Скачать Методические указания по разработке схем теплоснабженияДата актуализации: 01.01.2021 |
| Статус: | действует |
| Название рус.: | Методические указания по разработке схем теплоснабжения |
| Дата добавления в базу: | 01.02.2020 |
| Дата актуализации: | 01.01.2021 |
| Дата введения: | 27.08.2019 |
| Область применения: | Указания устанавливают единые правила разработки схем (актуализированных схем) теплоснабжения, включая правила разработки обосновывающих материалов к ним уполномоченными органами местного самоуправления поселений, городских округов, уполномоченными органами исполнительной власти городов федерального значения, юридическими лицами |
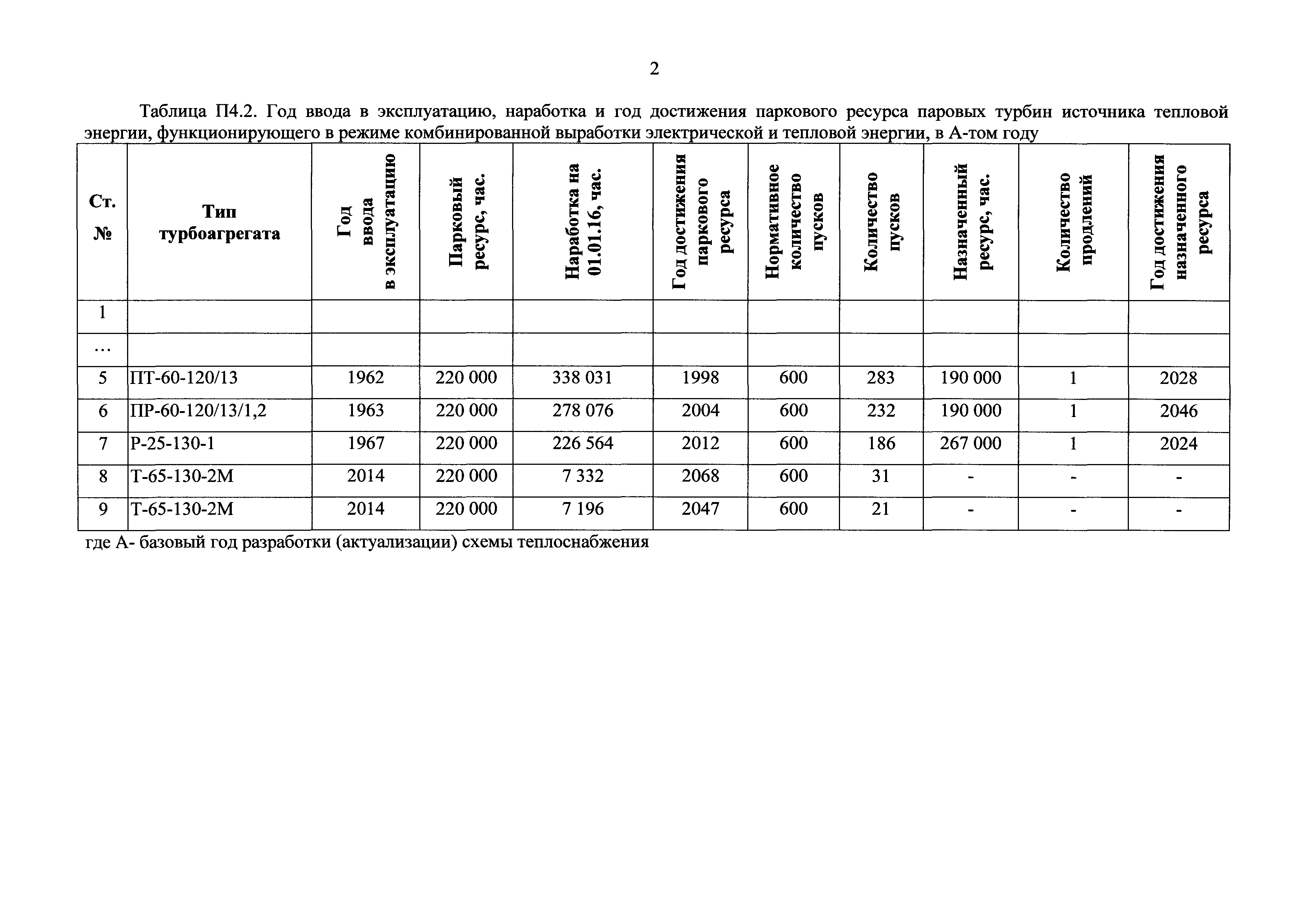
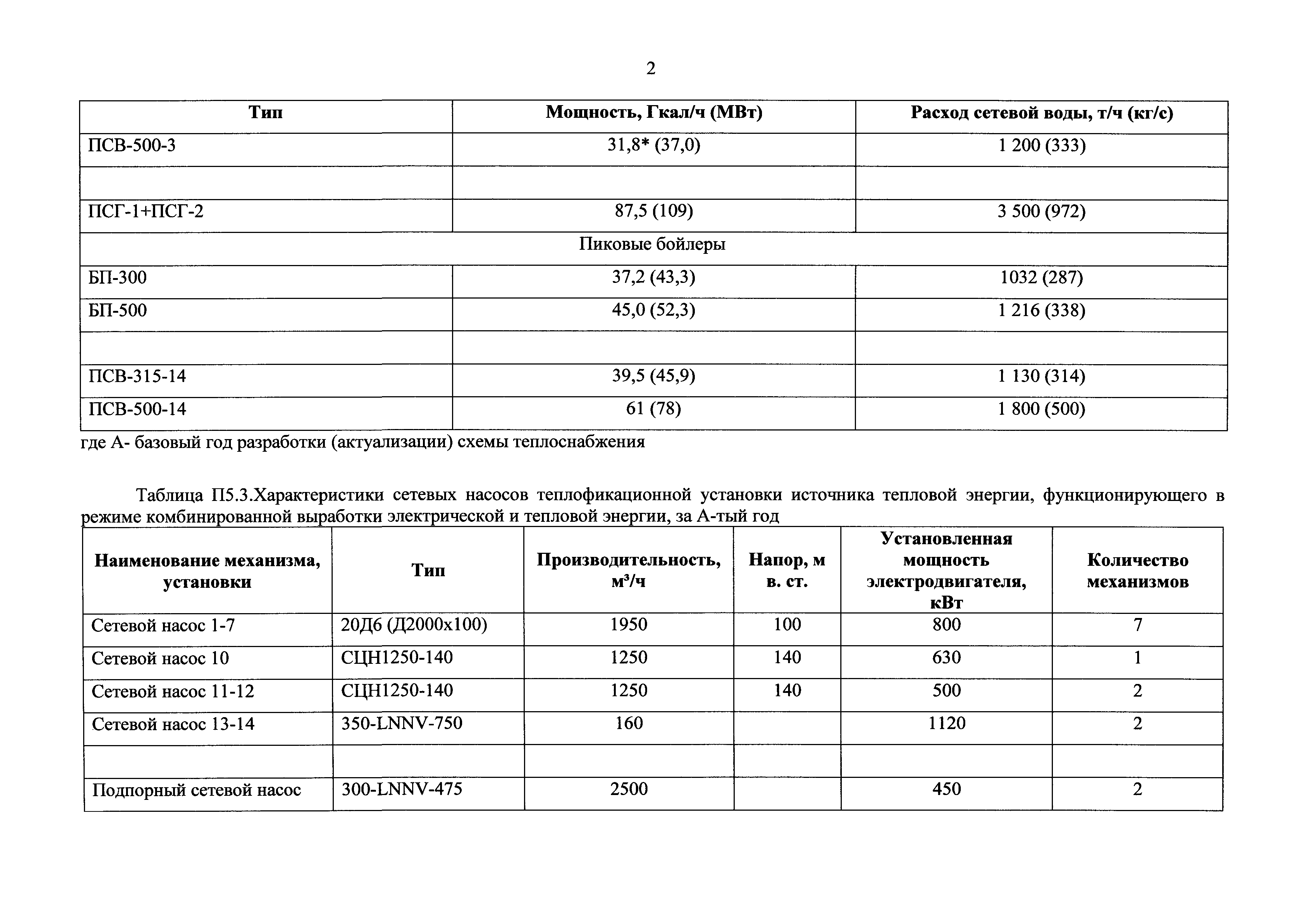
| Оглавление: | I Общие положения II Правила разработки главы 1 "Существующее положение в сфере производства, передачи и потребления тепловой энергии для целей теплоснабжения" обосновывающих материалов к схеме теплоснабжения III Правила разработки главы 2 "Существующее и перспективное потребление тепловой энергии на цели теплоснабжения" обосновывающих материалов к схеме теплоснабжения IV Правила разработки главы 3 "Электронная модель системы теплоснабжения поселения, городского округа, города федерального значения" обосновывающих материалов к схеме теплоснабжения V Правила разработки главы 4 "Существующие и перспективные балансы тепловой мощности источников тепловой энергии и тепловой нагрузки потребителей" обосновывающих материалов к схеме теплоснабжения VI Правила разработки главы 5 "Мастер-план развития систем теплоснабжения поселения, городского округа, города федерального значения" обосновывающих материалов к схеме теплоснабжения VII Правила разработки главы 6 "Существующие и перспективные балансы производительности водоподготовительных установок и максимального потребления теплоносителя теплопотребляющими установками потребителей, в том числе в аварийных режимах" обосновывающих материалов к схеме теплоснабжения VIII Правила разработки главы 7 "Предложения по строительству, реконструкции, техническому перевооружению и (или) модернизации источников тепловой энергии" обосновывающих материалов к схеме теплоснабжения IХ Правила разработки главы 8 "Предложения по строительству, реконструкции и (или) модернизации тепловых сетей" обосновывающих материалов к схеме теплоснабжения Х Правила разработки главы 9 "Предложения по переводу открытых систем теплоснабжения (горячего водоснабжения) в закрытые системы горячего водоснабжения" обосновывающих материалов к схеме теплоснабжения ХI Правила разработки главы 10 "Перспективные топливные балансы" обосновывающих материалов к схеме теплоснабжения ХII Правила разработки главы 11 "Оценка надежности теплоснабжения" обосновывающих материалов к схеме теплоснабжения ХIII Правила разработки главы 12 "Обоснование инвестиций в строительство, реконструкцию, техническое перевооружение и (или) модернизацию" обосновывающих материалов к схеме теплоснабжения ХIV Правила разработки главы 13 "Индикаторы развития систем теплоснабжения поселения, городского округа, города федерального значения" обосновывающих материалов к схеме теплоснабжения ХV Правила разработки главы 14 "Ценовые (тарифные) последствия" обосновывающих материалов к схеме теплоснабжения ХVI Правила разработки главы 15 "Реестр единых теплоснабжающих организаций" обосновывающих материалов к схеме теплоснабжения ХVII Правила разработки главы 16 "Реестр мероприятий схемы теплоснабжения" обосновывающих материалов к схеме теплоснабжения ХVIII Правила разработки главы 17 "Замечания и предложения к проекту схемы теплоснабжения" обосновывающих материалов к схеме теплоснабжения ХIХ Правила разработки главы 18 "Сводный том изменений, выполненных в доработанной и (или) актуализированной схеме теплоснабжения" обосновывающих материалов к схеме теплоснабжения XX Заключительные положения Приложение 1. Зоны деятельности единой теплоснабжающей организации Приложение 2. Таблицы Приложение 3. Таблицы Приложение 4. Таблицы Приложение 5.Таблицы Приложение 6. Коэффициенты использования установленной электрической мощности Приложение 7. Таблицы Приложение 8. Таблицы Приложение 9. Таблицы Приложение 10. Таблицы Приложение 11. Общие характеристики сетей Приложение 12. Нормативные температуры теплоносителя Приложение 13. Зоны действия источников тепловой энергии Приложение 14. Определение расчетной тепловой нагрузки Приложение 15. Определение установленной тепловой мощности источников тепловой энергии Приложение 16. Таблицы Приложение 17. Таблицы Приложение 18. Интегральные показатели надежности систем теплоснабжения Приложение 19. Таблицы Приложение 20. Таблицы Приложение 21. Таблицы Приложение 22. Описание существующих проблем организации качественного теплоснабжения Приложение 23. Таблицы Приложение 24. Таблицы Приложение 25 (рекомендуемый образец). Деление территории в генеральном плане городского округа с использованием кадастровых элементов Приложение 26 (рекомендуемый образец). Деление территории в генеральном плане поселения с использованием планировочных элементов Приложение 27. Таблицы Приложение 28. Модели годовых приростов строительных фондов Приложение 29. Таблицы Приложение 30. Таблицы Приложение 31. Прогноз прироста тепловой нагрузки отопления, вентиляции и горячего водоснабжения Приложение 32. Таблицы Приложение 33. Таблицы Приложение 34. Таблицы баланса тепловой мощности Приложение 35. Таблицы с данными расхода воды Приложение 36. Анализ надежности и качества теплоснабжения для случаев отнесения генерирующего объекта к объектам, вывод которых из эксплуатации может привести к нарушению надежности теплоснабжения Приложение 37. Технико-экономическое обоснование строительства источников тепловой энергии, функционирующих в режиме комбинированной выработки электрической и тепловой энергии Приложение 38. Технико-экономическое обоснование предложений по переоборудованию котельных в источники тепловой энергии, функционирующие в режиме комбинированной выработки электрической и тепловой энергии Приложение 39. Технико-экономическое обоснование реконструкции и (или) модернизации котельных с увеличением зоны их действия Приложение 40. Определение радиуса эффективного теплоснабжения Приложение 41. Таблицы Приложение 42. Утверждаемые параметры температуры и расхода теплоносителя Приложение 43. Таблицы Приложение 44. Таблицы Приложение 45. Таблицы Приложение 46. Путь движения теплоносителя от источника тепловой энергии до конечного потребителя Приложение 47. Планируемые капитальные вложения Приложение 48. Индикаторы развития систем теплоснабжения Приложение 49. Утвержденные единые теплоснабжающие организации Приложение 50. Планируемые капитальные вложения в реализацию мероприятий по новому строительству, реконструкции, перевооружению или модернизации Приложение 51. Таблица поступивших замечаний (предложений) |
| Утверждён: | 05.03.2019 Министерство энергетики Российской Федерации (Минэнерго России) (212) |
| Издан: | Официальный интернет-портал правовой информации (www.pravo.gov.ru) (№ 0001201908160003 от 16.08.2019) |
| Нормативные ссылки: |
|




































































































































































































































































































