Скачать Целевые прогнозные показатели по осуществлению отдельных полномочий Российской Федерации в области водных отношений, реализация которых передана органам государственной власти субъектов Российской Федерации, на 2014 годДата актуализации: 01.01.2021
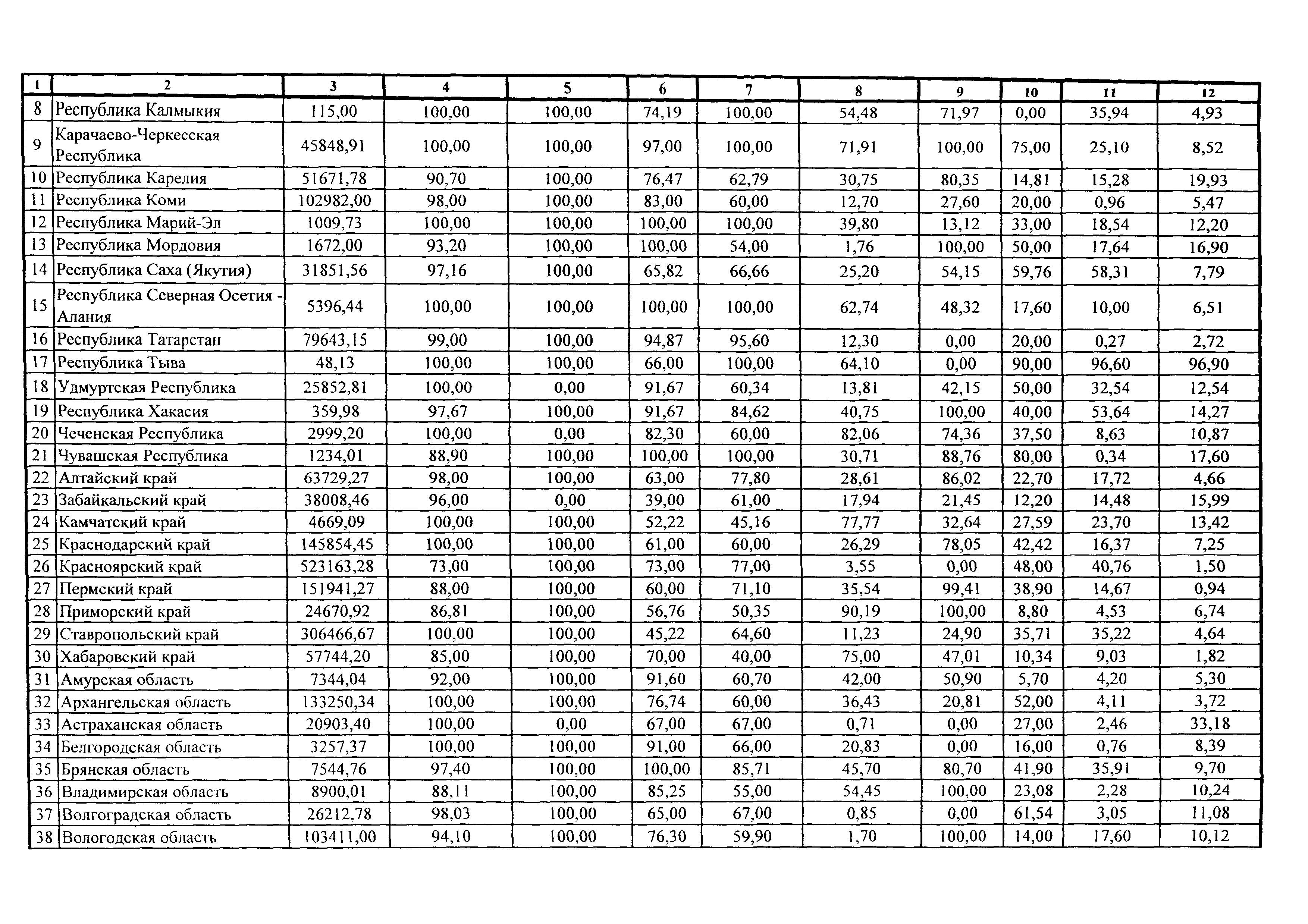
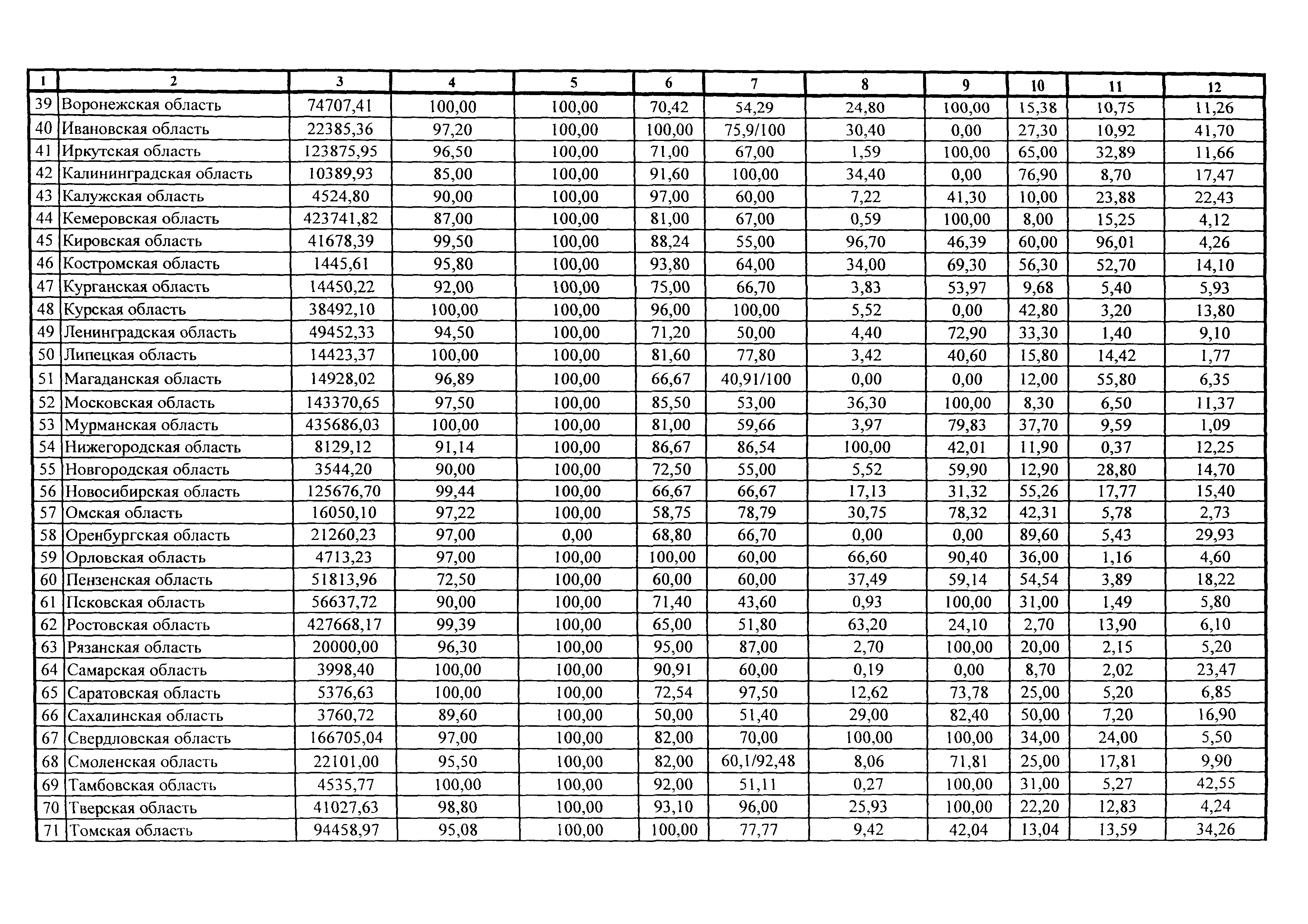
Целевые прогнозные показатели по осуществлению отдельных полномочий Российской Федерации в области водных отношений, реализация которых передана органам государственной власти субъектов Российской Федерации, на 2014 год| Статус: | действует | | Название рус.: | Целевые прогнозные показатели по осуществлению отдельных полномочий Российской Федерации в области водных отношений, реализация которых передана органам государственной власти субъектов Российской Федерации, на 2014 год | | Дата добавления в базу: | 01.02.2020 | | Дата актуализации: | 01.01.2021 | | Дата введения: | 09.01.2015 | | Утверждён: | 30.10.2014 Министерство природных ресурсов и экологии Российской Федерации (474)
| | Издан: | Российская газета (от 29.12.2014 № 297)
|
   
|