Скачать ГОСТ Р 113.38.02-2019 Наилучшие доступные технологии. Методические рекомендации по оценке затрат предприятий электроэнергетики по снижению выбросов загрязняющих веществ для достижения ими технологических показателей наилучших доступных технологийДата актуализации: 01.01.2021
|
| Обозначение: | ГОСТ Р 113.38.02-2019 |
| Обозначение англ: | GOST R 113.38.02-2019 |
| Статус: | введен впервые |
| Название рус.: | Наилучшие доступные технологии. Методические рекомендации по оценке затрат предприятий электроэнергетики по снижению выбросов загрязняющих веществ для достижения ими технологических показателей наилучших доступных технологий |
| Название англ.: | Best available techniques. Guidelines for estimating the cost of power industry enterprises to reduce emissions of pollutants to achieve the technological indicators of the best available techniques |
| Дата добавления в базу: | 01.02.2020 |
| Дата актуализации: | 01.01.2021 |
| Дата введения: | 01.05.2020 |
| Область применения: | Стандарт распространяется на деятельность по производству электрической и тепловой энергии на тепловых электростанциях (ТЭС), отнесенных к I категории предприятий, то есть к предприятиям, оказывающим значительное негативное воздействие на окружающую среду. Методические рекомендации предназначены для оценки затрат на снижение выбросов загрязняющих веществ [оксиды азота NOx, диоксид серы SO2, твердые вещества (летучая зола)] до технологических показателей для газовых и угольных ТЭС. |
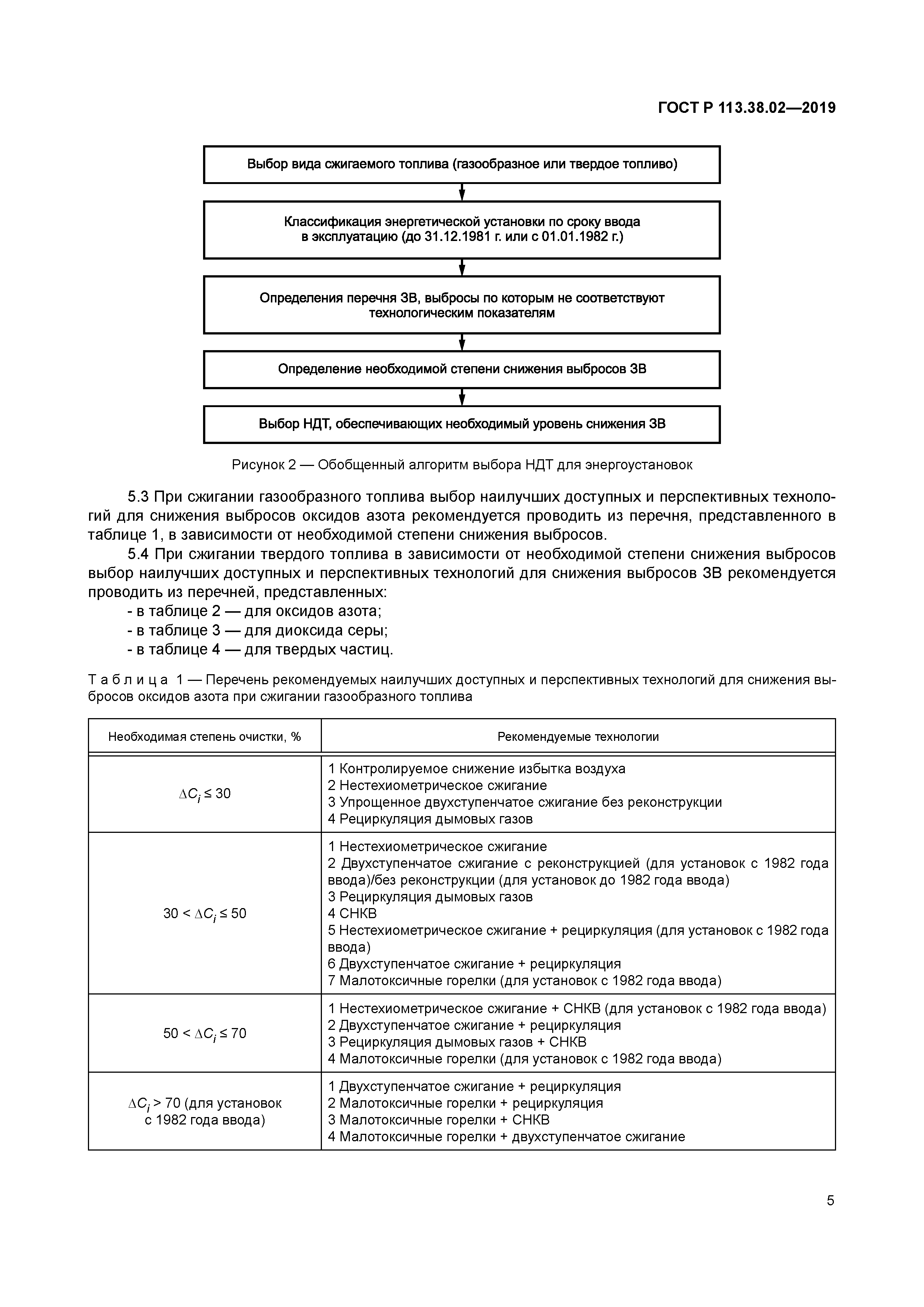
| Оглавление: | 1 Область применения 2 Нормативные ссылки 3 Термины, определения и сокращения 4 Алгоритм расчета затрат на снижение выбросов загрязняющих веществ тепловых электростанций 5 Обобщенный алгоритм выбора наилучших доступных технологий и перспективных технологий для снижения выбросов загрязняющих веществ 6 Алгоритм расчета затрат на снижение выбросов загрязняющих веществ для энергетической отрасли Приложение А (обязательное) Расчет содержания загрязняющих веществ в выбросах энергетической установки Приложение Б (обязательное) Капитальные и эксплуатационные затраты на НДТ Приложение В (справочное) Пример расчета объема репрезентативной выборки Библиография |
| Разработан: | ФГБОУ ВО НИУ МЭИ |
| Утверждён: | 29.08.2019 Федеральное агентство по техническому регулированию и метрологии (557-ст) |
| Издан: | Стандартинформ (2019 г. ) |
| Нормативные ссылки: |
|


























