Скачать ТЕР Кемеровская область 81-02-Пр(2)-2001 Приложения (книга 2). Территориальные единичные расценки на строительные и специальные строительные работыДата актуализации: 01.01.2021
|
| Обозначение: | ТЕР Кемеровская область 81-02-Пр(2)-2001 |
| Обозначение англ: | 81-02-Пр(2)-2001 |
| Статус: | действует |
| Название рус.: | Приложения (книга 2). Территориальные единичные расценки на строительные и специальные строительные работы |
| Дата добавления в базу: | 01.02.2020 |
| Дата актуализации: | 01.01.2021 |
| Область применения: | Территориальные единичные расценки на строительные и специальные строительные работы предназначены для определения затрат при выполнении строительных работ и составления на их основе сметных расчетов (смет) на производство указанных работ. |
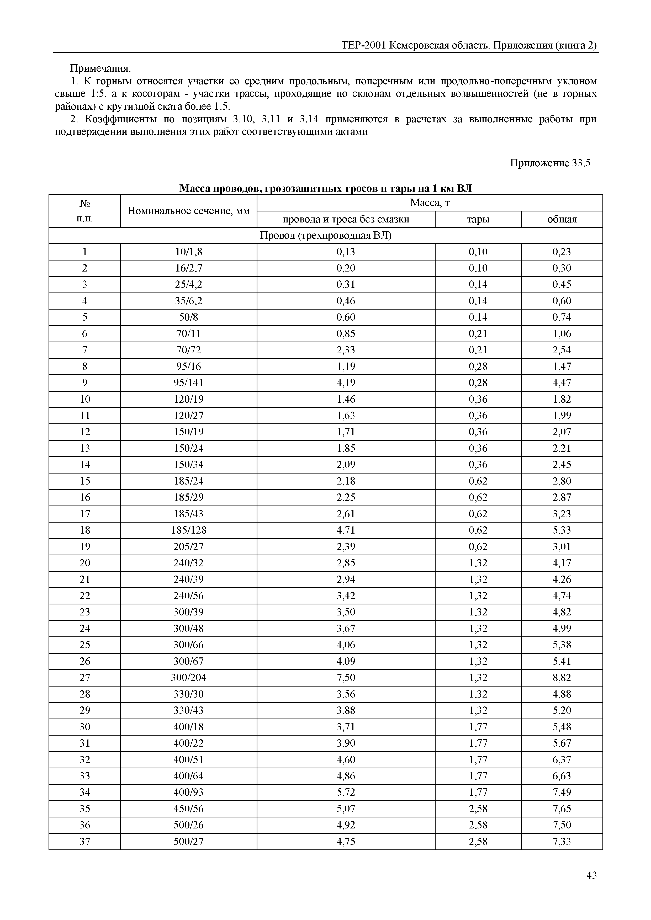
| Оглавление: | Железные дороги Приложение 28.1 Коэффициенты к сметным расценкам, учитывающие условия применения ТЕР части 28 Тоннели и метрополитены Приложение 29.1 Разновидность грунтов Приложение 29.2 Продолжительность рабочих смен Приложение 29.3 Справочные данные к расценкам таблиц раздела 01 «Закрытый способ работ» Приложение 29.4 Коэффициенты к расценкам, учитывающие условия применения ТЕР части 29 раздела 1 Приложение 29.5 Сроки начала и конца выполнения обслуживающих процессов Приложение 29.6 Расчетное число смен Приложение 29.7 Коэффициенты к сметным расценкам, учитывающие условия применения ТЕР части 29 раздела 4 Приложение 29.8 Рецептура приготовления гидроизоляционной пасты из сухой смеси «Натлен-2» Мосты и трубы Приложение 30.1 Стоимость на доставку 1 т материалов, изделий и конструкций Приложение 30.2 Количество разгружаемых изделий за один вывоз Приложение 30.3 Коэффициенты к расценкам, учитывающие условия применения к ТЕР части 30 Аэродромы Приложение 31.1 Состав бетона с поверхностно-активными добавками ЛСТИ СНВ Приложение 31.2 Состав бетона с поверхностно-активными добавками С-3 и СНВ Приложение 31.3 Вспомогательная таблица для определения объемов основных конструкций колодцев по типовым проектам 65421-50 для устройства водосточно-дренажной сети Приложение 31.4 Коэффициенты к расценкам, учитывающие условия применения ТЕР части 31 Трамвайные пути Приложение 32.1 Коэффициенты к расценкам, учитывающие условия применения ТЕР части 32 Линии электропередачи Приложение 33.1 Затраты на бурение котлованов, исключаемые из расценок Приложение 33.2 Объем древесины одностоечных опор ВЛ 0,38 - 10 кВ сельскохозяйственного назначения Приложение 33.3 Коэффициенты к расценкам, учитывающие условия применения ТЕР части 33 разделов 1 - 3 Приложение 33.4 Коэффициенты к расценкам, учитывающие условия применения ТЕР части 33 раздела 4 Приложение 33.5 Масса проводов, грозозащитных тросов и тары на 1 км ВЛ Сооружения связи, радиовещания и телевидения Приложение 34.1 Определение длины опор Приложение 34.2 Расход проволоки Приложение 34.3 Объем древесины 1 столба Приложение 34.4 Коэффициенты к расценкам, учитывающие условия применения ТЕР части 34 Земляные конструкции гидротехнических сооружений Приложение 36.1 Коэффициенты к расценкам, учитывающие условия применения ТЕР части 36 Бетонные и железобетонные конструкции гидротехнических сооружений Приложение 37.1 Коэффициенты к расценкам, учитывающие условия применения ТЕР части 37 Приложение 37.2 Затраты при установке плит на глубине более 0,5 м Каменные конструкции гидротехнических сооружений Приложение 38.1 Коэффициенты к расценкам, учитывающие условия применения ТЕР части 38 раздела 1 Приложение 38.2 Коэффициенты к расценкам, учитывающие условия применения ТЕР части 38 раздела 2 Металлические конструкции гидротехнических сооружений Приложение 39.1 Затраты для исключения из расценок таблицы 39-01-015 Приложение 39.2 Затраты на эксплуатацию водолазных станций Приложение 39.3 Коэффициенты к расценкам, учитывающие условия применения ТЕР части 39 Деревянные конструкции гидротехнических сооружений Приложение 40.1 Коэффициенты к расценкам, учитывающие условия применения ТЕР части 40 Гидроизоляционные работы в гидротехнических сооружениях Приложение 41.1 Коэффициенты к расценкам, учитывающие условия применения ТЕР части 41 Берегоукрепительные работы Приложение 42.1 Коэффициенты к расценкам, учитывающие условия применения ТЕР части 42 Подводно-строительные (водолазные) работы Приложение 44.1 Распределение грунтов по группам при разработке их плавучими землесосными и гидромониторно-эжекторными снарядами и грунтососами Приложение 44.2 Распределение грунтов по группам при разработке их гидромониторами Приложение 44.3 Распределение грунтов по группам при разработке их штанговыми (черпаковыми) снарядами с ковшом вместимостью 4,0 м3 Приложение 44.4 Распределение грунтов по группам при разработке их штанговыми (черпаковыми) снарядами с ковшами вместимостью 2,0 - 2,5 м3 и многочерпаковыми снарядами Приложение 44.5 Объем подбивки на 100 м подводной части трубопровода Приложение 44.6 Коэффициенты к расценкам, учитывающие условия применения ТЕР части 44 Приложение 44.7 Распределение грунтов по группам при производстве морских дноуглубительных работ Приложение 44.8 Затраты на мобилизацию и демобилизацию самоотвозных землесосов Приложение 44.9 Затраты на мобилизацию и демобилизацию земснарядов свайно-папильонажных с фрезерным разрыхлителем, самоходных своим ходом Приложение 44.10 Затраты на мобилизацию и демобилизацию земснарядов свайно-папильонажных несамоходных с фрезерным разрыхлителем Приложение 44.11 Затраты на мобилизацию и демобилизацию земснарядов многочерпаковых своим ходом Приложение 44.12 Затраты на мобилизацию и демобилизацию земснарядов одночерпаковых Приложение 44.13 Затраты на мобилизацию и демобилизацию буксиров Промышленные печи и трубы Приложение 45.1 Расход огнеупорного раствора на 1 м3 кладки Приложение 45.2 Коэффициенты к расходу огнеупорных изделий и материалов по спецификациям рабочих чертежей, учитывающих трудноустранимые потери и отходы при производстве работ Приложение 45.3 Перечень объектов, видов работ конструктивных элементов по категориям огнеупорной кладки Приложение 45.4 Коэффициенты к расценкам, учитывающие условия применения ТЕР части 45 Работы при реконструкции зданий и сооружений Приложение 46.1 Коэффициенты к расценкам, учитывающие условия применения ТЕР части 46 Озеленение, защитные лесонасаждения Приложение 47.1 Кратность операции и расход воды при уходе за зелеными насаждениями для II климатического района Приложение 47.2 Стандартные размеры комов, ям и траншей для посадки деревьев и кустарников Приложение 47.3 Коэффициенты к расценкам, учитывающие условия применения ТЕР части 47 раздела 1 Приложение 47.4 Размеры посадочных ям для посадки саженцев древесных и кустарниковых пород Приложение 47.5 Коэффициенты к расценкам, учитывающие условия применения ТЕР части 47 раздела 2 Приложение 48 Показатели часовой оплаты труда рабочих-строителей в зависимости от среднего разряда работ для ТЕР частей 1, 3 - 47 Приложение 49 Показатели часовой оплаты труда рабочих-строителей в зависимости от среднего разряда работ для ТЕР части 2 Приложение 50 Сметные расценки на эксплуатацию строительных машин и механизмов в базисных ценах по состоянию на 01.01.2000 г. Приложение 51 Сметные расценки на материалы, изделия и конструкции в базисных ценах по состоянию на 01.01.2000 г. Приложение 52 Таблицы замены ресурсов ТЕР |
| Список изменений: |








































































































































































































































































































































































































Текстовое изменение № 




































