Скачать ТЕР Кемеровская область 81-02-37-2001 Часть 37. Бетонные и железобетонные конструкции гидротехнических сооружений. Территориальные единичные расценки на строительные и специальные строительные работыДата актуализации: 01.01.2021
|
| Обозначение: | ТЕР Кемеровская область 81-02-37-2001 |
| Обозначение англ: | 81-02-37-2001 |
| Статус: | действует |
| Название рус.: | Часть 37. Бетонные и железобетонные конструкции гидротехнических сооружений. Территориальные единичные расценки на строительные и специальные строительные работы |
| Дата добавления в базу: | 01.02.2020 |
| Дата актуализации: | 01.01.2021 |
| Область применения: | Территориальные единичные расценки на строительные и специальные строительные работы предназначены для определения затрат при выполнении строительных работ и составления на их основе сметных расчетов (смет) на производство указанных работ. |
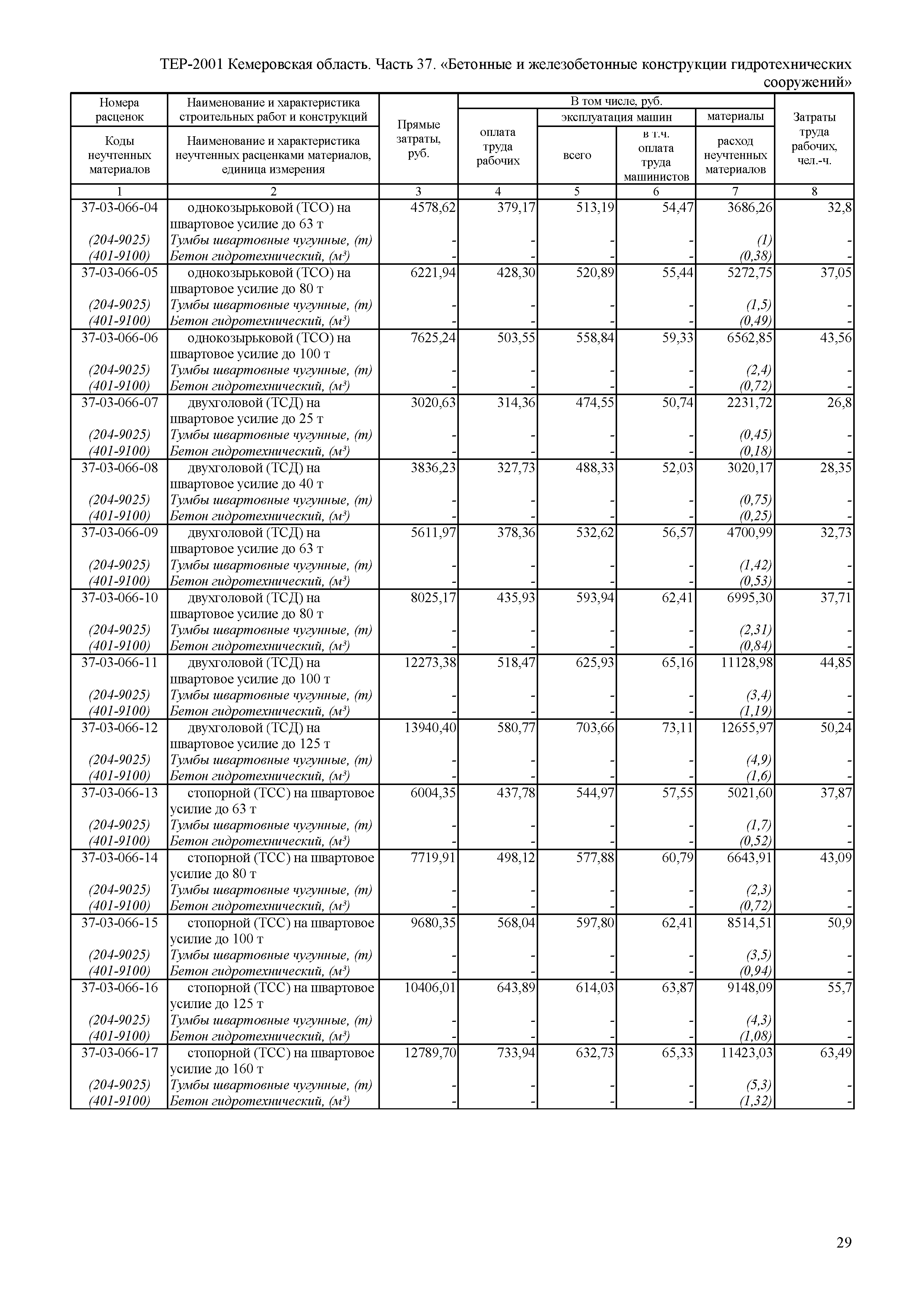
| Оглавление: | Часть 37. Бетонные и железобетонные конструкции гидротехнических сооружений Раздел 1. Конструкции объектов гидроэнергетики при объеме бетона по сооружению в целом более 100 тыс.м3 Подраздел 1.1. Подача и укладка бетонной смеси в блоки железобетонных конструкций гидроузлов Подраздел 1.2. Подача и укладка бетонной смеси в блоки бетонных конструкции гидроузлов Подраздел 1.3. Устройство подготовки под сооружения Подраздел 1.4. Опалубка Подраздел 1.5. Арматура Подраздел 1.6. Сборные железобетонные конструкции Подраздел 1.7. Монтаж систем дня охлаждения бетона в сооружениях Раздел 2. Конструкции объектов речного транспорта Раздел 3. Конструкции морских причальных набережных и пирсов Подраздел 3.1. Причальные набережные и пирсы из массивной кладки Подраздел 3.2. Причальные набережные и пирсы из оболочек большого диаметра Подраздел 3.3. Причальные набережные типа "БОЛЬВЕРК" Подраздел 3.4. Причальные набережные и пирсы эстакадного типа Подраздел 3.5. Подкрановые балки и пути Подраздел 3.6. Швартовные тумбы Раздел 4. Сооружения на оросительных и осушительных системах Раздел 5. Прочие работы |
| Список изменений: |






































Текстовое изменение № 










