Скачать Инструкция по обеспечению взрывобезопасного кислородного режима в объемах сушильных установок обогатительных фабрик Кузбасса

Дата актуализации: 01.01.2021

Инструкция по обеспечению взрывобезопасного кислородного режима в объемах сушильных установок обогатительных фабрик Кузбасса

Статус:справочные материалы, мп, тпр
Название рус.:Инструкция по обеспечению взрывобезопасного кислородного режима в объемах сушильных установок обогатительных фабрик Кузбасса
Дата добавления в базу:01.02.2020
Дата актуализации:01.01.2021
Область применения:Инструкция вводится для сушильных установок обогатительных фабрик Кузнецкого бассейна, использующих в качестве сушильногоо агента продукты сжигания твердого топлива
Оглавление:Аннотация
1 Коэффициент присосов
2 Температура газов перед сушилкой
3 Защитный пар
Приложение 1. Журнал работы сушильных установок
Приложение 2. Режимная карта сушильной установки
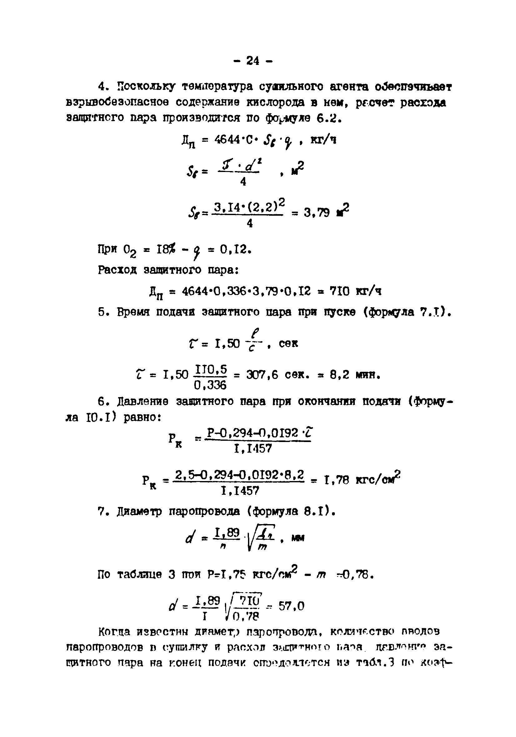
Приложение 3. Методика по обеспечению безопасного кислородного режима в сушильных установках ОФ Кузбасса
Разработан: КузНИИУглеобогащение
Утверждён:02.12.1986 ВПО Кузбассуголь
21.11.1986 Управление Кузнецкого округа Госгортехнадзора СССР
Принят:11.11.1986 Территориальный комитет г. Прокопьевска
19.11.1986 Территориальный комитет г. Новокузнецка