020 |
| Дата актуализации: | 01.01.2021 |
| Дата введения: | 20.03.1980 |
| Область применения: | Инструкция содержит методики определения действующих нагрузок и прочностных расчетов колонн насосно-компрессорных труб для различных способов эксплуатации нефтяных, газовых и нагнетательных скважин. Кроме того, даны методики расчета колонн при различных способах воздействия на пласт и при освоении скважин. Инструкция предназначена для предприятий нефтяной и газовой промышленности |
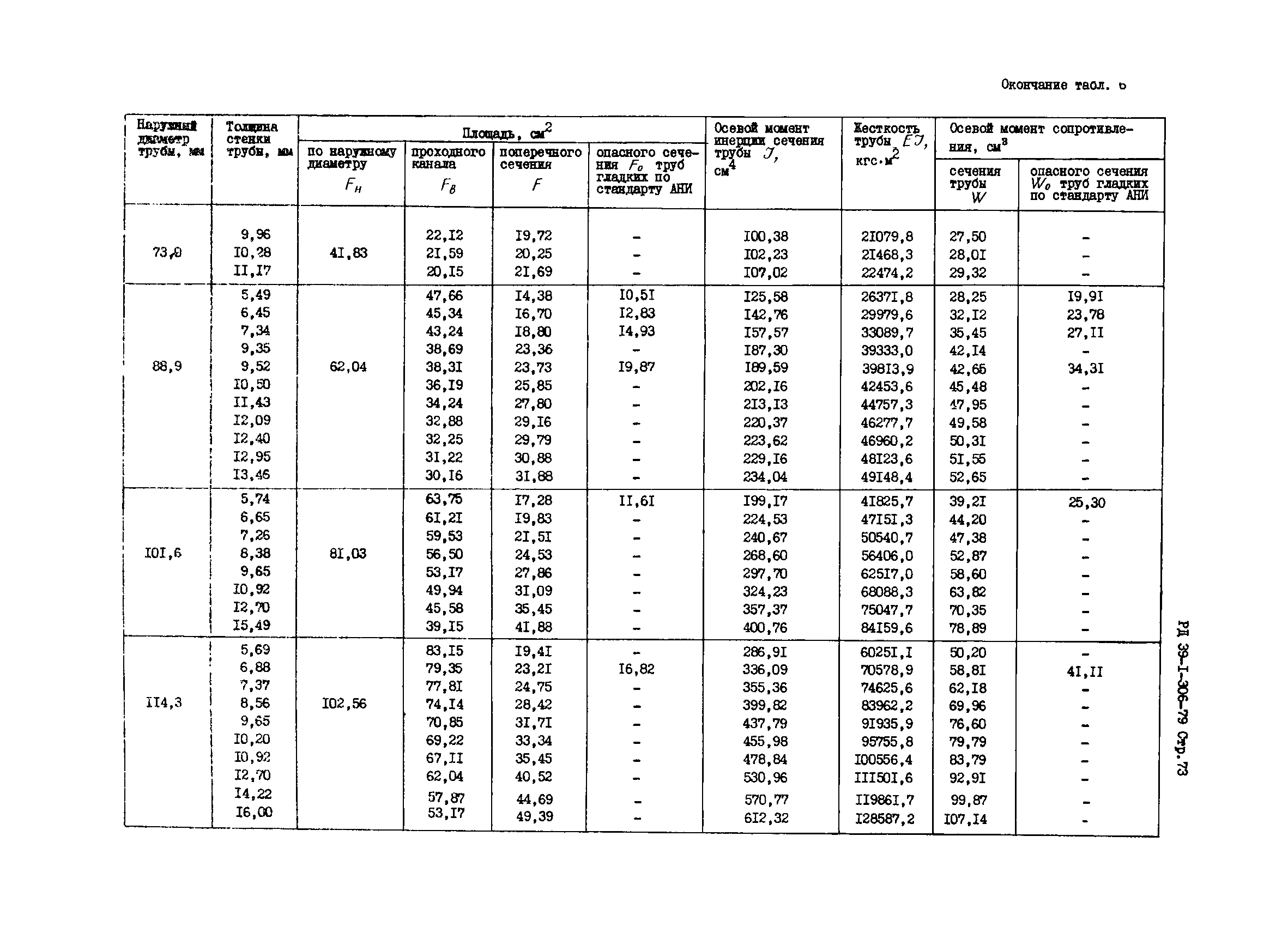
| Оглавление: | 1 Общие положения 2 Фонтанный способ эксплуатации 2.1 Основные исходные данные для расчета 2.2 Действующие на колонну нагрузки 2.3 Формулы для определения прочности и устойчивости труб. Коэффициенты запасов прочности 2.4 Методика расчета лифтовых колонн 3 Компрессорный способ эксплуатации 3.1 Основные исходные данные для расчета 3.2 Действующие на колонну нагрузки 3.3 Формулы для определения прочности труб. Коэффициенты запасов прочности 3.4 Методика расчета лифтовых колонн 4 Эксплуатация скважин штанговыми насосами 4.1 Основные исходные данные для расчета 4.2 Действующие на колонну нагрузки 4.3 Формулы для определения прочности и устойчивости труб. Коэффициенты запасов прочности 4.4. Методика расчета колонн 5 Эксплуатация скважин электропогружными насосами 5.1 Основные исходные данные для расчета 5.2 Действующие на колонну нагрузки 5.3 Формулы для определения прочности труб. Коэффициенты запасов прочности 5.4 Методика расчета колонн 6 Интенсификация притока жидкости к забою скважины. Особенности расчета колонн 6.1 Основные исходные данные для расчета 6.2 Нагнетательные скважины, оборудованные пакерами 6.3 Гидроразрыв пласта 6.4 Гидропескоструйная перфорация 6.5 Тепловая обработка забоя скважины Рекомендации по расчету колонн, составленных из труб зарубежного производства 7 Примеры расчета лифтовых колонн 7.1 Фонтанная скважина без пакера 7.2 Газовая скважина с гидравлическим пакером 7.3 Фонтанная скважина с механическим пакером 7.4 Компрессорная скважина 7.5 Скважина, оборудованная штанговым насосом 7.6 Фонтанная наклонно направленная скважина без пакера Приложение 1. Прочностные, геометрические и весовые характеристики труб отечественного производства Приложение 2. Прочностные, геометрические и весовые характеристики труб зарубежного производства Приложение 3. Предельные глубины спуска одноступенчатой колонны насосно—компрессорных труб отечественного производства Приложение 4. Геометрические и весовые характеристики штанговой колонны Приложение 5. Значения показательной функции |
| Разработан: | ВНИИТнефть АзНИПИнефть |
| Утверждён: | 25.12.1979 Министерство нефтяной промышленности СССР (USSR Ministry of the Petroleum Industry ) |




















































































