Скачать Правила и нормы техники безопасности и промышленной санитарии для проектирования, строительства и эксплуатации предприятий по производству активных углейДата актуализации: 01.01.2021
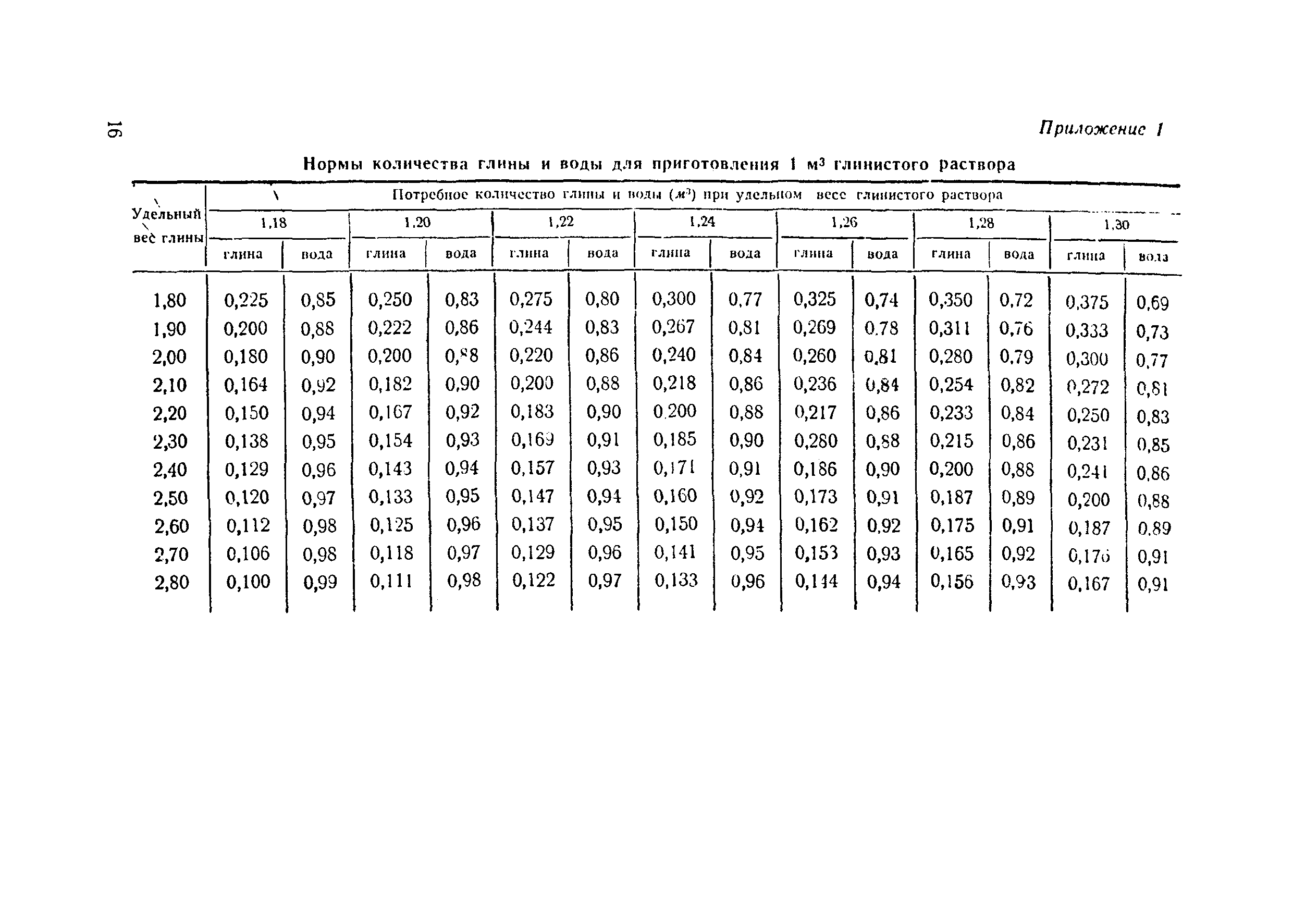
Правила и нормы техники безопасности и промышленной санитарии для проектирования, строительства и эксплуатации предприятий по производству активных углей| Статус: | справочные материалы, мп, тпр | | Название рус.: | Правила и нормы техники безопасности и промышленной санитарии для проектирования, строительства и эксплуатации предприятий по производству активных углей | | Дата добавления в базу: | 01.02.2020 | | Дата актуализации: | 01.01.2021 | | Область применения: | Правила являются обязательными для всех ведомств, предприятий, организаций и учреждений, независимо от их ведомственной подчиненности, а также для индивидуальных водопотребителей. | | Оглавление: | Общие положения Скважины и горные выработки, подлежащие ликвидации Ликвидационный тампонаж скважин различных типов Ликвидация самоизливающихся скважин Ликвидация скважин в зоне многолетней мерзлоты Частичный тампонаж Производство работ но ликвидации скважин и горных выработок Документация Приложение 1. Нормы количества глины и воды для приготовления 1 м3 глинистого раствора Приложение 2. Содержание глины, цемента и песка в растворах при сплошной заливке скважин в зависимости от поглощающих свойств пород, слагающих водоносный горизонт Приложение 3. Гранулометрический состав глины и песка, применяемых для глино-цементных и песчано-цементных растворов Приложение 4. Цементы для тампонажа скважин Приложение 5. Акт на производство ликвидационного тампонажа | | Утверждён: | 17.05.1961 Государственный комитет Совета Министров СССР по химии 21.12.1960 Президиум Центрального комитета профессионального Союза рабочих нефтяной и химической промышленности (13)
| | Принят: | 29.04.1961 Государственная санитарная инспекция СССР (135) 27.12.1960 Центральный научно-исследовательский институт пожарной охраны МВД РСФСР (10/8/2915)
| | Издан: | Государственное научно-техническое издательство химической литературы (1962 г. )
|
                  
|