Скачать ГОСТ 34560-2019 Гидропривод объемный. Процедура оценки и верификации чистоты собранных гидросистемДата актуализации: 01.01.2021
|
| Обозначение: | ГОСТ 34560-2019 |
| Обозначение англ: | GOST 34560-2019 |
| Статус: | взамен |
| Название рус.: | Гидропривод объемный. Процедура оценки и верификации чистоты собранных гидросистем |
| Название англ.: | Hydraulic fluid power. Evaluation and verification procedures of cleanliness of assembled systems |
| Дата добавления в базу: | 01.02.2020 |
| Дата актуализации: | 01.01.2021 |
| Дата введения: | 01.12.2019 |
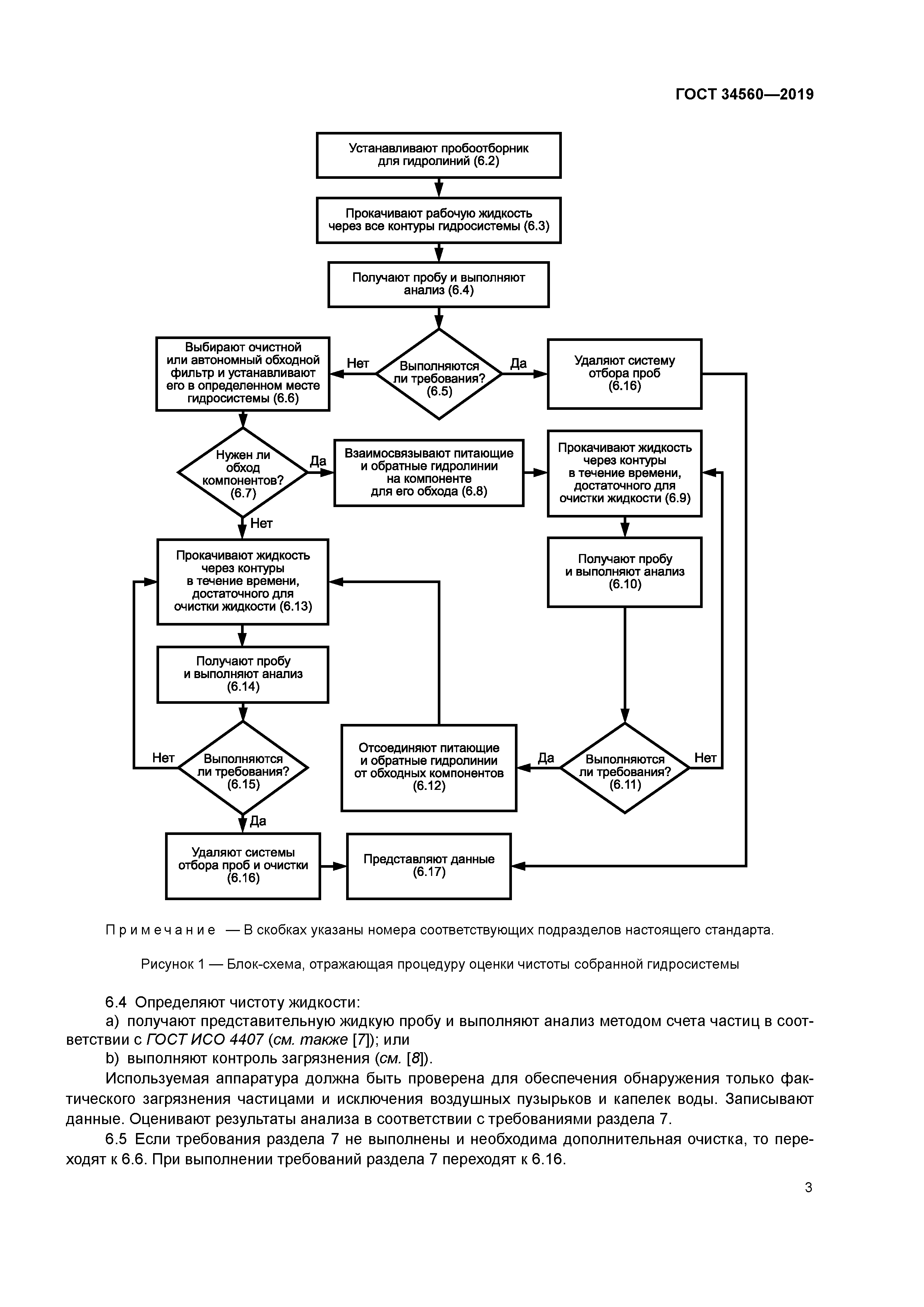
| Область применения: | Стандарт устанавливает методы: а) измерения чистоты рабочей жидкости в собранной гидравлической системе; b) проверки требуемой чистоты системы после выхода с производства; с) очистки системы до требуемого уровня чистоты, при необходимости. Процедура очистки, указанная в стандарте, не предназначена для замены процедуры надлежащей промывки системы. Предполагается, что компоненты и части, используемые в гидросистемах, были чистыми перед сборкой. |
| Оглавление: | 1 Область применения 2 Нормативные ссылки 3 Термины и определения 4 Оборудование для испытаний 5 Отбор проб 6 Процедура испытаний 7 Критерии приемки 8 Протокол испытаний 9 Форма записи Приложение А (обязательное) Форма отчета об оценке уровня чистоты собранной гидросистемы Приложение В (справочное) Пример заполненной формы отчета об оценке уровня чистоты собранной гидросистемы Приложение ДА (справочное) Сведения о соответствии ссылочных межгосударственных стандартов международным стандартам, использованным в качестве ссылочных в примененном международном стандарте Библиография |
| Разработан: | АО НИЦ КД |
| Утверждён: | 30.07.2019 Межгосударственный Совет по стандартизации, метрологии и сертификации (Inter-Governmental Council on Standardization, Metrology, and Certification 120-П) 29.08.2019 Федеральное агентство по техническому регулированию и метрологии (567-ст) |
| Издан: | Стандартинформ (2019 г. ) |
| Заменяет собой: | |
| Нормативные ссылки: |
|














