Скачать Приказ 884 Об утверждении форм предоставления в обязательном порядке юридическими лицами информации для включения в сегмент в области нефтедобывающей промышленности, нефтеперерабатывающей промышленности, нефтехимической промышленности, транспортировки по магистральным трубопроводам нефти и нефтепродуктов государственной информационной системы топливно-энергетического комплекса и требований к заполнению этих формДата актуализации: 01.01.2021 Приказ 884
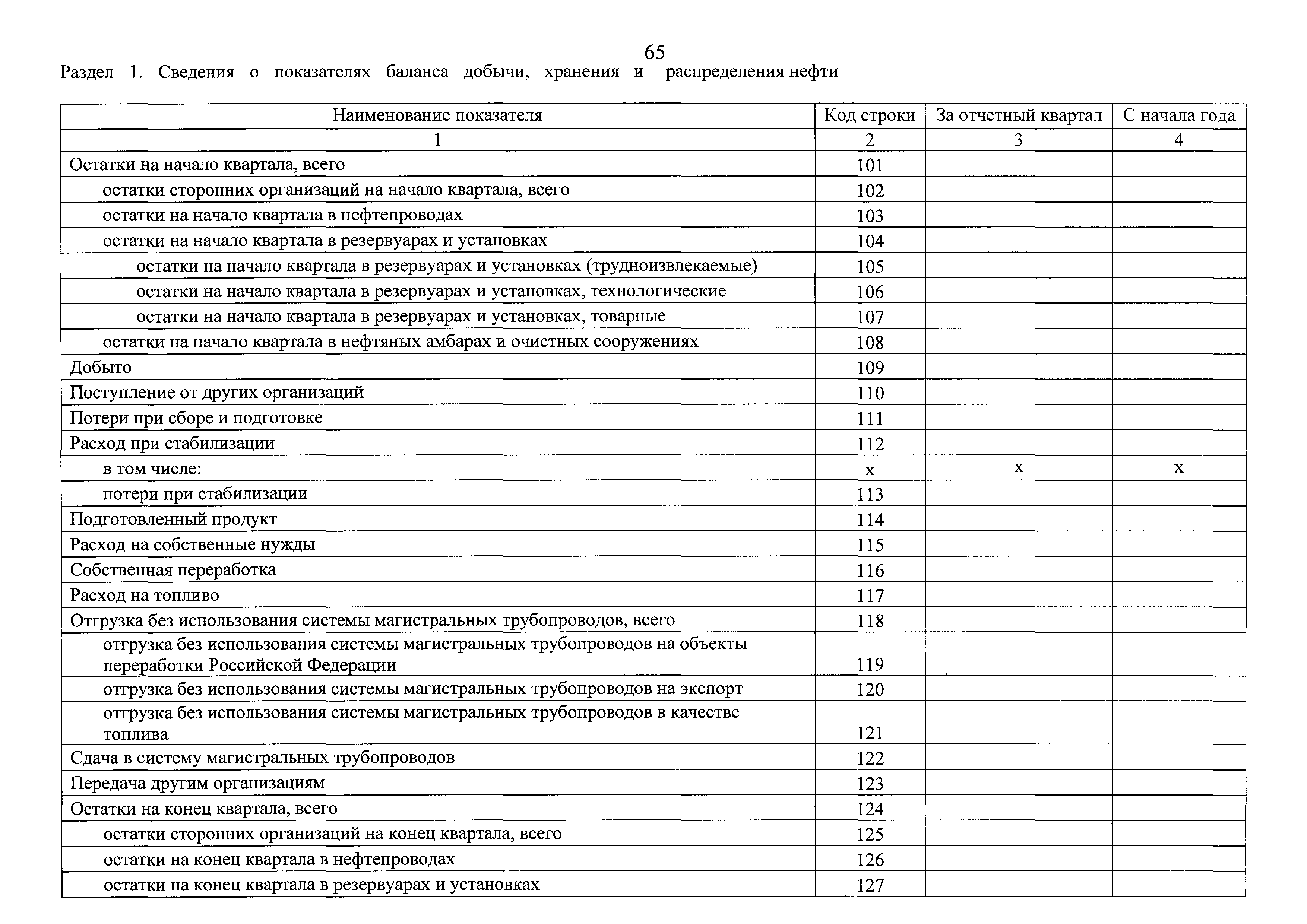
Об утверждении форм предоставления в обязательном порядке юридическими лицами информации для включения в сегмент в области нефтедобывающей промышленности, нефтеперерабатывающей промышленности, нефтехимической промышленности, транспортировки по магистральным трубопроводам нефти и нефтепродуктов государственной информационной системы топливно-энергетического комплекса и требований к заполнению этих форм| Обозначение: | Приказ 884 | | Обозначение англ: | Directive 884 | | Статус: | действует | | Название рус.: | Об утверждении форм предоставления в обязательном порядке юридическими лицами информации для включения в сегмент в области нефтедобывающей промышленности, нефтеперерабатывающей промышленности, нефтехимической промышленности, транспортировки по магистральным трубопроводам нефти и нефтепродуктов государственной информационной системы топливно-энергетического комплекса и требований к заполнению этих форм | | Дата добавления в базу: | 01.02.2020 | | Дата актуализации: | 01.01.2021 | | Дата введения: | 05.11.2019 | | Оглавление: | Приложения № 1.1 - 1.109. Формы предоставления в обязательном порядке юридическими лицами информации для включения в сегмент в области нефтедобывающей промышленности, нефтеперерабатывающей промышленности, нефтехимической промышленности, транспортировки по магистральным трубопроводам нефти и нефтепродуктов государственной информационной системы топливно-энергетического комплекса Приложения № 2.1 - 2.109. Требования к заполнению форм предоставления в обязательном порядке юридическими лицами информации для включения в сегмент в области нефтедобывающей промышленности, нефтеперерабатывающей промышленности, нефтехимической промышленности, транспортировки по магистральным трубопроводам нефти и нефтепродуктов государственной информационной системы топливно-энергетического комплекса | | Утверждён: | 22.08.2019 Министерство энергетики Российской Федерации (Минэнерго России) (884)
| | Издан: | Официальный интернет-портал правовой информации (www.pravo.gov.ru) (от 25.10.2019. Номер опубликования: 0001201910250024)
| | Нормативные ссылки: | |
                                                                                                                                                                                                                                                                                                                                                                                                                                                                                                                                                                                                                                                                               
|