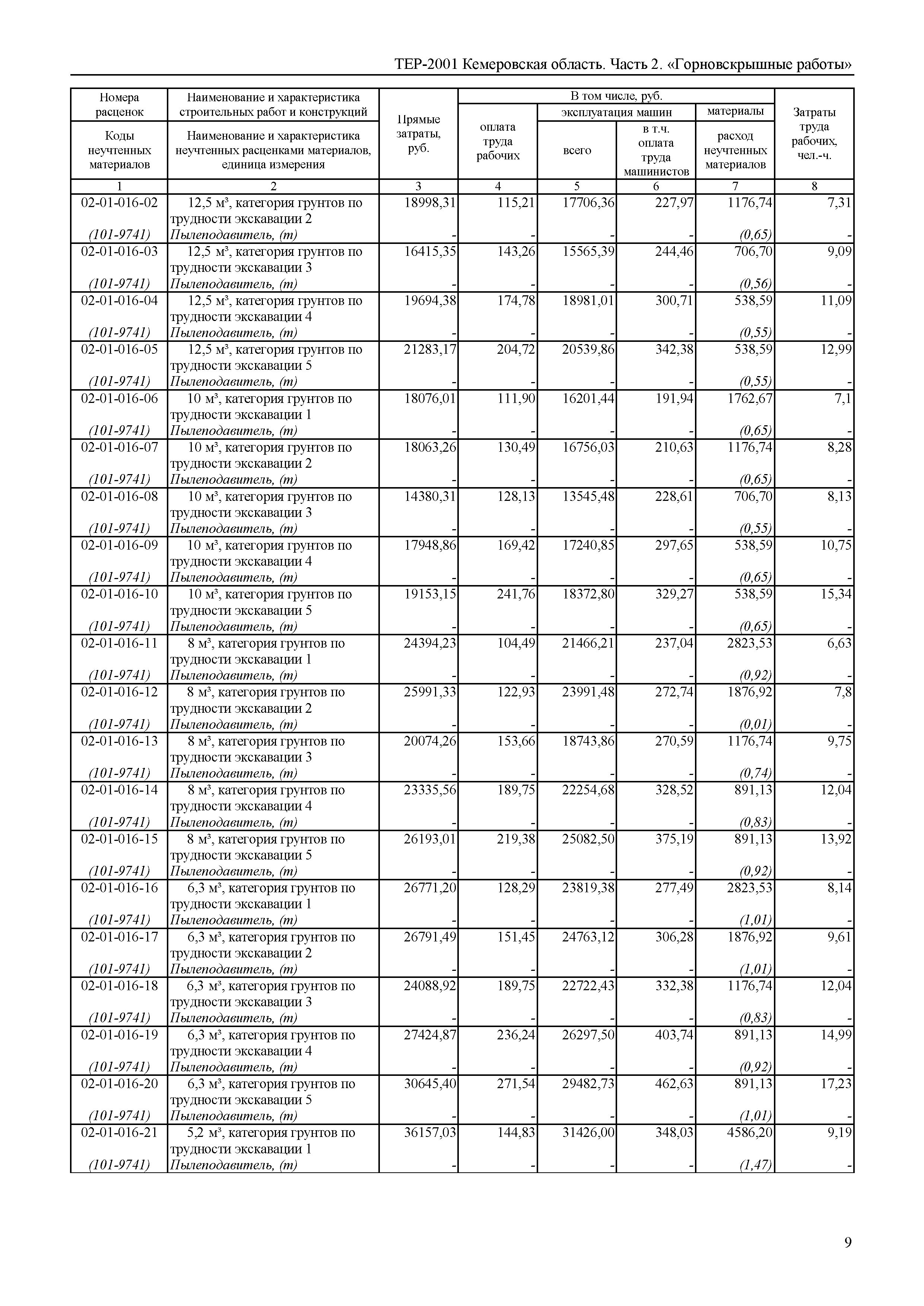
Скачать ТЕР Кемеровская область 81-02-02-2001 Часть 2. Горновскрышные работы. Территориальные единичные расценки на строительные и специальные строительные работыДата актуализации: 01.01.2021
|
| Обозначение: | ТЕР Кемеровская область 81-02-02-2001 |
| Обозначение англ: | 81-02-02-2001 |
| Статус: | действует |
| Название рус.: | Часть 2. Горновскрышные работы. Территориальные единичные расценки на строительные и специальные строительные работы |
| Дата добавления в базу: | 01.02.2020 |
| Дата актуализации: | 01.01.2021 |
| Область применения: | Территориальные единичные расценки на строительные и специальные строительные работы предназначены для определения затрат при выполнении строительных работ и составления на их основе сметных расчетов (смет) на производство указанных работ. |
| Оглавление: | Отдел 1. Разработка грунта одноковшовыми экскаваторами Раздел 1. Разработка грунта экскаваторами с укладкой на борт траншеи или в выработанное пространство Раздел 2. Разработка и погрузка грунта экскаваторами в железнодорожный транспорт Раздел 3. Разработка и погрузка грунта экскаваторами в автомобили-самосвалы Раздел 4. Экскаваторное отвалообразование Раздел 5. Бульдозерное отвалообразование Отдел 2. Разработка грунта скреперами |





















