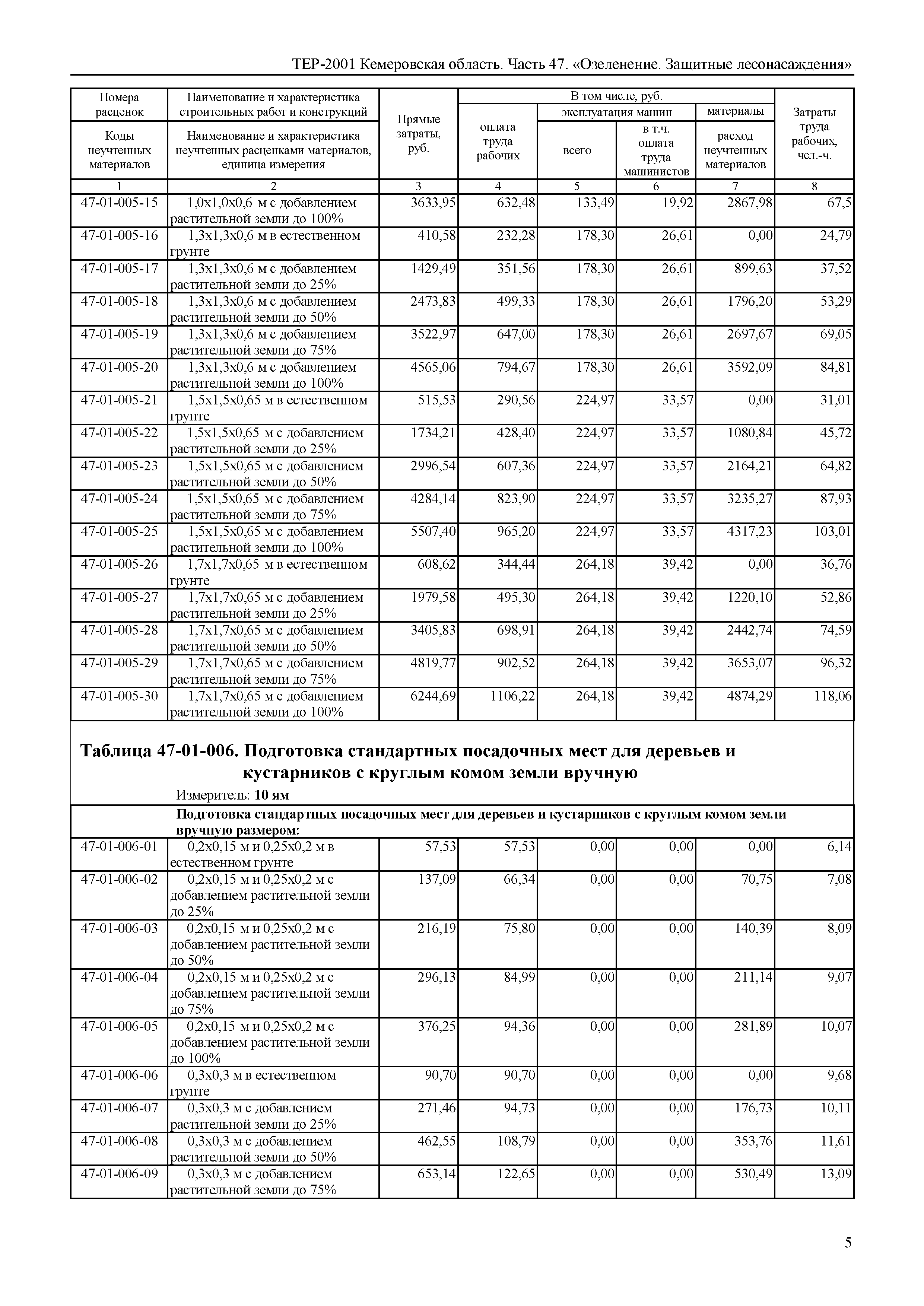
Скачать ТЕР Кемеровская область 81-02-47-2001 Часть 47. Озеленение. Защитные лесонасаждения. Территориальные единичные расценки на строительные и специальные строительные работыДата актуализации: 01.01.2021
|
| Обозначение: | ТЕР Кемеровская область 81-02-47-2001 |
| Обозначение англ: | 81-02-47-2001 |
| Статус: | действует |
| Название рус.: | Часть 47. Озеленение. Защитные лесонасаждения. Территориальные единичные расценки на строительные и специальные строительные работы |
| Дата добавления в базу: | 01.02.2020 |
| Дата актуализации: | 01.01.2021 |
| Область применения: | Территориальные единичные расценки на строительные и специальные строительные работы предназначены для определения затрат при выполнении строительных работ и составления на их основе сметных расчетов (смет) на производство указанных работ. |
| Оглавление: | Раздел 1. Усиление конструкций Раздел 2. Замена конструкций Раздел 3. Сверление и пробивка отверстий, проемов в конструкциях. Заделка отверстий, гнезд и борозд Подраздел 3.1. Сверление отверстии Подраздел 3.2. Пробивка отверстий, проемов, гнезд Подраздел 3.3. Заделка отверстий, проемов, гнезд и борозд Раздел 4. Разборка конструкций Раздел 5. Временные защитные ограждения и устройства при производстве работ Раздел 6. Разборка жилых и общественных здании Раздел 7. Замена металлических конструкции сооружении Раздел 8. Прочие работы |






































