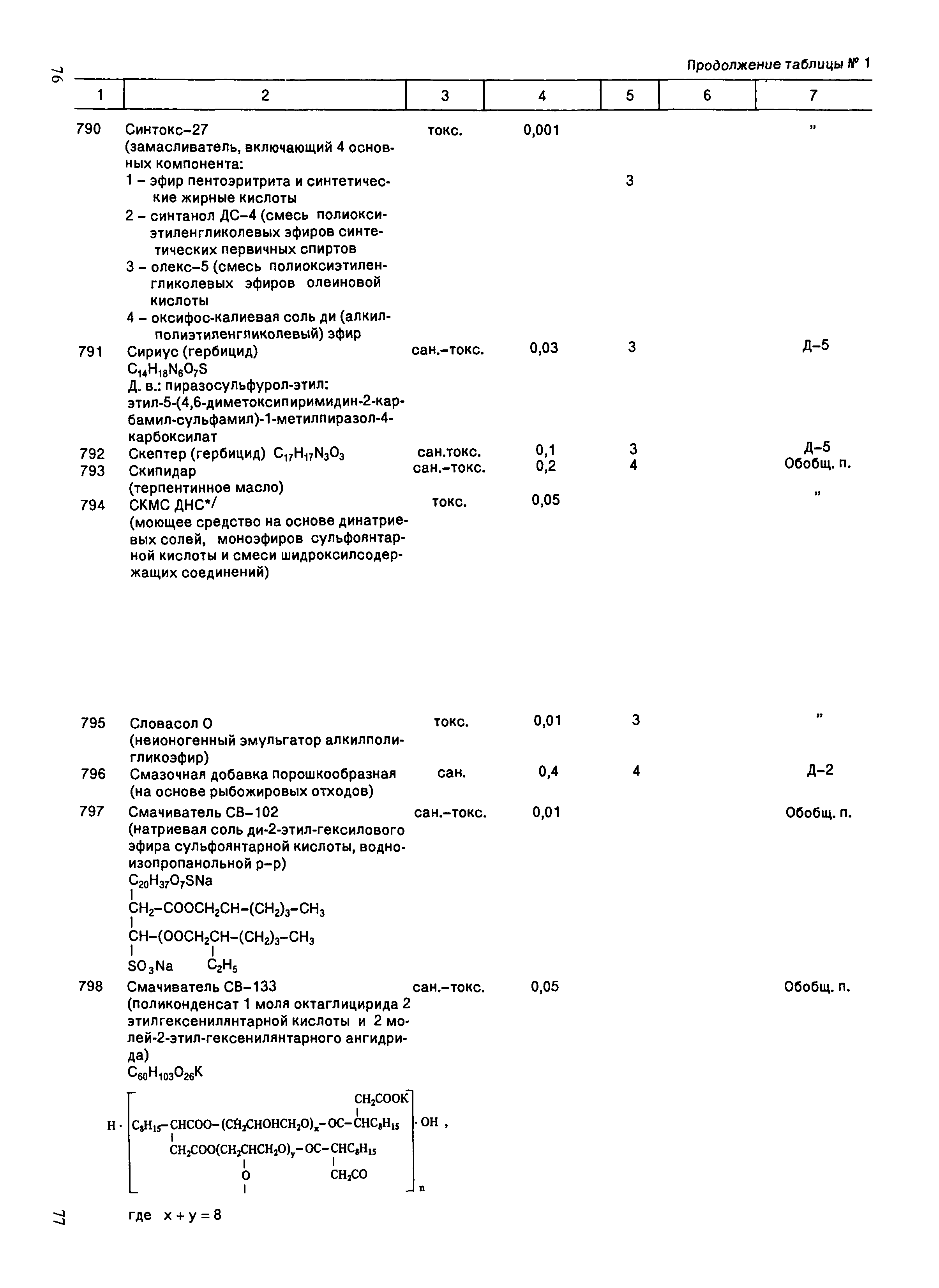
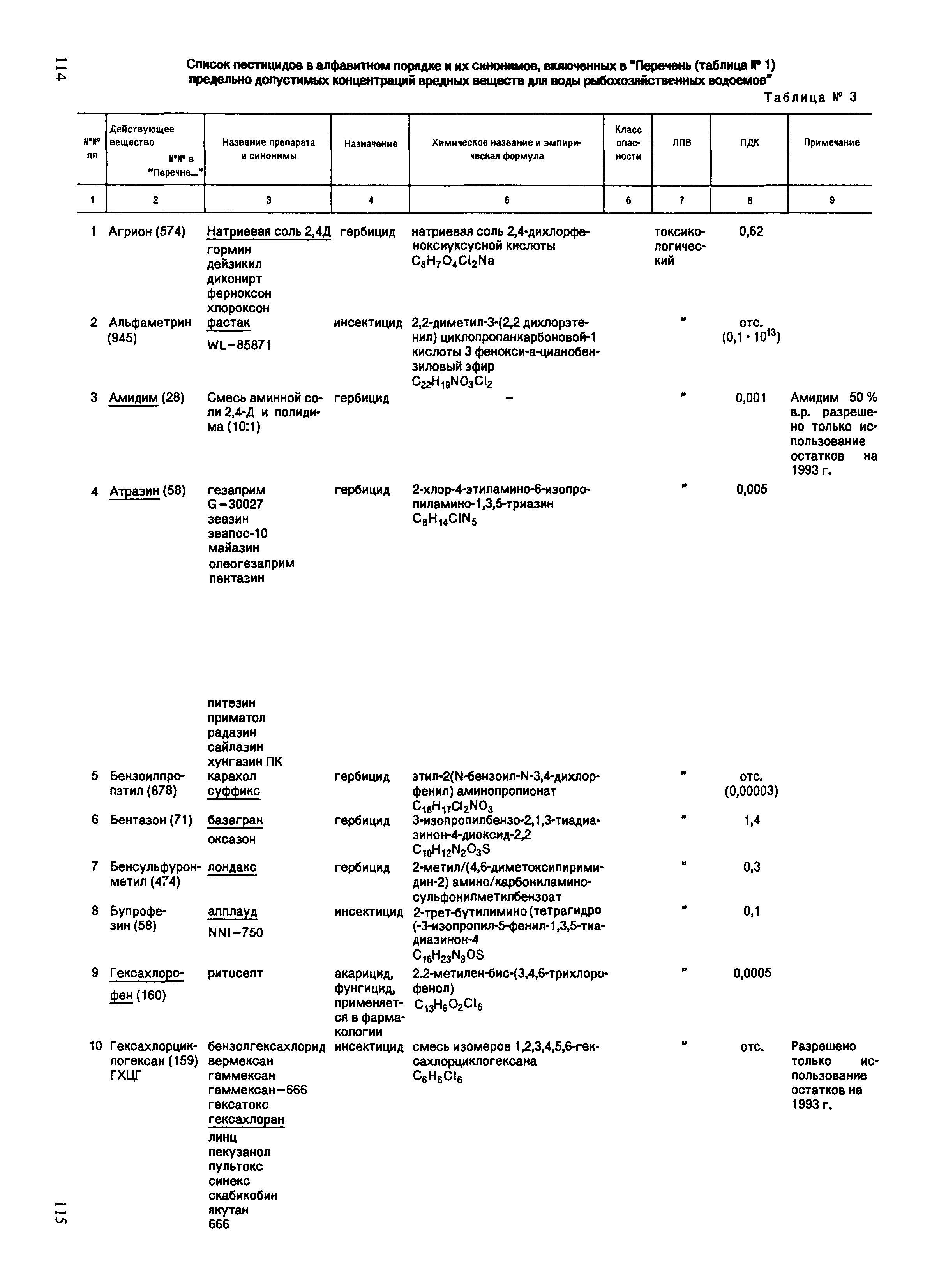
Скачать Перечень предельно допустимых концентраций и ориентировочно безопасных уровней воздействия вредных веществ для воды рыбохозяйственных водоемовДата актуализации: 01.01.2021 |
| Статус: | справочные материалы, мп, тпр |
| Название рус.: | Перечень предельно допустимых концентраций и ориентировочно безопасных уровней воздействия вредных веществ для воды рыбохозяйственных водоемов |
| Дата добавления в базу: | 01.01.2021 |
| Дата актуализации: | 01.01.2021 |
| Разработан: | ВНИРО ЦУРЭН ГНИБПиТ ГосНИОРХа ЦСИ Минприроды России Росрыбвод |
| Утверждён: | 31.12.1992 Комитет Российской Федерации по рыболовству (54) |
| Издан: | Колос (1993 г. ) |
| Нормативные ссылки: |
|











































































