Скачать ГОСТ Р 58530-2019 Экологический менеджмент. Эффективность использования ресурсов. Руководство по оценке эффективности использования ресурсов для малых и средних предприятийДата актуализации: 01.01.2021
|
| Обозначение: | ГОСТ Р 58530-2019 |
| Обозначение англ: | GOST R 58530-2019 |
| Статус: | введен впервые |
| Название рус.: | Экологический менеджмент. Эффективность использования ресурсов. Руководство по оценке эффективности использования ресурсов для малых и средних предприятий |
| Название англ.: | Environmental management. Resource efficiency. Resources efficiency assessment guide for small and medium-sized enterprises |
| Дата добавления в базу: | 01.02.2020 |
| Дата актуализации: | 01.01.2021 |
| Дата введения: | 01.01.2020 |
| Область применения: | Стандарт устанавливает базовые принципы и пошаговую процедуру определения точек отсчета (исходных данных) для повышения эффективности использования ресурсов и практической реализации мер по обеспечению эффективности использования ресурсов на малых и средних предприятиях (МСП). МСП могут использовать стандарт при планировании и организации производства с учетом ресурсоэффективного подхода. |
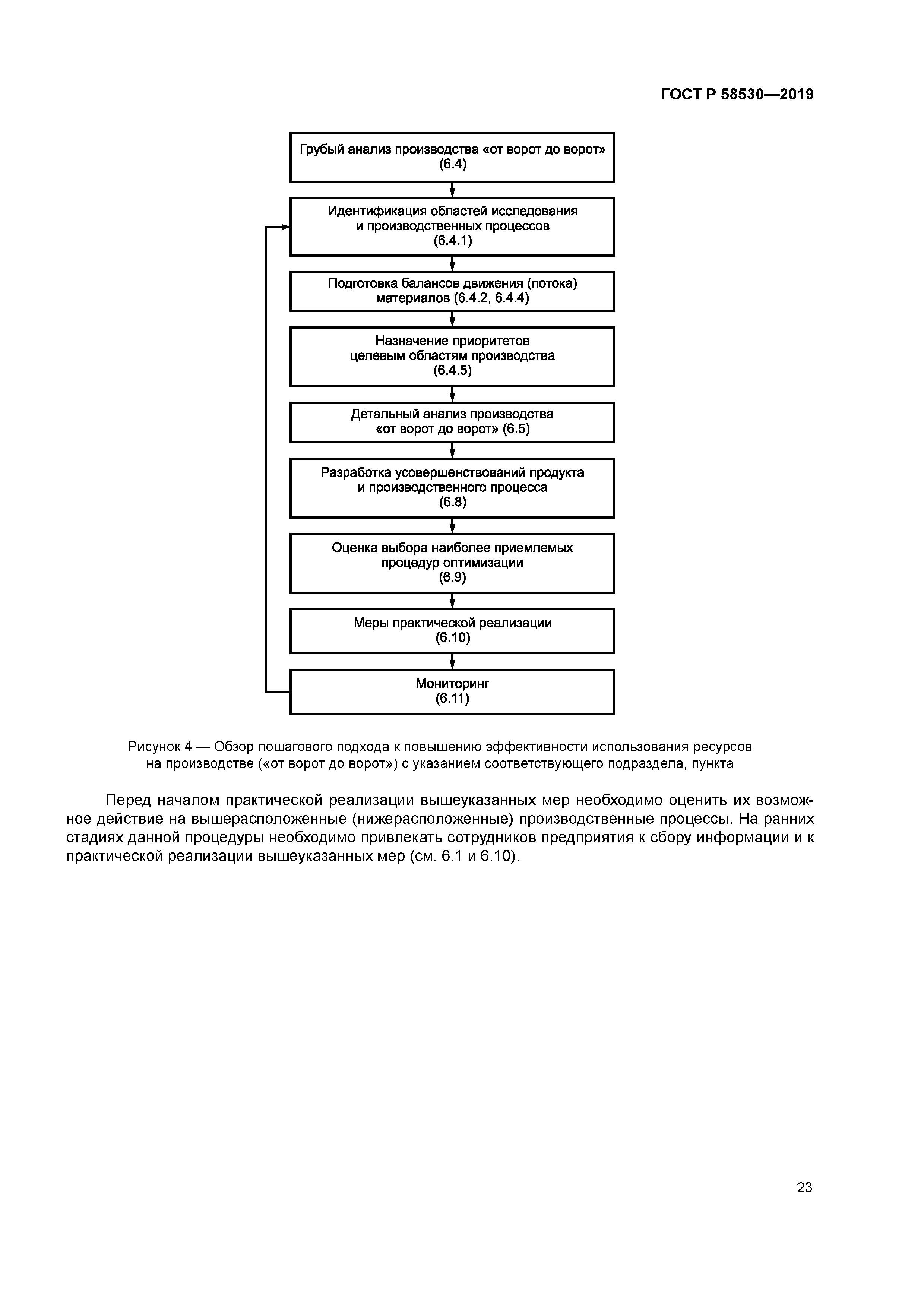
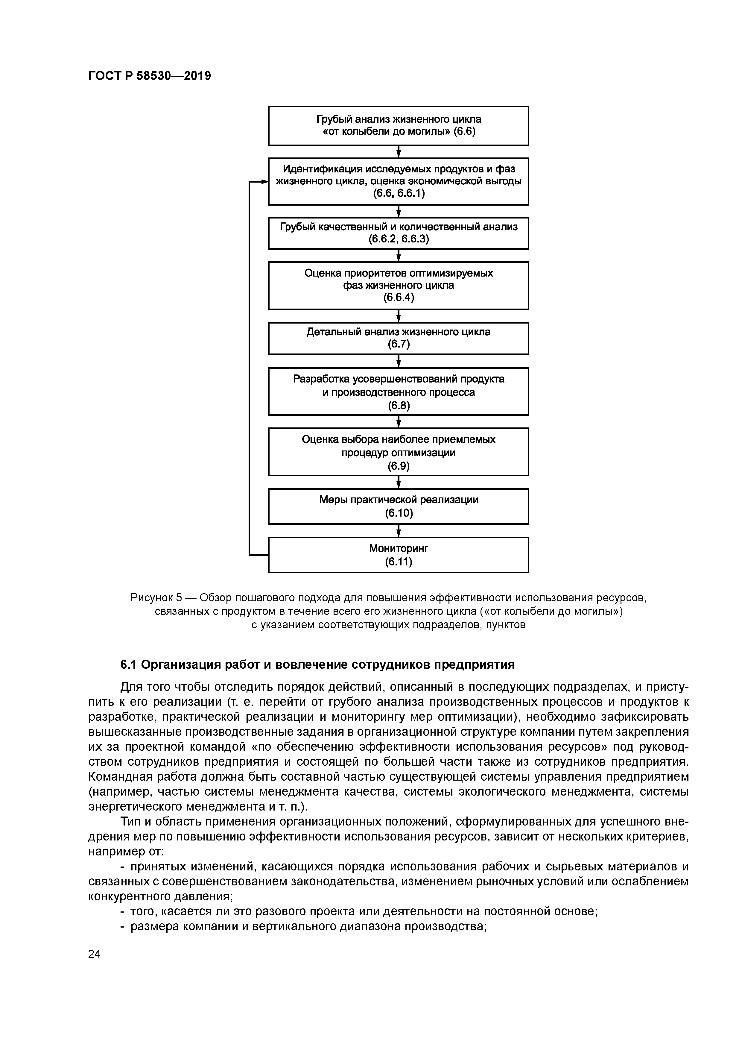
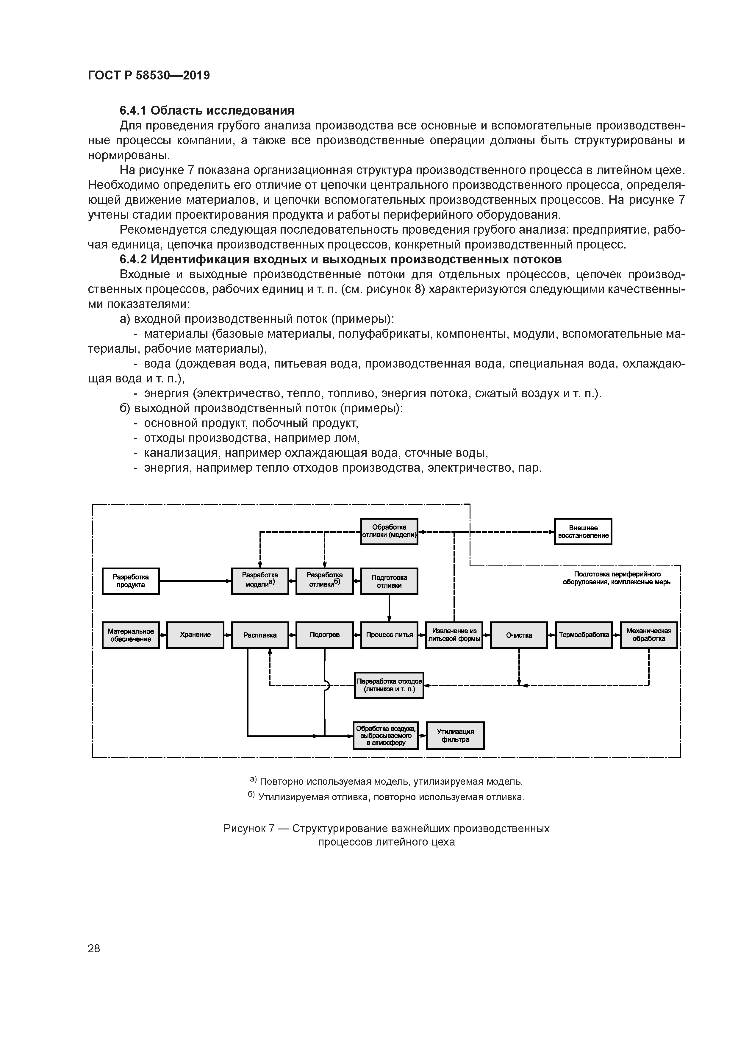
| Оглавление: | 1 Область применения 2 Нормативные ссылки 3 Термины и определения 4 Сокращения 5 Базовые принципы 5.1 Стратегия обеспечения эффективности использования ресурсов 5.2 Воздействующие факторы 5.3 Заинтересованные стороны внутри компании 5.4 Комплексная разработка продукта и производственного процесса 5.5 Стратегии и меры по повышению эффективности использования ресурсов 6 Процедура повышения эффективности использования ресурсов 6.1 Организация работ и вовлечение сотрудников предприятия 6.2 Производственные показатели 6.3 Предварительные требования к анализу 6.4 Грубый анализ производства "от ворот до ворот" 6.5 Детальный анализ производства "от ворот до ворот" 6.6 Грубый анализ жизненного цикла 6.7 Детальный анализ жизненного цикла 6.8 Разработка усовершенствований 6.9 Процедура оценки 6.10 Практическая реализация 6.11 Мониторинг 7 Рабочие инструменты |
| Разработан: | ООО НИИ Интерэкомс |
| Утверждён: | 12.09.2019 Федеральное агентство по техническому регулированию и метрологии (663-ст) |
| Издан: | Стандартинформ (2019 г. ) |
| Нормативные ссылки: |
|










































