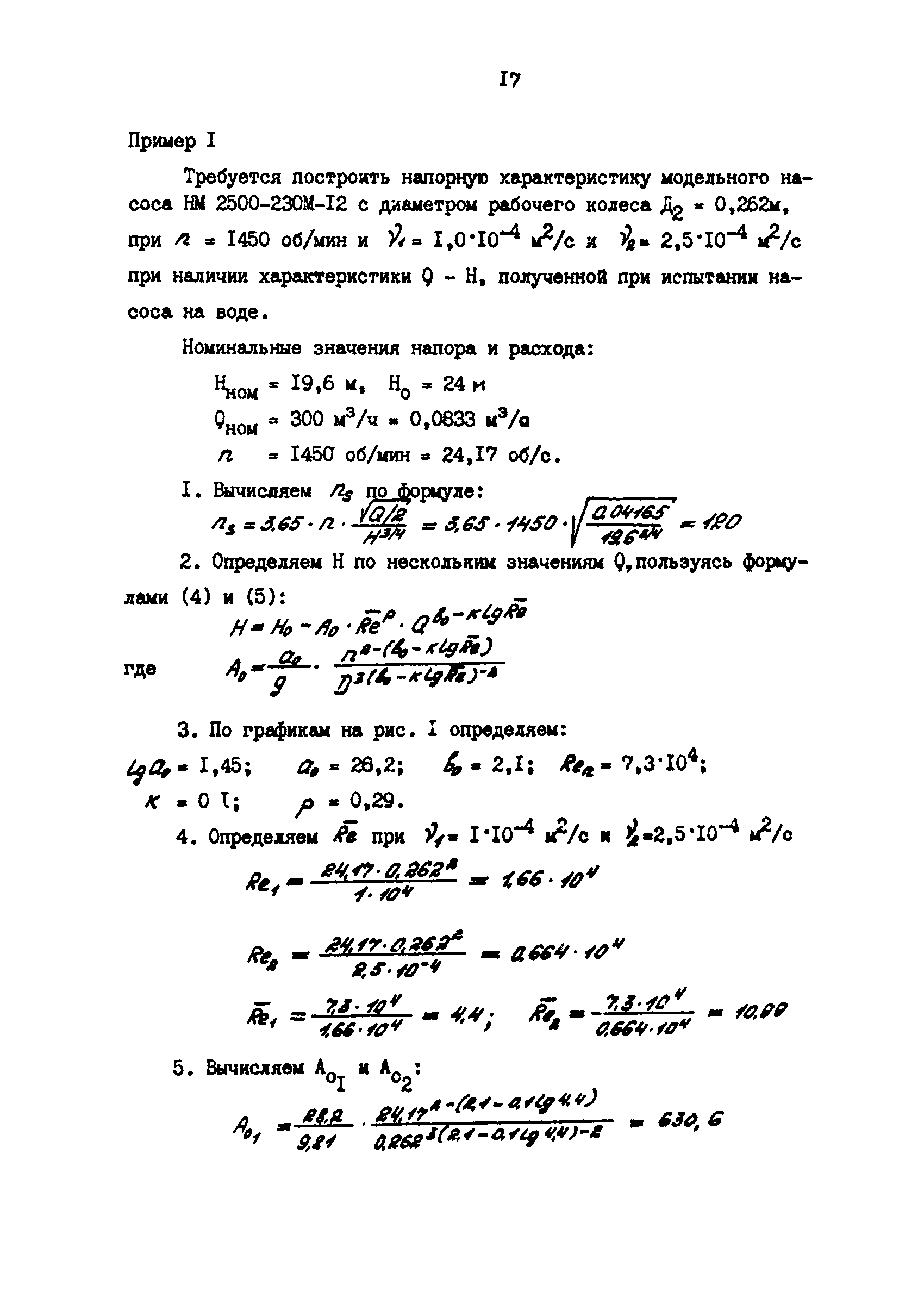
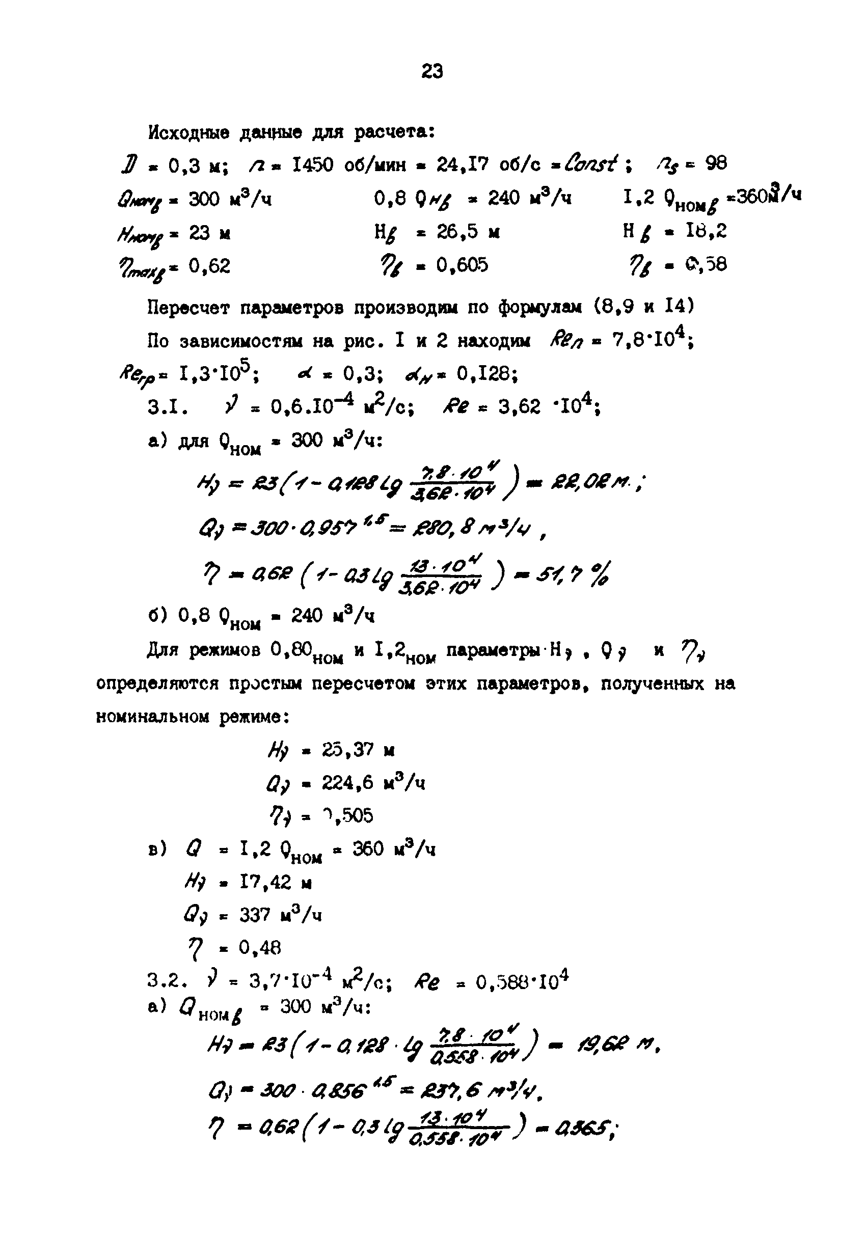
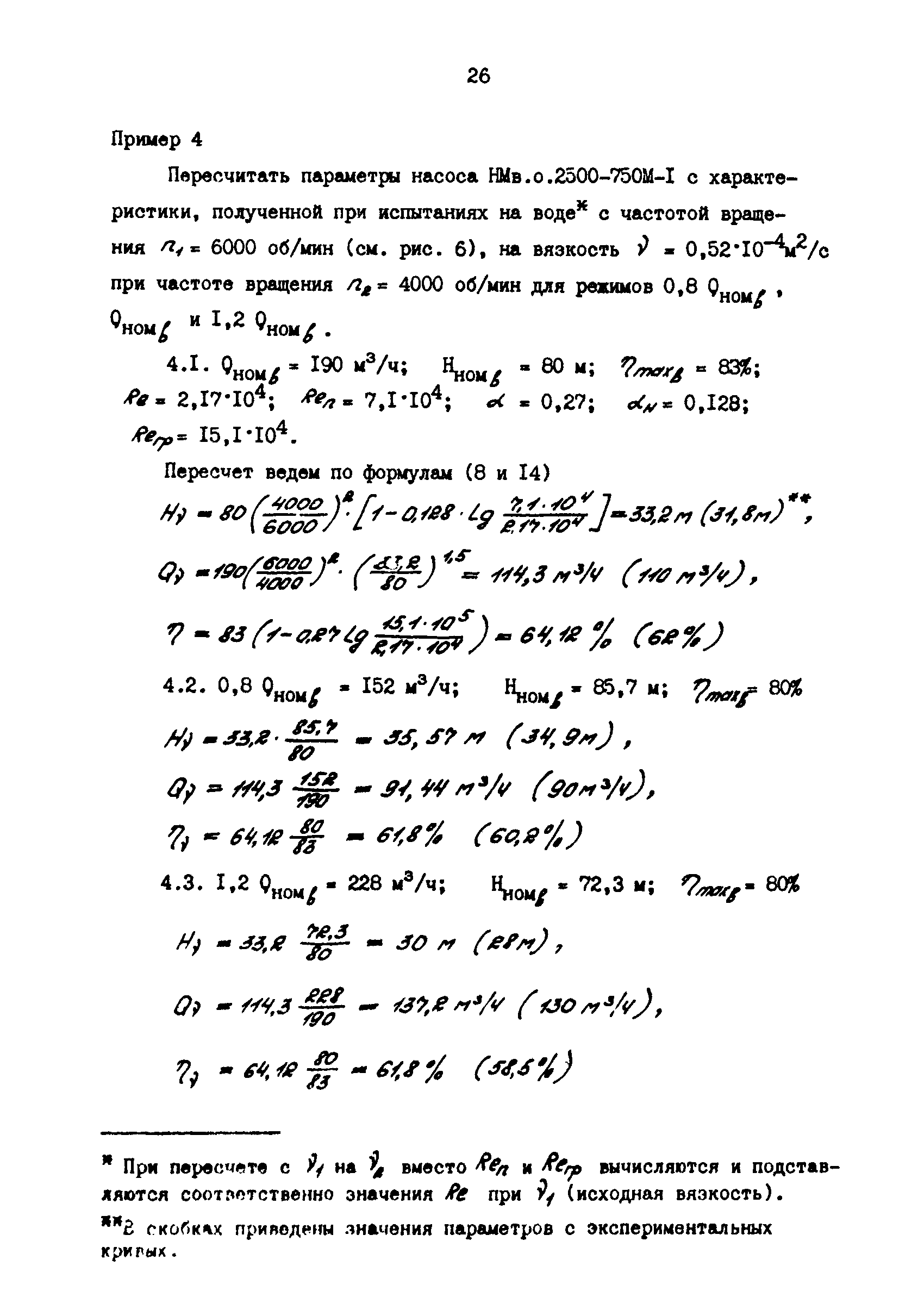
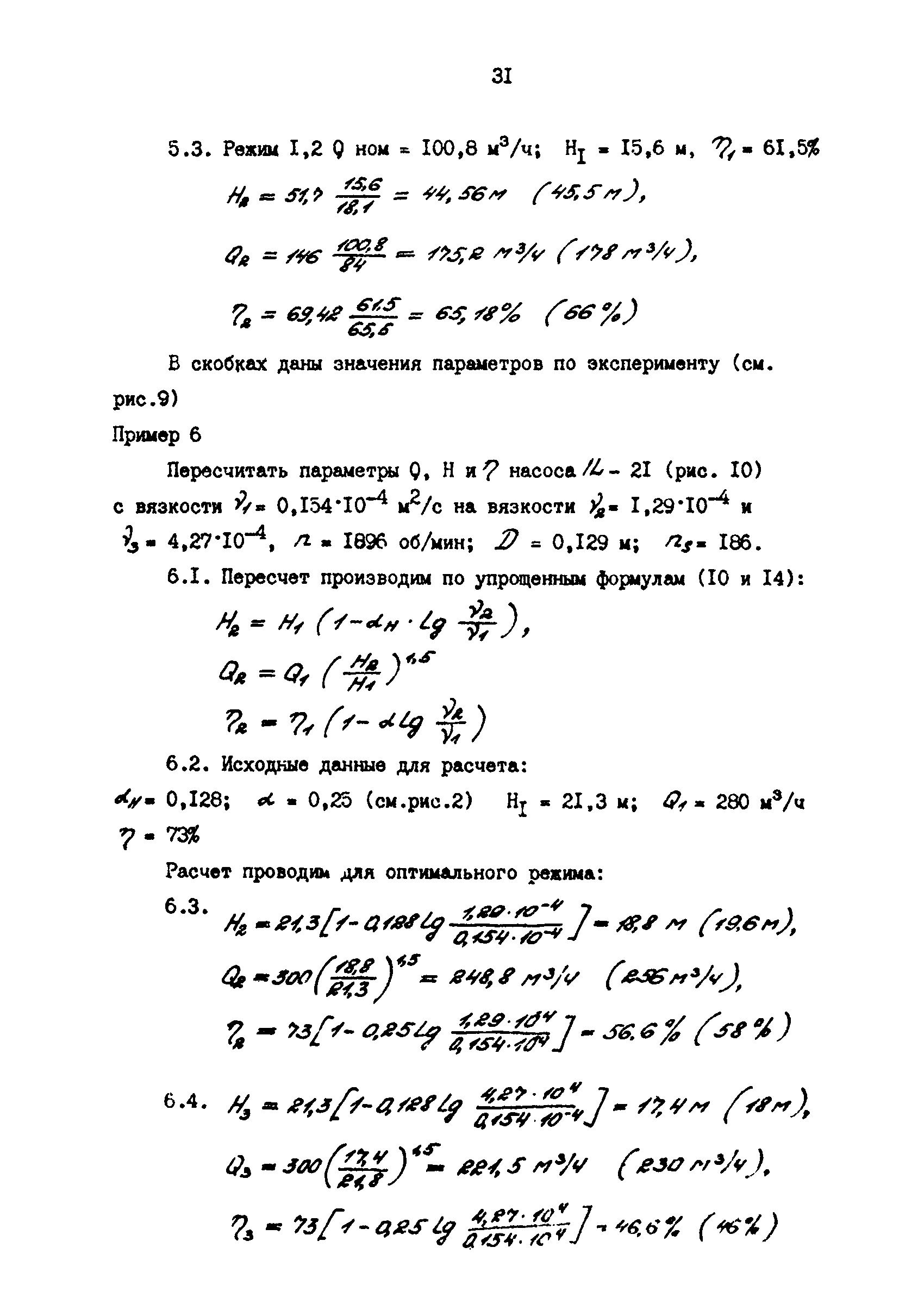
Скачать РД 39-30-990-84 Методика расчета напорных характеристик и пересчета параметров центробежных насосов магистральных нефтепроводов при изменении частоты вращения и вязкости перекачиваемой жидкостиДата актуализации: 01.01.2021
|
| Обозначение: | РД 39-30-990-84 |
| Обозначение англ: | RD 39-30-990-84 |
| Статус: | не действует |
| Название рус.: | Методика расчета напорных характеристик и пересчета параметров центробежных насосов магистральных нефтепроводов при изменении частоты вращения и вязкости перекачиваемой жидкости |
| Дата добавления в базу: | 01.02.2020 |
| Дата актуализации: | 01.01.2021 |
| Дата введения: | 01.03.1984 |
| Дата окончания срока действия: | 01.03.1989 |
| Область применения: | Методика предназначена для расчета напорных характеристик магистральных насосов и пересчета параметров Q, Н с воды на вязкие нефти и нефтепродукты (или с одной вязкости на другую) с учетом изменения частоты вращения и обточки рабочих колес. Методика рекомендуется для проектных, исследовательских и производственных организаций, занятых разработкой и эксплуатацией насосного оборудования перекачивающих станций, проектированием трубопроводов и насосных станций магистральных нефте— и продуктопроводов, а также промыслов, и способствует повышению экономических показателей эксплуатации трубопроводов в целом. |
| Оглавление: | 1 Общие положения 2 Исходные данные для расчета 3 Расчет напорных характеристик магистральных центробежных насосов при перекачке низких жидкостей 3.1 Уравнение напорной характеристики в безразмерных координатах 3.2 Уравнение напорной характеристики в размерных координатах Н — Q 4 Пересчет напора и подачи насоса в рабочей зоне при изменении вязкости жидкости и частоты вращения 5 Пересчет напора и подачи при обточке рабочего колеса 6 Пересчет коэффициента полезного действия центробежного насоса при изменении вязкости и частоты вращения Литература Приложение. Примеры расчетов по методике |
| Разработан: | ВНИИСПТнефть |
| Утверждён: | 29.12.1982 Министерство нефтяной промышленности СССР (USSR Ministry of the Petroleum Industry ) |
| Заменяет собой: |
|





































