Скачать ГОСТ Р ИСО 8000-100-2019 Качество данных. Часть 100. Основные данные. Обмен данными характеристик. ОбзорДата актуализации: 01.01.2021
|
| Обозначение: | ГОСТ Р ИСО 8000-100-2019 |
| Обозначение англ: | GOST R ISO 8000-100-2019 |
| Статус: | взамен |
| Название рус.: | Качество данных. Часть 100. Основные данные. Обмен данными характеристик. Обзор |
| Название англ.: | Data quality. Part 100. Master data. Exchange of characteristic data. Overview |
| Дата добавления в базу: | 01.02.2020 |
| Дата актуализации: | 01.01.2021 |
| Дата введения: | 01.05.2020 |
| Область применения: | Стандарт представляет обзор комплекса стандартов ИСО 8000, рассматривающих вопросы качества основных данных. По качеству основных данных стандарты ИСО 8000 распространяются на: - специальные аспекты основных данных в системе управления качеством; - показатели качества основных данных. Комплекс стандартов ИСО 8000 рассматривает вопросы качества данных следующим образом: - по восходящей, т. е. от наименьшего значимого элемента, значения свойства; - на границе (в интерфейсе) систем управления качеством, а не внутри этих систем. Комплекс стандартов ИСО 8000 по вопросам качества основных данных устанавливает соответствующие требования, позволяющие производить обмен основными данными характеристик между организациями и системами, а также обращаться к качеству значений свойств, обмен которыми постоянно осуществляется с помощью посланий и сообщений. Стандарт описывает основы качества основных данных, устанавливает соответствующие термины и требования к информации и к организациям, обеспечивающим качество основных данных. Стандарт распространяется на: - спецификацию области распространения качества основных данных в стандартах комплекса ИСО 8000; - представление основных данных; - описание структуры данных; - обзор содержания других стандартов, входящих в данный комплекс. Стандарт не распространяется на аспекты качества данных: - относящиеся ко всем типам данных, включая основные данные; - которые не относятся к основным данным. |
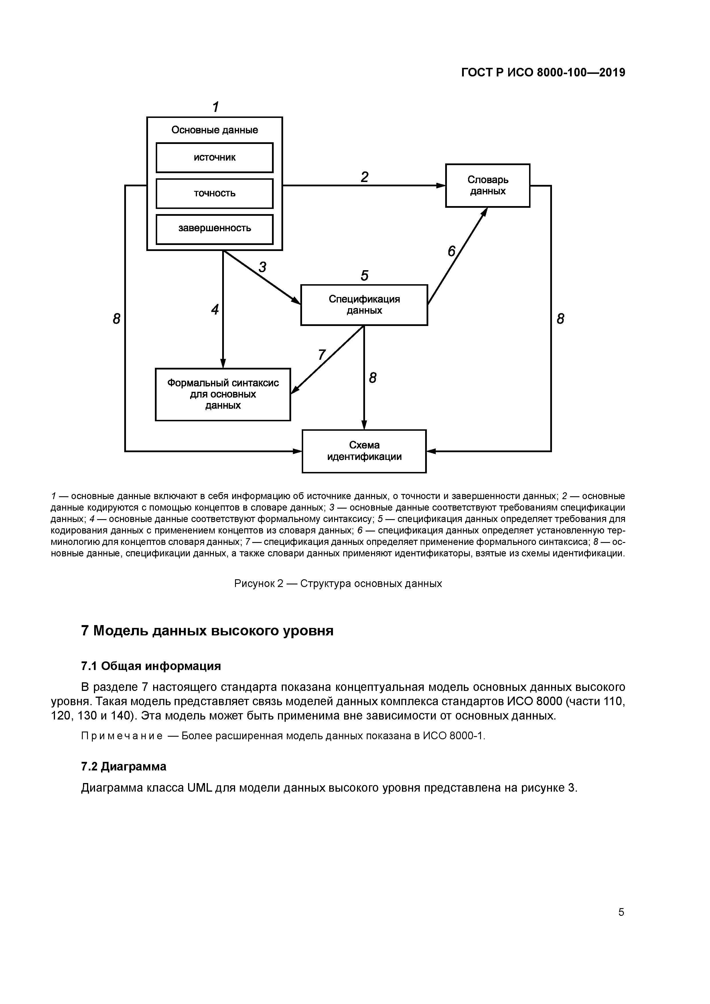
| Оглавление: | 1 Область применения 2 Нормативные ссылки 3 Термины и определения 4 Сокращения 5 Основные данные 6 Структура данных с включенными в нее основными данными 7 Модель данных высокого уровня 7.1 Общая информация 7.2 Диаграмма 7.3 Объекты 7.3.1 Словарь данных 7.3.2 Элемент словаря данных 7.3.3 Запись данных 7.3.4 Совокупность данных 7.3.5 Объект данных 7.3.6 Точность события объекта данных 7.3.7 Завершенность события объекта данных 7.3.8 Источник события объекта данных 7.3.9 Присваивание значения свойства 8 Обзор комплекса стандартов ИСО 8000, относящихся к качеству основных данных Приложение А (обязательное) Идентификация документа Приложение В (справочное) Категории продукции Приложение ДА (справочное) Сведения о соответствии ссылочных международных стандартов национальным стандартам Библиография |
| Разработан: | ФГУП СТАНДАРТИНФОРМ |
| Утверждён: | 29.10.2019 Росстандарт (836-ст) |
| Заменяет собой: | |
| Нормативные ссылки: |



















