Скачать РД 39-5-1239-85 Нормативы спецтранспорта для обслуживания систем измерения количества нефти и трубопоршневых установокДата актуализации: 01.01.2021
|
| Обозначение: | РД 39-5-1239-85 |
| Обозначение англ: | RD 39-5-1239-85 |
| Статус: | истек срок действия |
| Название рус.: | Нормативы спецтранспорта для обслуживания систем измерения количества нефти и трубопоршневых установок |
| Дата добавления в базу: | 01.02.2020 |
| Дата актуализации: | 01.01.2021 |
| Дата введения: | 01.04.1985 |
| Дата окончания срока действия: | 01.04.1989 |
| Область применения: | Документ предназначен для обоснования потребности в спецтранспорте для обслуживания систем измерения количества нефти (СИКН) и стационарных турбопоршневых установок (ТПУ), осуществляемого предприятиями ВПО Союзнефтеавтоматика |
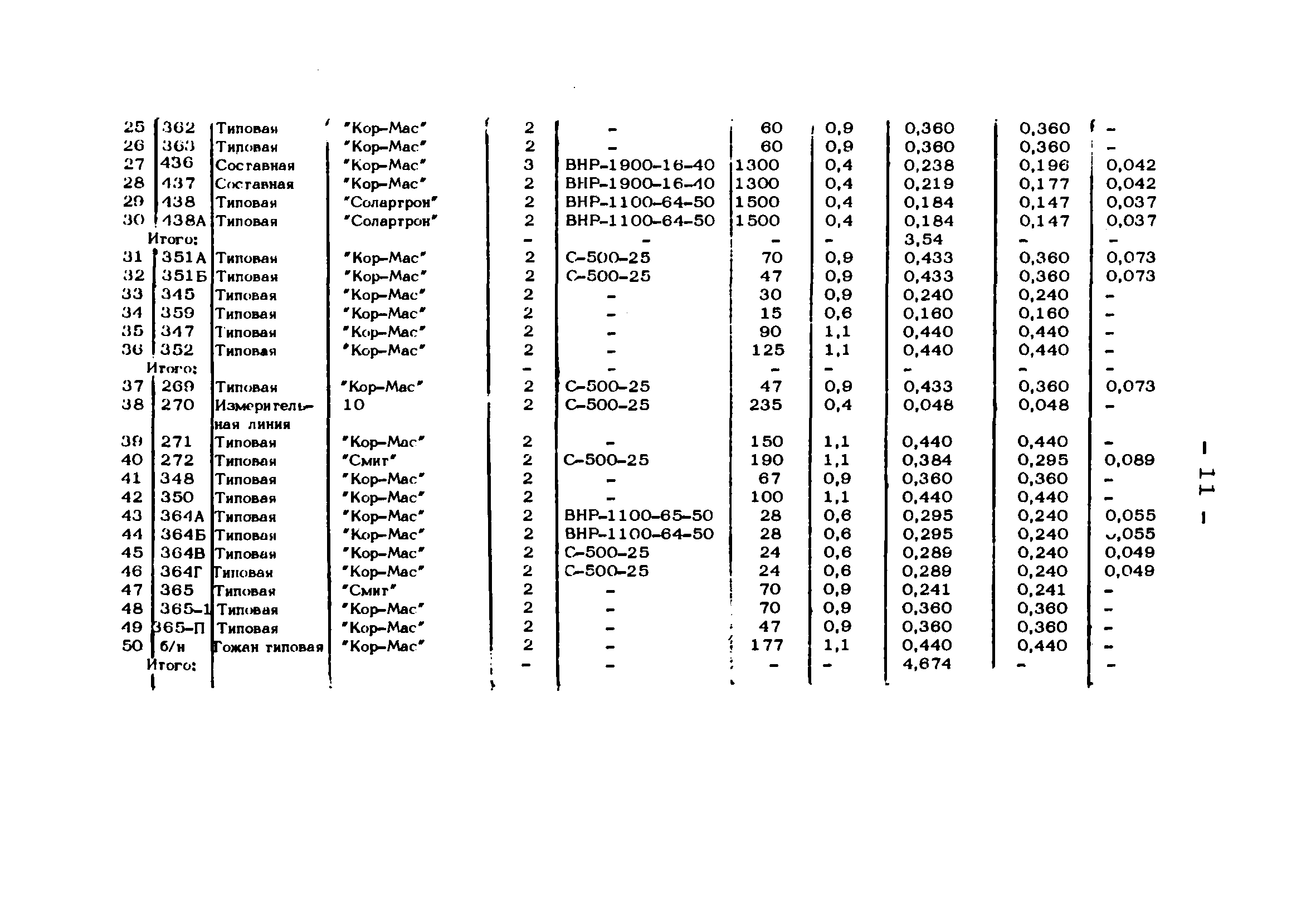
| Оглавление: | 1 Общие положения 2 Алгоритм расчета нормативов Приложение 1. Нормы времени на обслуживание СИКН и стационарных ТПУ Приложение 2. Значения коэффициентов, учитывающих условия доставки (СИКН и ТПУ) при расчете нормативов спецтранспорта Приложение 3. Расчет приведенной численности бригады по техническому обслуживанию СИКН (на примере типовой СИКН "Кор-Мас" - РД 39-5-1108-84 Приложение 4. Нормативы спецтранспорта для годового обслуживания СИКН и стационарных ТПУ Приложение 5. Норматив спецтранспорта для годового обслуживания СИКН и ТПУ по Уфимской зоне УСНМ |
| Разработан: | ВНИИОЭНГ (VNIIOENG ) ВПО Союзнефтеавтоматика |
| Утверждён: | 11.01.1985 Министерство нефтяной промышленности СССР (USSR Ministry of the Petroleum Industry ) |













