Скачать Нормативы расчета в проектах межремонтных сроков, продолжительности и трудоемкости ремонтов и обслуживания основного оборудования шахт, разрезов и ОФДата актуализации: 01.01.2021
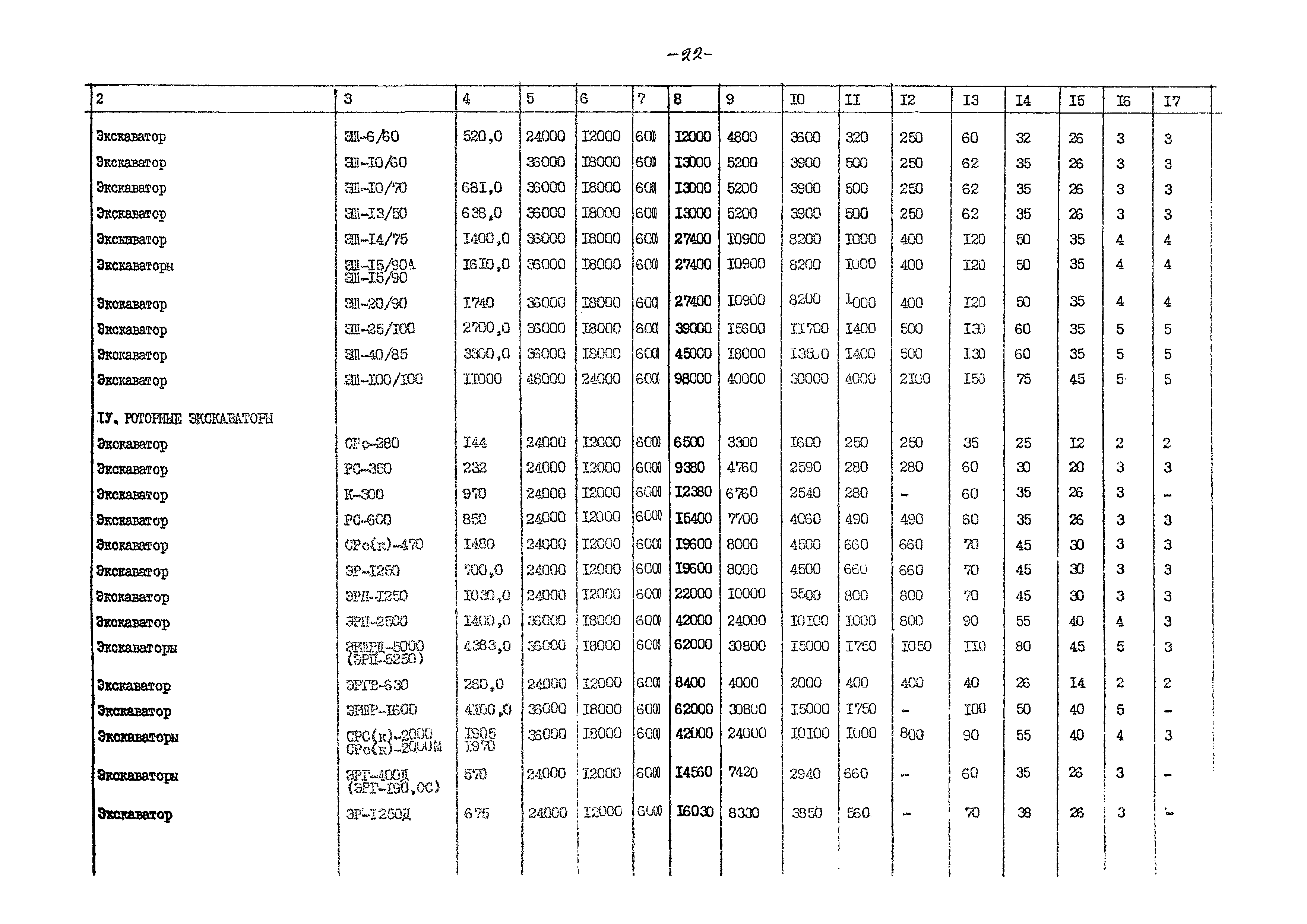
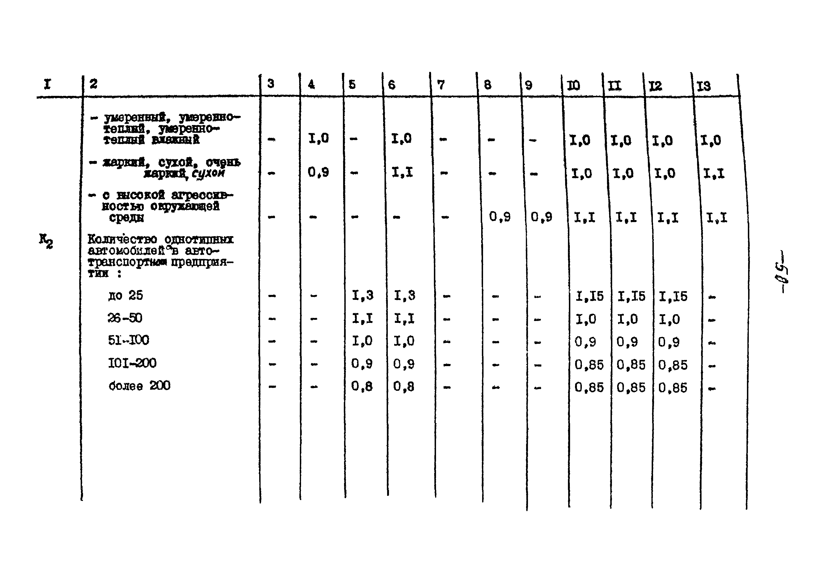
Нормативы расчета в проектах межремонтных сроков, продолжительности и трудоемкости ремонтов и обслуживания основного оборудования шахт, разрезов и ОФ| Статус: | информационный документ | | Название рус.: | Нормативы расчета в проектах межремонтных сроков, продолжительности и трудоемкости ремонтов и обслуживания основного оборудования шахт, разрезов и ОФ | | Дата добавления в базу: | 01.02.2020 | | Дата актуализации: | 01.01.2021 | | Область применения: | Документ обязателен для всех проектных организаций Минуглепрома СССР и должен служить руководящим материалом для всех предприятий, осуществляющих ремонт и техническое обслуживание оборудования угольных и сланцевых предприятий | | Оглавление: | I Введение II Общая часть III Нормативы межремонтных сроков, продолжительности и трудоемкости ремонтов по основному оборудованию шахт - таблица 1 Дополнения к нормативам по насосам, компрессорам, подъемным установкам и вентиляторам IV Нормативы межремонтных сроков, продолжительности и трудоемкости ремонтов по основному оборудованию разрезов Нормативы межремонтных сроков, трудоемкости и продолжительности ремонтов экскаваторов и отвалообразователей - таблица 2 Нормативы межремонтных сроков, трудоемкости и продолжительности ремонтов буровых станков - таблица 3 Нормативы межремонтных сроков, трудоемкости и продолжительности ремонтов конвейеров - таблица 4 Нормативы периодичности ремонтов экскаваторов, ленточных конвейеров и буровых станков в приведенных объемах - таблица 5 Дополнения к ремонтным нормативам на экскаваторы, буровые станки, отвалообразователи, перегружатели и ленточные конвейеры Нормативы межремонтных сроков, трудоемкости и продолжительности ремонтов землесосных установок - таблица 6 Нормативы межремонтных сроков, трудоемкости и продолжительности ремонтов тяговых агрегатов, электровозов и тепловозов - таблица 7 Нормативы межремонтных сроков, трудоемкости и продолжительности ремонтов вагонов - таблица 8 Нормативы межремонтных сроков, трудоемкости и продолжительности ремонтов грузовых вагонов, эксплуатирующихся в условиях МПС - таблица 9 Дополнения к ремонтным нормативам по железнодорожному составу Нормативы межремонтных сроков, трудоемкости и продолжительности ремонтов путевых машин и подъемно-транспортного железнодорожного оборудования - таблица 10 Нормативы межремонтных сроков, трудоемкости и продолжительности ремонтов автосамосвалов, углевозов и скреперов грузоподъемностью до 75 т - таблица 11 Нормативы межремонтных сроков, трудоемкости и продолжительности ремонтов автосамосвалов, углевозов и скреперов грузоподъемностью свыше 75 т - таблица 12 Дополнения к ремонтным нормативам для ремонта автосамосвалов Коэффициенты корректирования нормативов технического обслуживания и ремонта автосамосвалов - таблица 13 Нормативы межремонтных сроков, трудоемкости и продолжительности ремонтов тракторов и бульдозеров - таблица 14 Укрупненные показатели трудоемкости и продолжительности ремонтов основного оборудования разрезов Укрупненные показатели трудоемкости ремонтных работ и продолжительности ремонтов для экскаваторов, отвалообразователей и перегружателей - таблица 15 Укрупненные показатели трудоемкости ремонтных работ и продолжительности ремонтов буровых станков - таблица 16 Укрупненные показатели трудоемкости ремонтных работ и продолжительности ремонтов конвейеров - таблица 17 Укрупненные показатели годовой трудоемкости ремонтных работ и продолжительности ремонтов для тяговых агрегатов, электровозов и тепловозов - таблица 18 Укрупненные показатели годовой трудоемкости ремонтных работ и продолжительности ремонтов для думпкаров и полувагонов - таблица 19 Укрупненные показатели годовой трудоемкости ремонтных работ и продолжительности ремонтов для автосамосвалов, углевозов и скреперов - таблица 20 Укрупненные показатели годовой трудоемкости ремонтных работ и продолжительности ремонтов для тракторов и бульдозеров - таблица 21 Нормативы межремонтных сроков, трудоемкости и продолжительности ремонтов основного оборудования обогатительных фабрик - таблица 22 Дополнения к ремонтным нормативам по оборудованию обогатительных фабрик Укрупненные показатели по распределению трудоемкости ремонтов оборудования шахт в процентах от общей трудоемкости Укрупненные показатели по распределению трудоемкости ремонтов оборудования шахт в процентах от общей трудоемкости - таблица 23 Укрупненные показатели по распределению трудоемкости ремонтов экскаваторов и конвейеров по видам работ в процентах от общей трудоемкости - таблица 24 Укрупненные показатели по распределению трудоемкости ремонтов тяговых агрегатов, электровозов и тепловозов в процентах об общей трудоемкости - таблица 25 Укрупненные показатели по распределению трудоемкости ремонтов думпкаров и полувагонов в процентах от общей трудоемкости - таблица 26 Укрупненные показатели по распределению трудоемкости ремонтов автосамосвалов с механической передачей в процентах от общей трудоемкости - таблица 27 Укрупненные показатели по распределению трудоемкости ремонтов автосамосвалов с электрической передачей в процентах от общей трудоемкости - таблица 28 Укрупненные показатели по распределению трудоемкости ремонтов бульдозеров с механической передачей в процентах от общей трудоемкости - таблица 29 Укрупненные показатели по распределению трудоемкости ремонтов бульдозеров с электрической передачей в процентах от общей трудоемкости - таблица 30 | | Разработан: | Институт Гипрошахт УкрНИИпроект НИИОГР
| | Утверждён: | 05.06.1986 Министерство угольной промышленности СССР (USSR Ministry of the Coal Industry )
|
                                                                                          
|