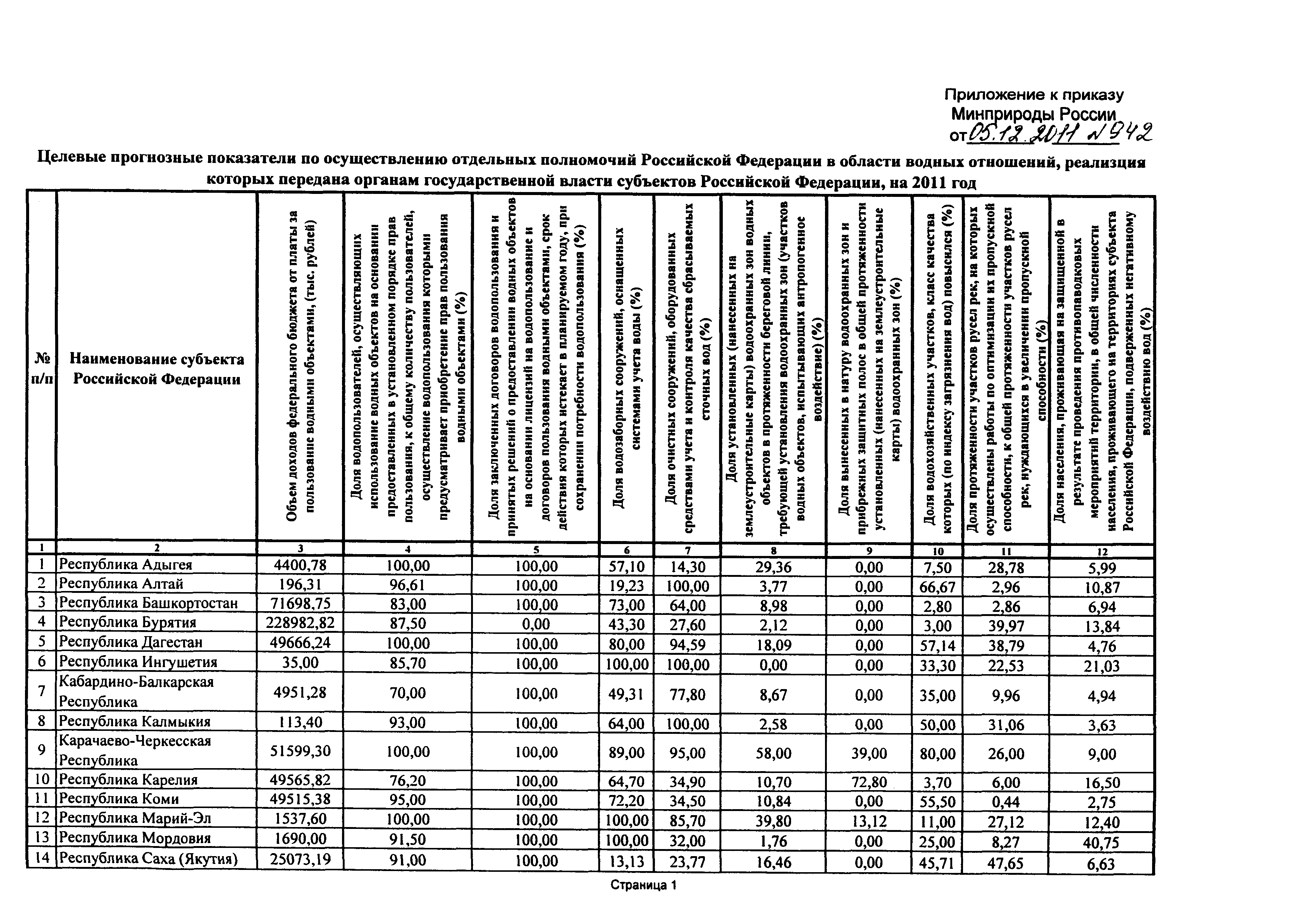
Скачать Целевые прогнозные показатели по осуществлению отдельных полномочий Российской Федерации в области водных отношений, реализация которых передана органам государственной власти субъектов Российской Федерации, на 2011 годДата актуализации: 01.01.2021
Целевые прогнозные показатели по осуществлению отдельных полномочий Российской Федерации в области водных отношений, реализация которых передана органам государственной власти субъектов Российской Федерации, на 2011 год| Статус: | действует | | Название рус.: | Целевые прогнозные показатели по осуществлению отдельных полномочий Российской Федерации в области водных отношений, реализация которых передана органам государственной власти субъектов Российской Федерации, на 2011 год | | Дата добавления в базу: | 01.02.2020 | | Дата актуализации: | 01.01.2021 | | Дата введения: | 23.03.2012 | | Утверждён: | 05.12.2011 Минприроды России (Russian Federation Minprirody 942)
| | Издан: | Бюллетень нормативных актов федеральных органов исполнительной власти (от 12.03.2012 № 11)
|
  
|