Скачать ГОСТ IEC 62612-2019 Лампы светодиодные со встроенным устройством управления для общего освещения на напряжения свыше 50 В. Эксплуатационные требованияДата актуализации: 01.01.2021
|
| Обозначение: | ГОСТ IEC 62612-2019 |
| Обозначение англ: | 62612-2019 |
| Статус: | введен впервые |
| Название рус.: | Лампы светодиодные со встроенным устройством управления для общего освещения на напряжения свыше 50 В. Эксплуатационные требования |
| Название англ.: | Self-ballasted LED lamps for general lighting services with supply voltages > 50 V. Performance requirements |
| Дата добавления в базу: | 01.01.2021 |
| Дата актуализации: | 01.01.2021 |
| Дата введения: | 01.05.2020 |
| Область применения: | Стандарт устанавливает эксплуатационные требования, а также методы и условия испытаний, требуемые для подтверждения соответствия светодиодных ламп (далее - СД-ламп) со встроенными устройствами управления (далее - УУ), предназначенные для бытового и аналогичного общего освещения и имеющие: - номинальную мощность до 60 Вт включительно; - номинальное напряжение переменного тока от 50 до 250 В включительно; - цоколи по IEC 62560. Настоящие эксплуатационные требования дополняют требования безопасности по IEC 62560. Если стандарт используют для замены СД-ламп, то он обеспечивает только наибольшие размеры СД-ламп. Требования стандарта относят к испытанию типа. Стандарт охватывает СД-лампы белого света на основе неорганических светодиодов. Рекомендации по испытаниям всей продукции или партии в стадии рассмотрения. Срок службы СД-ламп во многих случаях намного больше практического времени испытания. Поэтому подтверждение установленного изготовителем срока службы не может быть проведено достаточно достоверно, так как данные испытаний за больший промежуток времени не стандартизованы. По этой причине приемка или браковка к установленному изготовителем сроку службы после истечения рабочего времени, указанного в 7.1, не входит в область применения стандарта. Вместо подтверждения срока службы стандарт устанавливает коды стабильности светового потока за заданное ограниченное время испытания. Поэтому данный цифровой код не предполагает прогноз достижимого срока службы. Категории, представленные кодом - это категории снижения светового потока, согласованные с информацией изготовителя, представленной до начала испытания. Для подтверждения установленного изготовителем срока службы существует несколько методов экстраполяции данных испытаний. Общий метод экстраполяции данных испытаний за ограниченное время испытания в стадии рассмотрения. Критерий соответствует/не соответствует при испытании срока службы, установленный в стандарте, отличается от критерия срока службы, установленного изготовителем. Объяснение рекомендуемого срока службы - в соответствии с приложением E. Предполагают, что СД-лампы со встроенными УУ будут зажигаться и удовлетворительно работать при напряжениях от 92 % до 106 % номинального питающего напряжения при температуре окружающей среды от минус 20 °С до плюс 40 °С в светильнике, удовлетворяющем IEC 60598-1. Если поставщик заявляет пригодность работы при различных условиях (например, при более высоких напряжении, температуре или влажности), тогда СД-лампы: a) испытывают при установленных других условиях; b) должны зажигаться и удовлетворительно работать при установленных других условиях; c) должны удовлетворять исполнению, указанному при установленных других условиях, которые могут отличаться от общих условий измерения, указанных в A.1. |
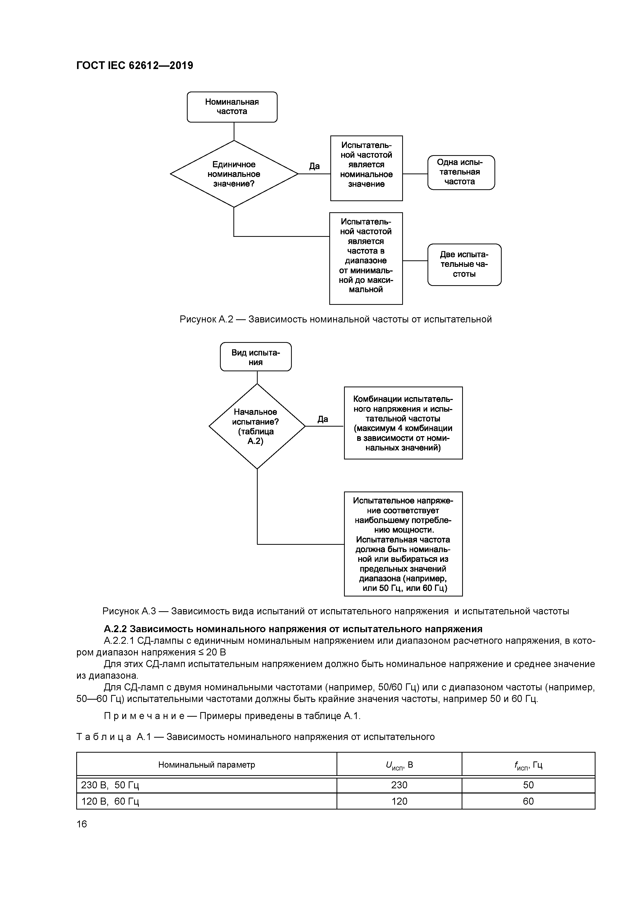
| Оглавление: | 1 Область применения 2 Нормативные ссылки 3 Термины и определения 4 Общие требования к испытаниям 5 Маркировка 5.1 Общие требования к маркировке 5.2 Места нанесения маркировки 6 Размеры 7 Условия испытаний 7.1 Общие условия испытаний 7.2 Создание семейства СД-ламп для уменьшения объема испытаний 7.2.1 Общие положения 7.2.2 Разбросы в семействе 7.2.3 Испытание на соответствие семейства СД-ламп 8 Входные параметры СД-ламп 8.1 Мощность СД-лампы 8.2 Коэффициент смещения 9 Световые параметры 9.1 Световой поток 9.2 Распределение силы света, пиковая сила света и угол излучения 9.2.1 Общие положения 9.2.2 Измерение 9.2.3 Распределение силы света 9.2.4 Значение пиковой силы света 9.2.5 Значение угла излучения 9.3 Световая отдача 10 Номенклатура цвета, разброс и цветопередача 10.1 Категории по разбросу цвета 10.2 Индекс цветопередачи (ИЦ) 11 Срок службы СД-лампы 11.1 Общие положения 11.2 Стабильность светового потока 11.3 Испытания на долговечность 11.3.1 Общие положения 11.3.2 Испытание на циклическую температуру 11.3.3 Испытание на переключение источника питания 11.3.4 Ускоренное испытание рабочего срока службы 12 Подтверждение Приложение A (обязательное) Метод измерения параметров СД-ламп Приложение B (обязательное) Объяснение фотометрического кода Приложение C (обязательное) Измерение коэффициента смещения Приложение D (справочное) Объяснение коэффициента смещения Приложение E (справочное) Объяснение рекомендуемого срока службы Приложение F (справочное) Примеры СД-кристаллов и корпусированных СД Приложение ДА (справочное) Сведения о соответствии ссылочных международных стандартов и документов межгосударственным стандартам Библиография |
| Разработан: | ООО НИИИС имени А.Н. Лодыгина |
| Утверждён: | 30.10.2019 Межгосударственный Совет по стандартизации, метрологии и сертификации (Inter-Governmental Council on Standardization, Metrology, and Certification 123-П) 30.10.2019 Федеральное агентство по техническому регулированию и метрологии (1164-ст) |
| Список изменений: |
|
| Нормативные ссылки: |
|





































Текстовое изменение Поправка от 01.09.2020


