Скачать ГОСТ Р 54418.27.1-2019 Установки ветроэнергетические. Часть 27-1. Общие имитационные модели ветроэнергетических установок, присоединенных к энергосистемеДата актуализации: 01.01.2021
|
| Обозначение: | ГОСТ Р 54418.27.1-2019 |
| Обозначение англ: | GOST R 54418.27.1-2019 |
| Статус: | введен впервые |
| Название рус.: | Установки ветроэнергетические. Часть 27-1. Общие имитационные модели ветроэнергетических установок, присоединенных к энергосистеме |
| Название англ.: | Wind turbines. Part 27-1. Generic simulation models of grid connected wind turbines |
| Дата добавления в базу: | 01.01.2021 |
| Дата актуализации: | 01.01.2021 |
| Дата введения: | 01.06.2020 |
| Область применения: | Стандарт распространяется на ветроэнергетические установки (ВЭУ), присоединенные к энергосистеме, и устанавливает общие имитационные модели таких ВЭУ. Модели предназначены, прежде всего, для оценки влияния работы ВЭУ на энергосистему, для оценки изменения выходных параметров ВЭУ при возникновении возмущений в энергосистеме и изменении параметров ветроэнергетической станции (ВЭС) с учетом возможных изменений других внешних факторов (например, скорости ветра). Применение моделей ограничивается следующим*: - приведенные в стандарте модели ВЭУ предназначены для исследования поведения энергосистемы в переходных режимах с определением характеристик прямой последовательности основной частоты. - модели не предназначены для анализа результирующей устойчивости энергосистем; - модели предназначены только для исследования синхронных режимов работы (взаимодействий) ВЭУ с ВЭС (другими ВЭУ в ВЭС) и энергосистемой и не предназначены для исследования явлений, происходящих в процессе самосинхронизации до достижения полной синхронизации работы ВЭУ, ВЭС и энергосистемы; - модели не учитывают такие явления, как наличие гармонических составляющих, пульсации и другие электромагнитные эффекты (см. [1]); - модели не включают подробные расчеты режимов короткого замыкания; - модели не применимы для изучения энергосистем, в которых могут быть ситуации выделения на изолированную работу ВЭУ без других источников синхронной генерации; - в моделях не учитывают динамические характеристики устройств автоматической синхронизации фазы. - в модели ВЭУ не включено регулирование по частоте. Регулирование по частоте включено в модели уровня ВЭС (см., например, приложение А); - модели не предназначены для изучения отклонений, обусловленных изменчивостью скорости ветра во времени и пространстве: модели не включают учет таких явлений, как турбулентность, затенение ВЭУ, сдвиг ветра и вихревые возмущения; - модели не предназначены для непосредственного определения значений собственных внутренних резонансных колебаний ВЭУ. - модели применимы только к ВЭУ, поэтому не включают средства управления уровня ВЭС или такого дополнительного оборудования, как статические компенсаторы (8\/С, ЭТАТСОМ) и другие устройства, моделирование которых отнесено к моделированию ВЭС. Моделирование взаимодействия ВЭУ с устройствами управления ВЭС также отнесено к моделированию ВЭС и не включено в модели, устанавливаемые в стандарте. Модели, устанавливаемые в стандарте, являются основой для общих динамических имитационных моделей ВЭС. Порядок проверки модели, установленный в стандарте, применим для любых моделей ВЭУ, предназначенных для определения характеристик прямой последовательности основной частоты. |
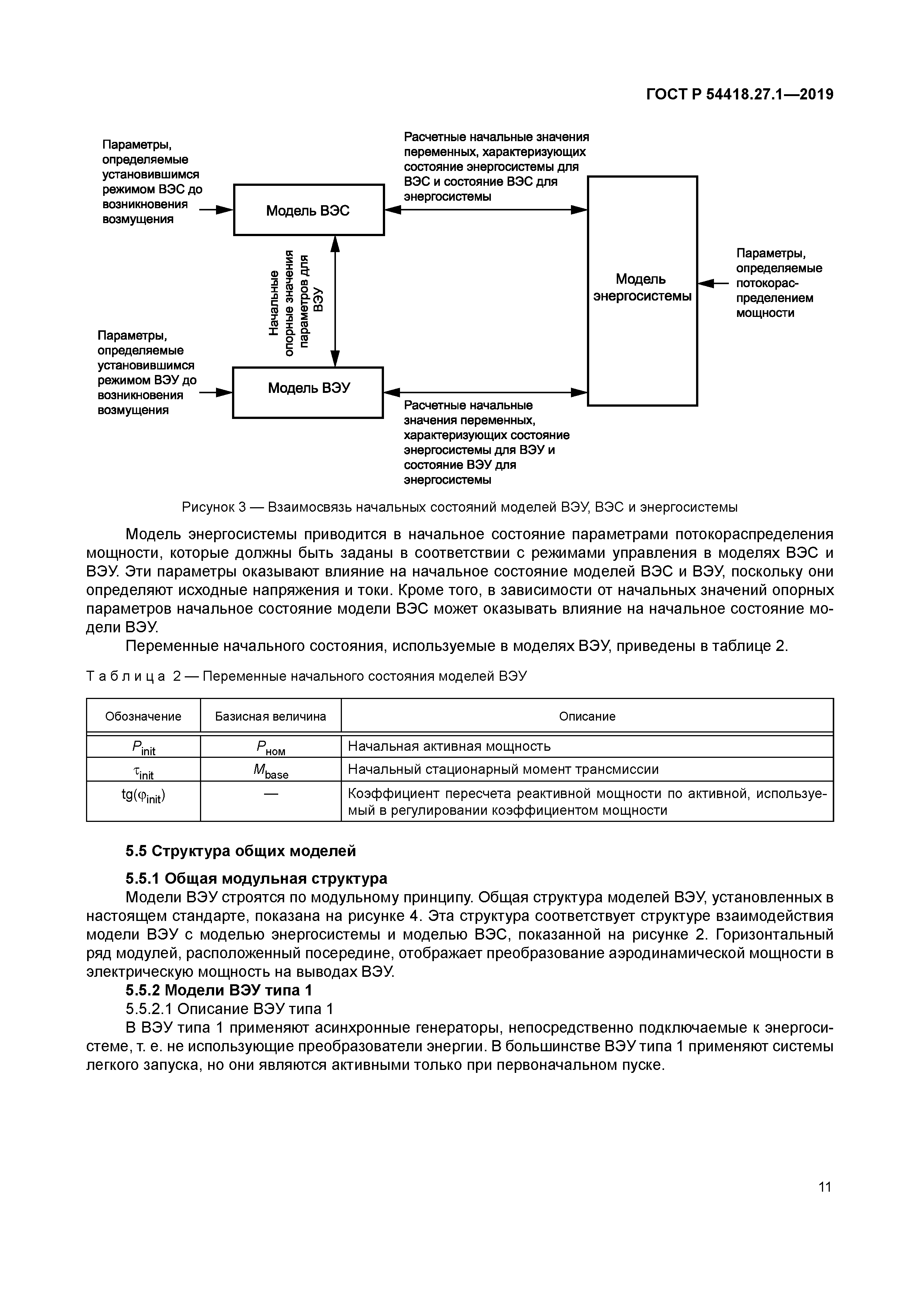
| Оглавление: | 1 Область применения 2 Нормативные ссылки 3 Термины и определения 4 Обозначения 5 Построение общих имитационных моделей ВЭУ 5.1 Типы ветроэнергетических установок 5.2 Требования к моделям 5.3 Взаимосвязь имитационной модели ВЭУ с имитационными моделями ВЭС и энергосистемы 5.4 Параметры/переменные моделей и начальное состояние 5.5 Структура общих моделей 5.6 Каталог моделей модулей ВЭУ 6 Проверка моделей 6.1 Общие положения 6.2 Общие требования 6.3 Проверка реакции модели на провалы напряжения 6.4 Проверка реакции модели на изменение опорных значений 6.5 Проверка модели защиты электрической сети Приложение А (справочное) Упрощенная модель ветроэнергетической станции Приложение В (обязательное) Каталог типовых звеньев Приложение С (справочное) Двухпараметрическая аэродинамическая модель Приложение D (обязательное) Пределы возможной точности модели Приложение Е (справочное) Пример составления отчета о проверке модели Приложение F (обязательное) Цифровой фильтр низкой частоты 2-го порядка с критическим затуханием Приложение G (справочное) Общее сопряжение программного обеспечения для применения с различными программными комплексами моделирования Приложение ДА (справочное) Сведения о соответствии ссылочных национальных и межгосударственных стандартов международным стандартам, использованным в качестве ссылочных в примененном международном стандарте Приложение ДБ (справочное) Сопоставление структуры настоящего стандарта со структурой примененного в нем международного стандарта Библиография |
| Разработан: | ООО ВИЭСХ-ВОЗОБНОВЛЯЕМЫЕ ИСТОЧНИКИ ЗНЕРГИИ (ООО ВИЭСХ-ВИЭ ) |
| Утверждён: | 29.11.2019 Федеральное агентство по техническому регулированию и метрологии (1287-ст) |
| Издан: | Стандартинформ (2020 г. ) |
| Нормативные ссылки: |
|




















































































