Скачать РД 39-30-107-78 Методика оценки ущерба от отказов объектов магистрального нефтепроводаДата актуализации: 01.01.2021
|
| Обозначение: | РД 39-30-107-78 |
| Обозначение англ: | RD 39-30-107-78 |
| Статус: | не действует |
| Название рус.: | Методика оценки ущерба от отказов объектов магистрального нефтепровода |
| Дата добавления в базу: | 01.02.2020 |
| Дата актуализации: | 01.01.2021 |
| Дата введения: | 01.02.1979 |
| Дата окончания срока действия: | 01.02.1984 |
| Область применения: | Методика устанавливает единый порядок расчета полного ущерба от отказов повреждений объектов (сооружений и оборудования) действующих магистральных нефтепроводов. |
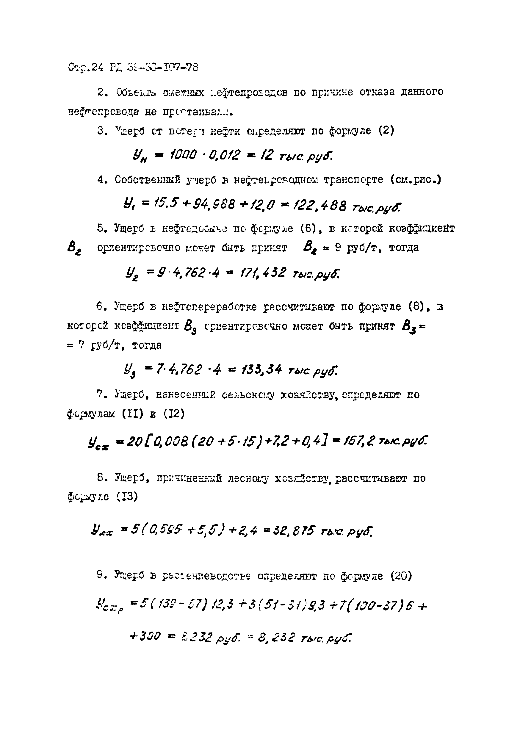
| Оглавление: | 1 Общие положения 2 Определение ущерба от отказов объектов магистрального нефтепровода Собственный ущерб в нефтепроводном транспорте Ущерб от простоя в нефтедобыче и нефтепереработке Ущерб от загрязнения окружающей среды Список литературы Приложение 1. Нормативы стоимости освоения новых земель взамен изымаемых для несельскохозяйствееных нужд, утвержденные Постановлением СМ РСФСР от 6.04.1976 года № 211, руб/га Приложение 2. Пример расчета (условный) |
| Разработан: | ВНИИСПТнефть |
| Утверждён: | 11.12.1978 Министерство нефтяной промышленности СССР (USSR Ministry of the Petroleum Industry ) |
| Заменяет собой: |
|


























