Скачать НЦС 81-02-14-2020 Сборник 14. Наружные сети водоснабжения и канализации. Государственные сметные нормативы. Укрупненные нормативы цены строительстваДата актуализации: 01.01.2021
|
| Обозначение: | НЦС 81-02-14-2020 |
| Обозначение англ: | 81-02-14-2020 |
| Статус: | взамен |
| Название рус.: | Сборник 14. Наружные сети водоснабжения и канализации. Государственные сметные нормативы. Укрупненные нормативы цены строительства |
| Дата добавления в базу: | 01.01.2021 |
| Дата актуализации: | 01.01.2021 |
| Дата введения: | 01.01.2020 |
| Область применения: | Укрупненные нормативы цены строительства, приведенные в сборнике, предназначены для определения потребности в денежных средствах, необходимых для создания единицы мощности строительной продукции, для планирования (обоснования) инвестиций (капитальных вложений) в объекты капитального строительства и иных целей, установленных законодательством Российской Федерации по прокладке наружных сетей водоснабжения и канализации, строительство которых финансируется с привлечением средств бюджетов бюджетной системы Российской Федерации, средств юридических лиц, созданных Российской Федерацией, субъектами Российской Федерации, муниципальными образованиями, юридических лиц, доля в уставных (складочных) капиталах которых Российской Федерации, субъектов Российской Федерации, муниципальных образований составляет более 50 процентов. |
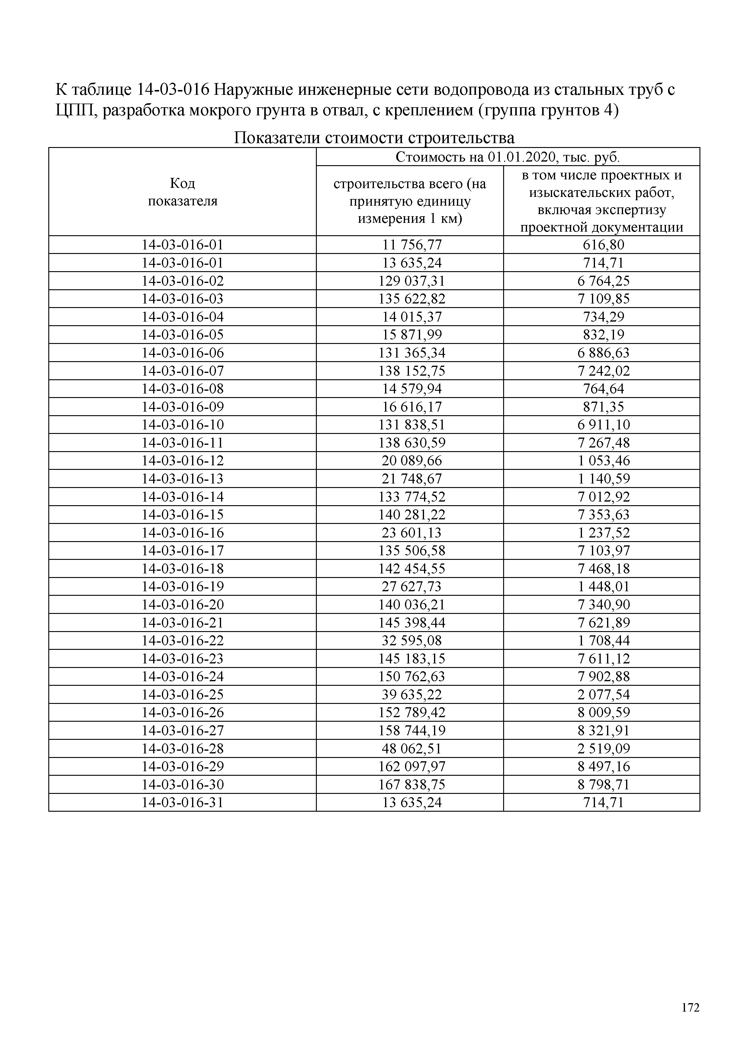
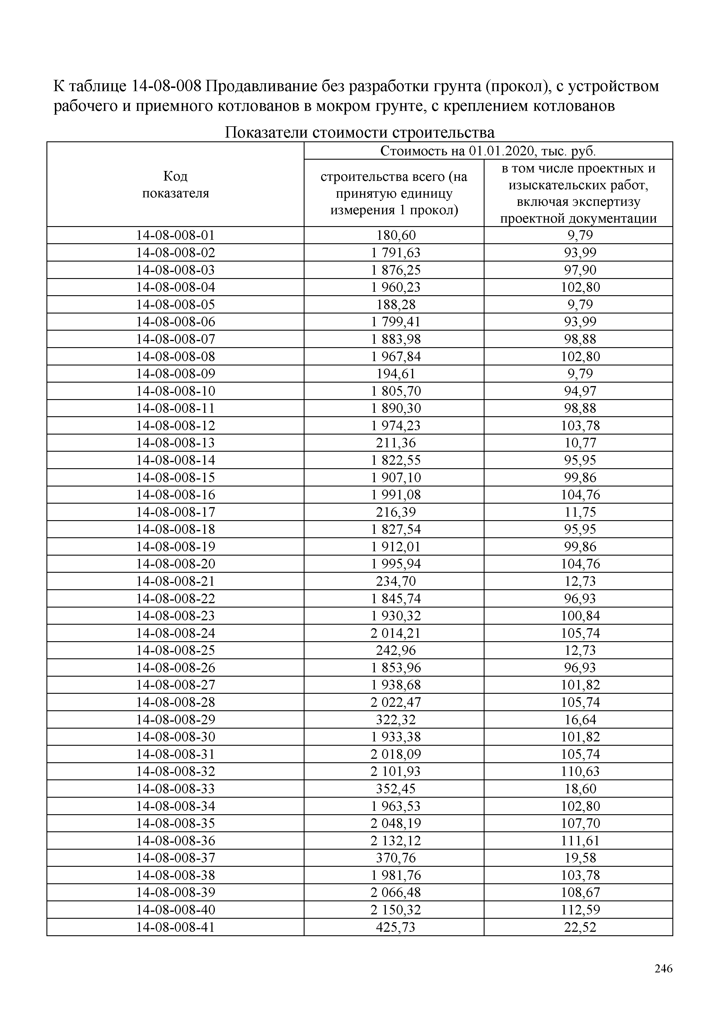
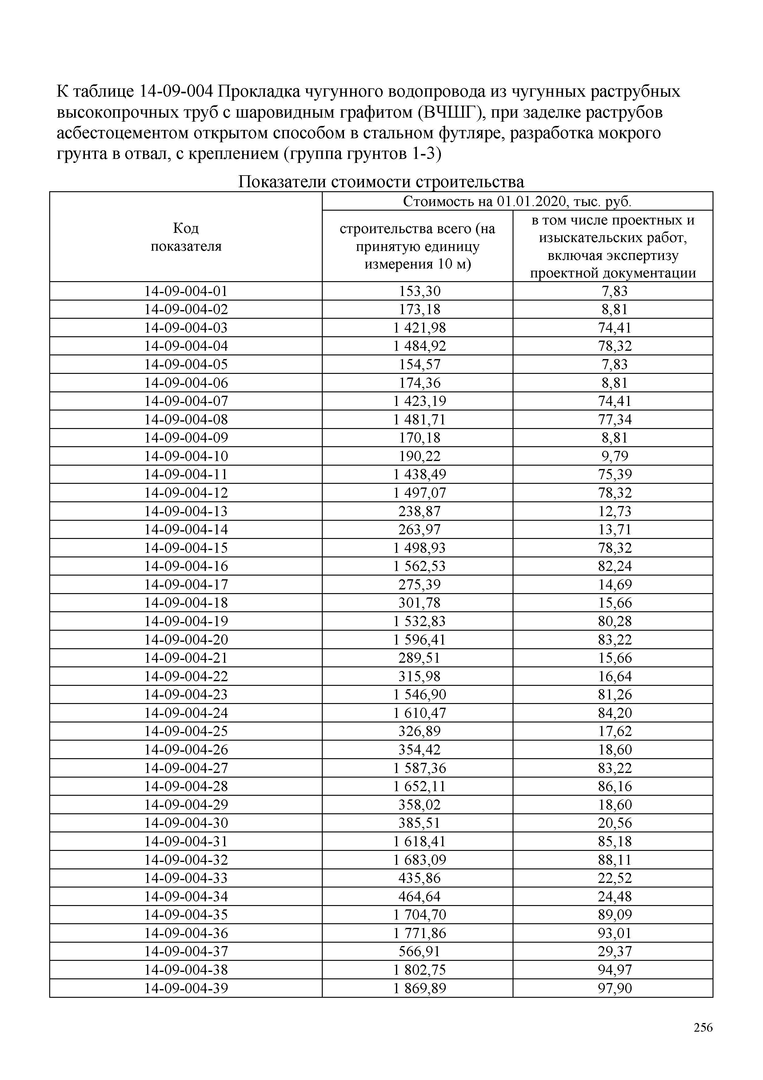
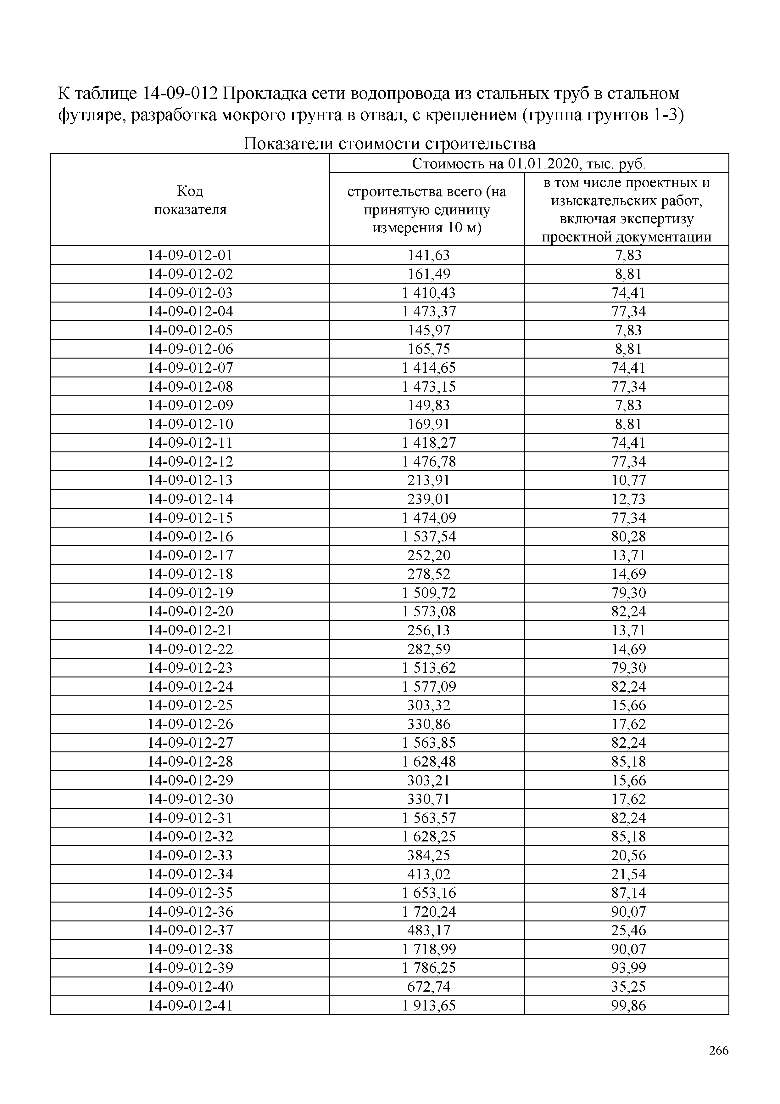
| Оглавление: | 1 Общие указания Отдел 1. Показатели укрупненного норматива цены строительства Раздел 1. Наружные инженерные сети водоснабжения из чугунных труб Раздел 2. Наружные инженерные сети канализации из чугунных труб Раздел 3. Наружные инженерные сети водоснабжения из стальных труб Раздел 4. Наружные инженерные сети водоснабжения из железобетонных труб Раздел 5. Наружные инженерные сети канализации из железобетонных труб Раздел 6. Наружные инженерные сети водоснабжения из полиэтиленовых труб Раздел 7. Наружные инженерные сети канализации из полиэтиленовых труб Раздел 8. Наружные инженерные сети. Закрытая проходка Раздел 9. Наружные инженерные сети. Прокладка водоснабжения и канализации в футляре Отдел 2. Дополнительная информация Раздел 1. Наружные инженерные сети водоснабжения из чугунных труб Раздел 2. Наружные инженерные сети канализации из чугунных труб Раздел 3. Наружные инженерные сети водоснабжения из стальных труб Раздел 4. Наружные инженерные сети водоснабжения из железобетонных труб Раздел 5. Наружные инженерные сети канализации из железобетонных труб Раздел 6. Наружные инженерные сети водоснабжения из полиэтиленовых труб Раздел 7. Наружные инженерные сети канализации из полиэтиленовых труб Раздел 8. Наружные инженерные сети. Закрытая проходка Раздел 9. Наружные инженерные сети. Прокладка водоснабжения и канализации в футляре |
| Утверждён: | 30.12.2019 Минстрой России (Russian Federation Minstroy 918/пр) |
| Издан: | Сайт: (2020 г. ) |
| Заменяет собой: | |
| Нормативные ссылки: |
|

















































































































































































































































































