Скачать ГОСТ Р ИСО 7250-3-2019 Эргономика. Основные антропометрические измерения для технического проектирования. Часть 3. Международные и региональные данные для использования в стандартах на продукциюДата актуализации: 01.01.2021
|
| Обозначение: | ГОСТ Р ИСО 7250-3-2019 |
| Обозначение англ: | GOST R ISO 7250-3-2019 |
| Статус: | введен впервые |
| Название рус.: | Эргономика. Основные антропометрические измерения для технического проектирования. Часть 3. Международные и региональные данные для использования в стандартах на продукцию |
| Название англ.: | Ergonomics. Basic human body measurements for technological design. Part 3. Worldwide and regional design ranges for use in product standards |
| Дата добавления в базу: | 01.02.2020 |
| Дата актуализации: | 01.01.2021 |
| Дата введения: | 01.12.2019 |
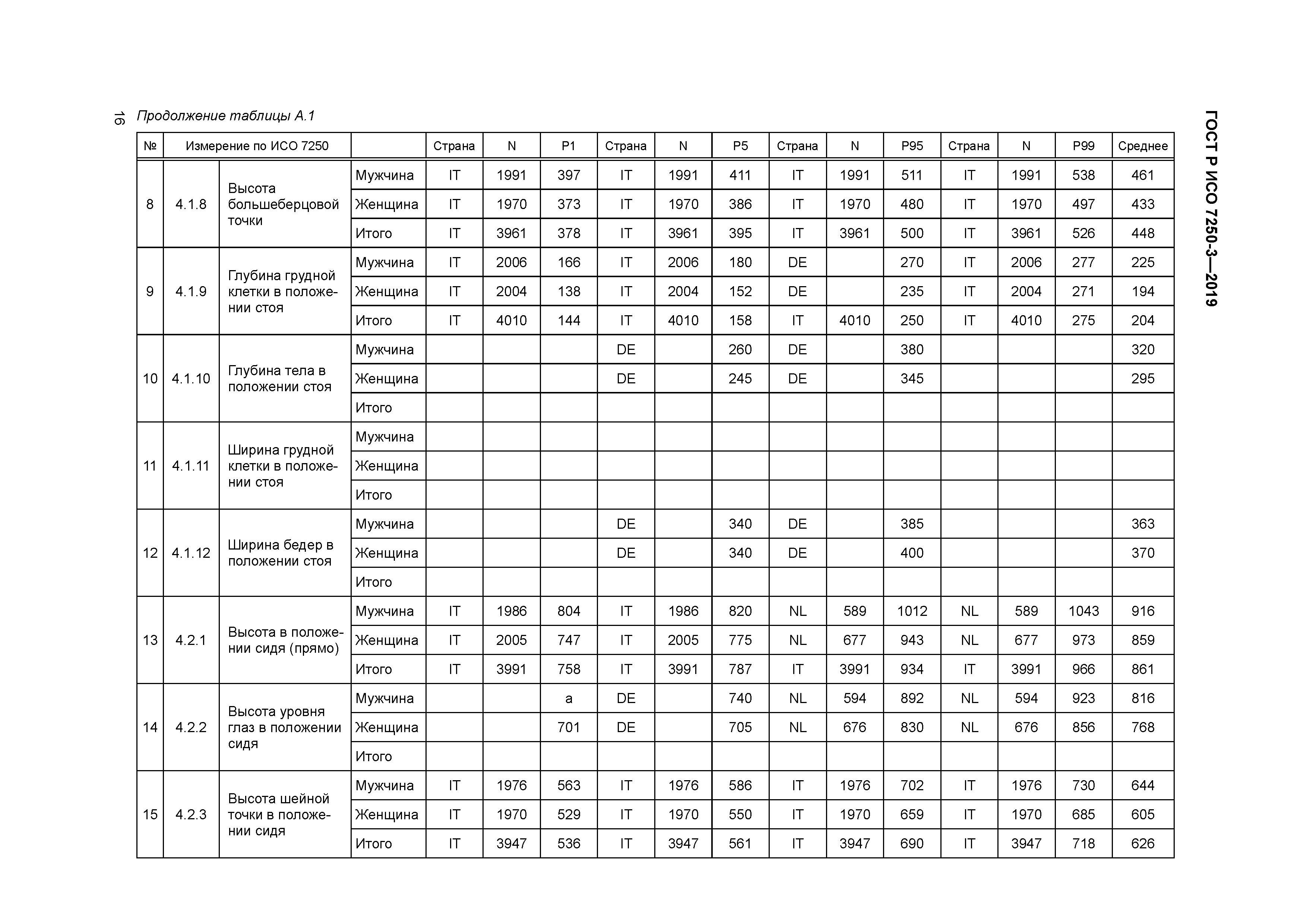
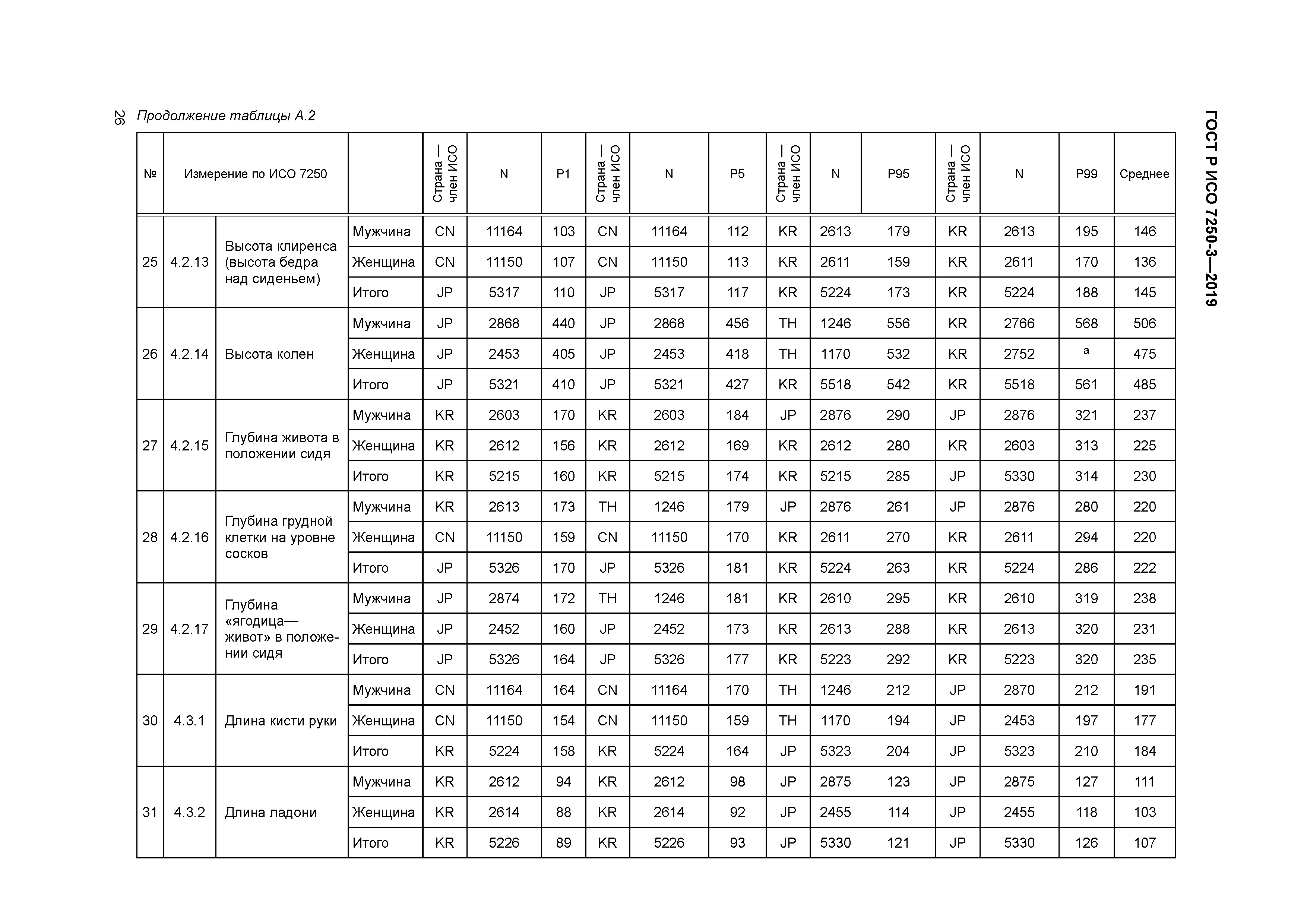
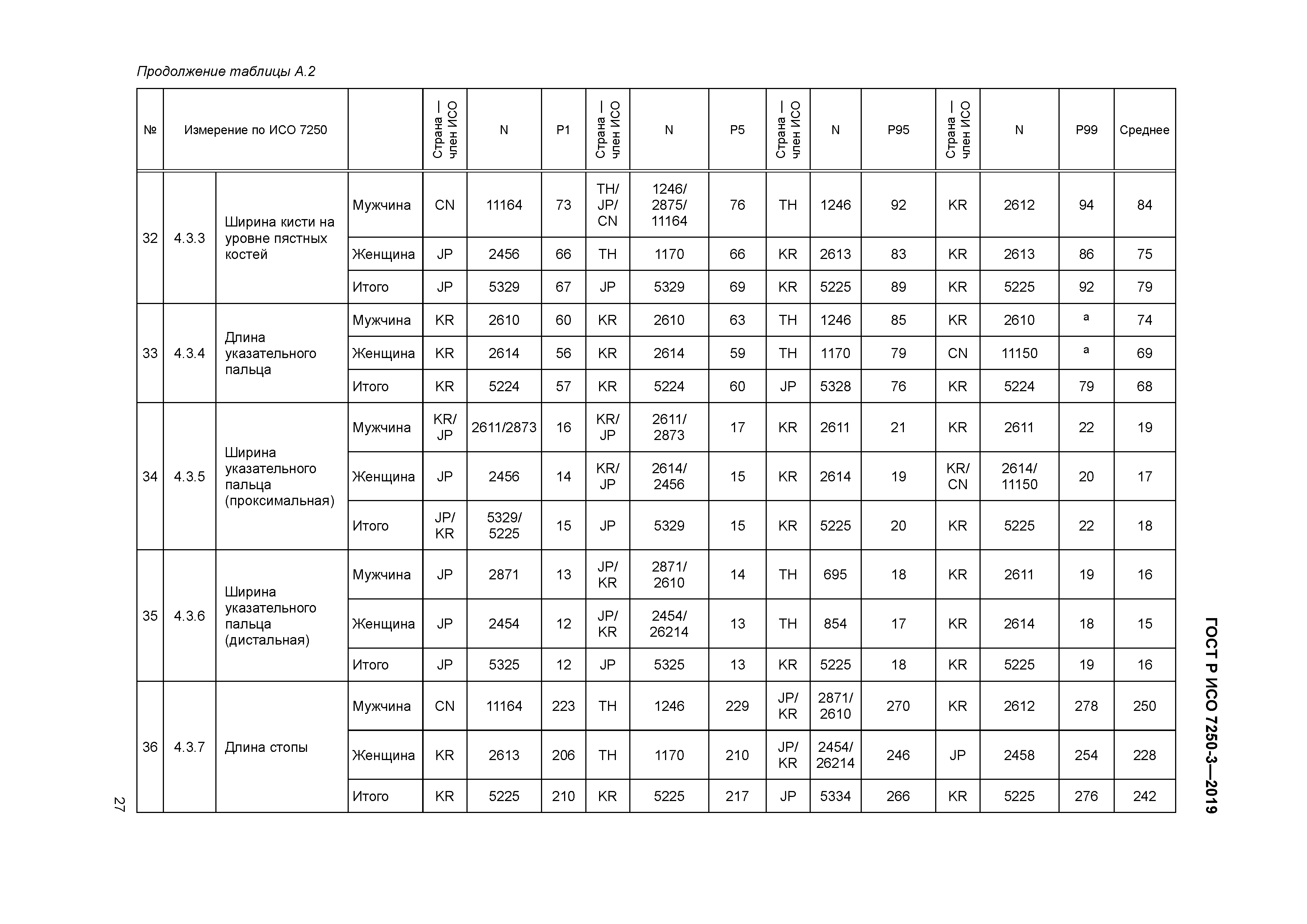
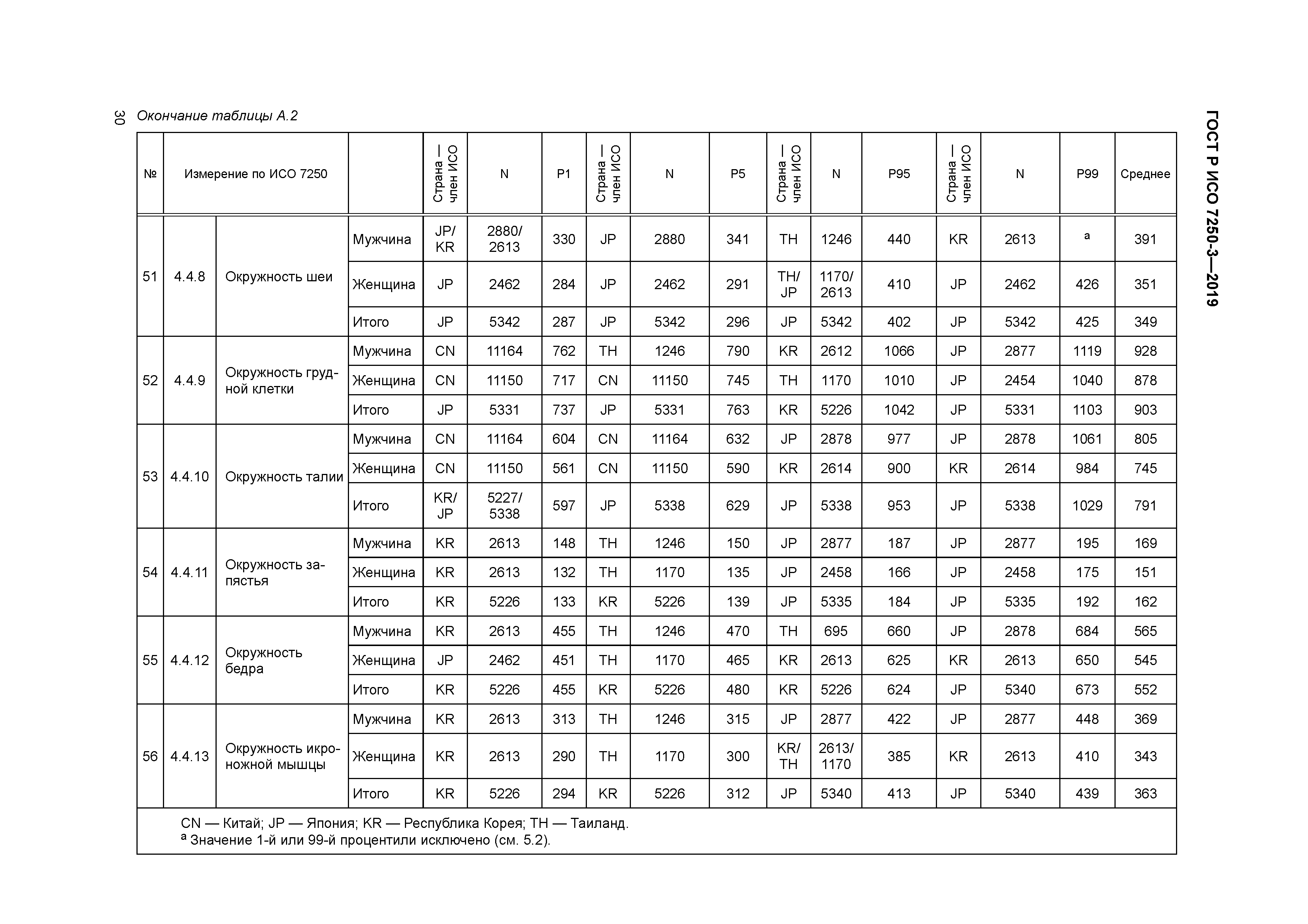
| Область применения: | В стандарте приведены таблицы международных и региональных данных для использования в стандартах на продукцию в части проектирования и обеспечения безопасности оборудования, в котором использованы размеры тела человека по ИСО 7250. Антропометрические данные, используемые для технического проектирования, применяют и приведены во многих стандартах. Однако в настоящее время отсутствует возможность систематического и своевременного обновления и пересмотра этих значений, так как со временем размеры и особенности строения тела человека меняются. Кроме того, сроки проведения антропометрических исследований тела человека в разных странах отличаются. Большой объем промышленной продукции разрабатывают для региональных или международных рынков без четкого представления о региональных и международных данных, приведенных в ИСО 7250. Пользователям стандартов необходимы наиболее актуальные антропометрические данные для решения поставленных перед ними задач. Совместно с ISO/TR 7250-2, который является регулярно обновляемым источником актуализированных антропометрических данных отдельных стран — членов ИСО, стандарт представляет собой периодически обновляемый источник международных и региональных данных, дифференцированных по гендерному признаку. Стандарт применяют в качестве единственного источника антропометрических данных для использования в стандартах по проектированию оборудования. В связи с тем что в ISO/TR 7250-2 приведены данные для отдельных стран — членов ИСО, в большинстве стандартов не используют эти данные в технической спецификации. Стандарт применим во всех случаях, когда необходимы данные антропометрии по всему миру или по регионам. Если в стандарте отсутствуют необходимые размеры, то методы и обоснования, используемые для определения региональных и международных значений на основе данных о размерах тела отдельных совокупностей, могут быть применены с соответствующими данными измерений. Область применения стандарта ограничена представлением одномерных областей, аналогичных используемым в настоящее время в стандартах на продукцию (например, Р1, Р5, Р95 и Р99), и не устраняет недостатков использования этих значений для многомерных проектов. Кроме того, в стандарте не рассмотрены размеры тела, применяемые в стандартах на продукцию, которые не определены в ИСО 7250-1. Методы, используемые при разработке стандарта, не учитывают численность населения или методологию выборки стран-членов, поэтому статистические значения из малонаселенной страны-члена могут устанавливать региональные или международные верхние или нижние пределы. Более подробная информация о методах отбора выборки, используемых в национальных исследованиях, приведена в ISO/TR 7250-2. |
| Оглавление: | 1 Область применения 2 Нормативные ссылки 3 Международные и региональные данные 4 Процедуры получения данных 5 Международные данные Приложение А (справочное) Приложение В (справочное) Приложение ДА (справочное) Сведения о соответствии ссылочных международных стандартов национальным стандартам Библиография |
| Разработан: | ЗАО НИЦ КД |
| Утверждён: | 29.08.2019 Федеральное агентство по техническому регулированию и метрологии (563-ст) |
| Издан: | Стандартинформ (2019 г. ) |
| Список изменений: |
|
| Нормативные ссылки: |
|







































Текстовое изменение Поправка от 13.02.2020