Скачать ФЕРм 81-03-12-2001 Сборник 12. Технологические трубопроводы (2020). Федеральные единичные расценки на монтаж оборудованияДата актуализации: 01.01.2021
|
| Обозначение: | ФЕРм 81-03-12-2001 |
| Обозначение англ: | FERm 81-03-12-2001 |
| Статус: | взамен |
| Название рус.: | Сборник 12. Технологические трубопроводы (2020). Федеральные единичные расценки на монтаж оборудования |
| Дата добавления в базу: | 01.01.2021 |
| Дата актуализации: | 01.01.2021 |
| Дата введения: | 31.03.2020 |
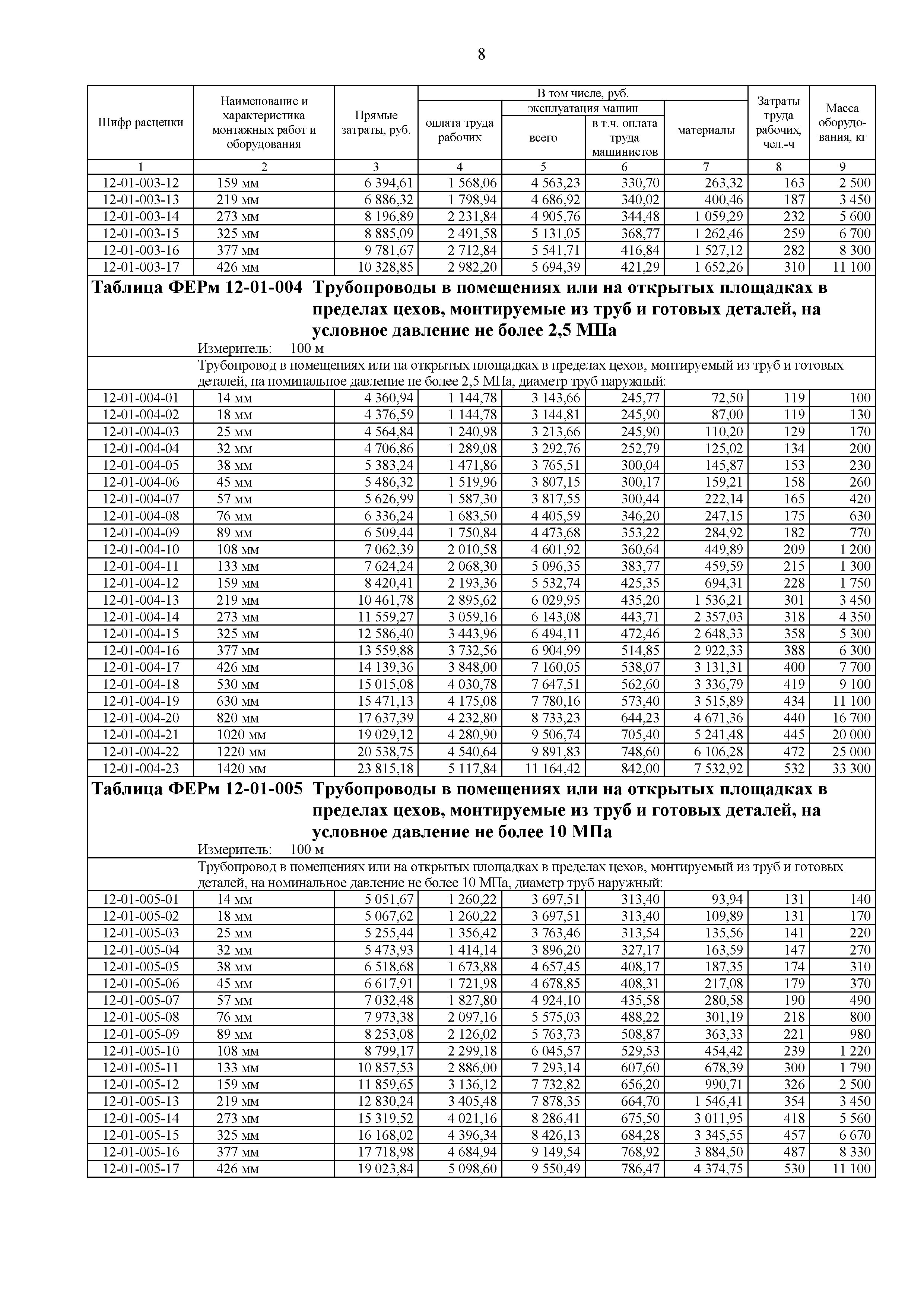
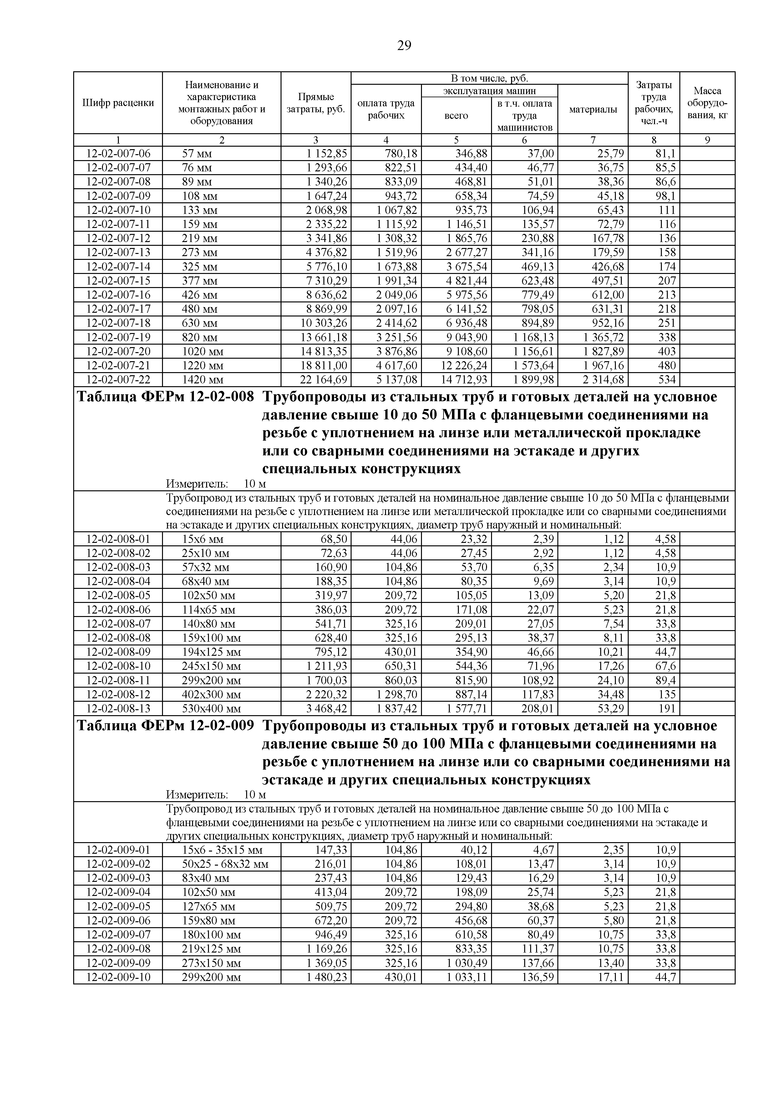
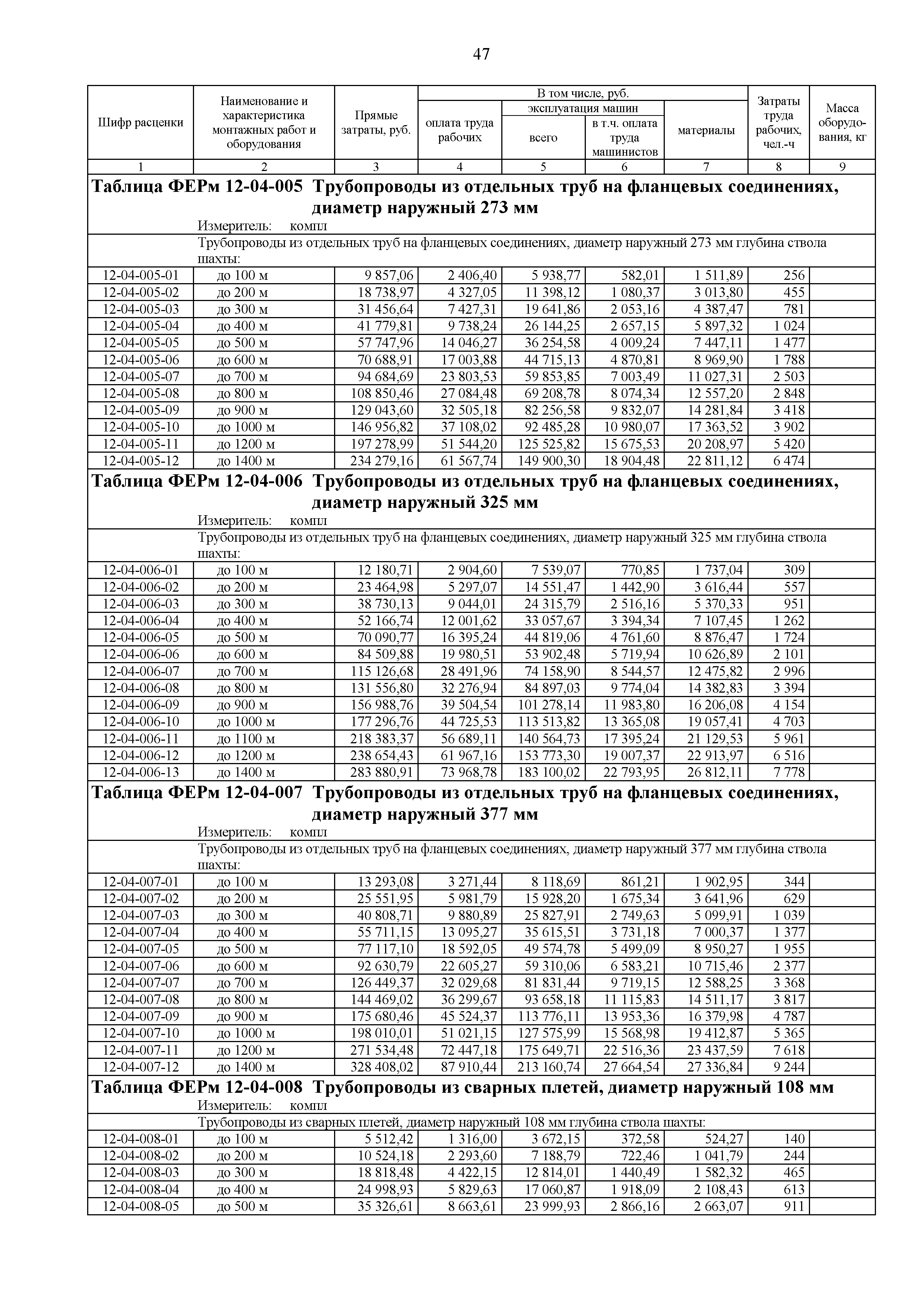
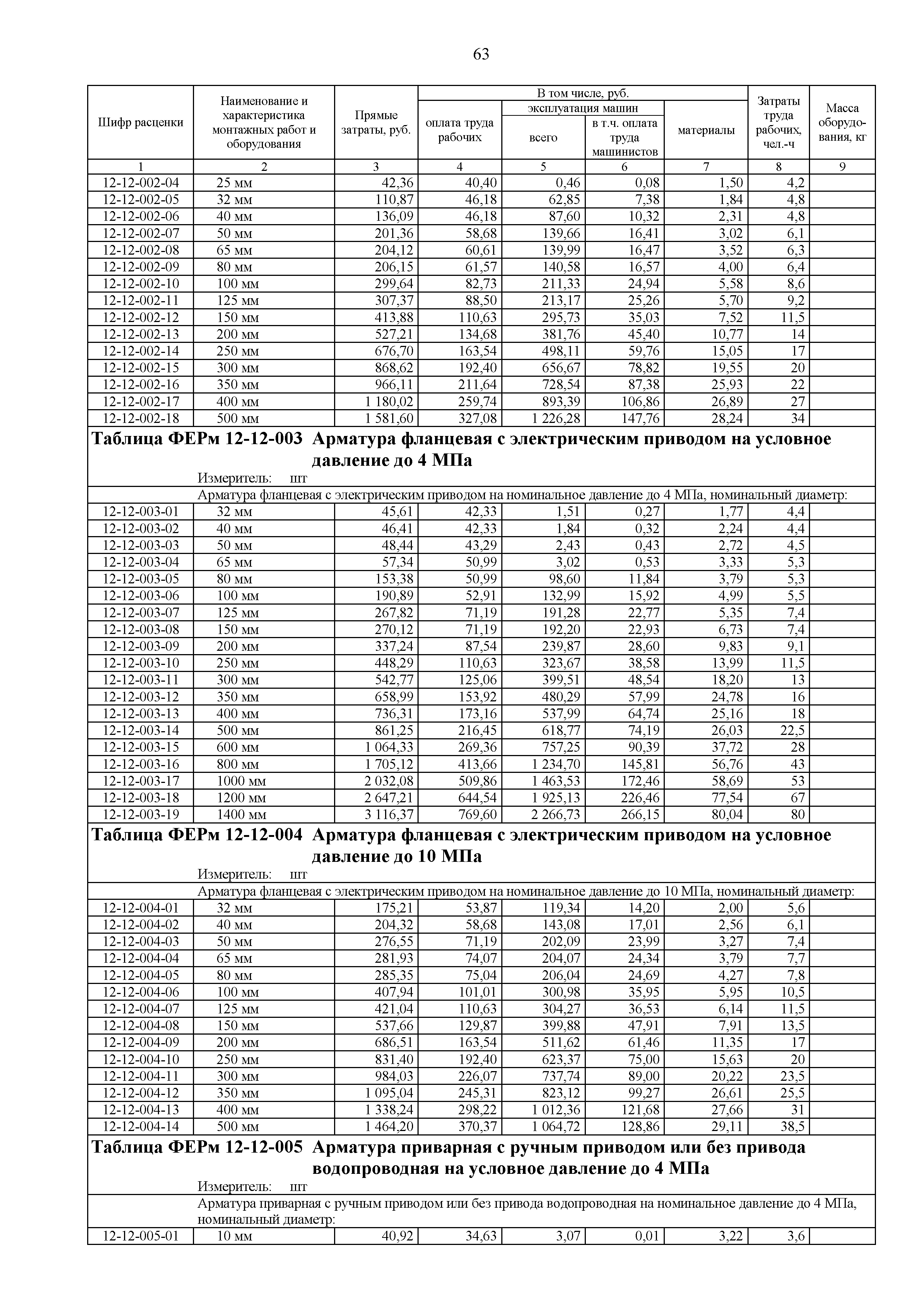
| Область применения: | В ФЕРм сборника 12 учтены вспомогательные ненормируемые материальные ресурсы для производства монтажных работ в размере 2 % от затрат труда рабочих, учтенных расценками. ФЕРм сборника 12 «Технологические трубопроводы» предназначены для определения затрат на монтаж технологических трубопроводов, к которым относятся трубопроводы, предназначенные для транспортирования в пределах промышленного предприятия или группы предприятий сырья, полуфабрикатов, готового продукта, вспомогательных материалов, обеспечивающих ведение технологического процесса и эксплуатацию оборудования (пар, вода, воздух, газы, хладагенты, мазут, смазки, эмульсии и т.д.), отходов производства при агрессивных стоках, а также трубопроводы оборотного водоснабжения и автоматического пожаротушения |
| Оглавление: | I. Общие положения III. Федеральные единичные расценки на монтаж оборудования Отдел 1. Трубопроводы технологические цеховые Раздел 1. Трубопроводы из труб углеродистых и качественных сталей Раздел 2. Трубопроводы из труб легированных и высоколегированных сталей Раздел 3. Трубопроводы из алюминиевых труб Раздел 4. Трубопроводы из медных и латунных труб Раздел 5. Трубопроводы из свинцовых труб Раздел 6. Трубопроводы из чугунных труб Раздел 7. Трубопроводы из керамических и фарфоровых труб Раздел 8. Трубопроводы из пластмассовых труб Отдел 2. Трубопроводы технологические межцеховые Раздел 1. Трубопроводы из труб углеродистых и качественных сталей Раздел 2. Трубопроводы из алюминиевых труб Раздел 3. Трубопроводы из медных и латунных труб Раздел 4. Трубопроводы из свинцовых труб Раздел 5. Трубопроводы из чугунных труб Раздел 6. Трубопроводы из керамических й фарфоровых труб Раздел 7. Трубопроводы из пластмассовых труб Раздел 8. Трубопроводы из труб легированных и высоколегированных сталей Отдел 3. Трубопроводы внутристанционные тепловых электростанций Раздел 1. Трубопроводы из деталей Раздел 2. Трубопроводы из узлов и блоков сварных Отдел 4. Трубопроводы шахтные Раздел 1. Трубопроводы стальные в стволе шахты Раздел 2. Трубопроводы стальные в горизонтальных и наклонных выработках Раздел 3. Трубопроводы стальные водоотливных установок Раздел 4. Трубопроводы проходческие в стволе шахты Отдел 5. Трубопроводы молочных, молочно-консервных, маслодельных и сыродельных заводов на быстроразъемных соединениях Отдел 7. Трубные проводки систем автоматизации Раздел 1. Трубные проводки из труб углеродистых и низколегированных сталей Раздел 2. Трубные проводки из труб легированных и коррозионностойких сталей Раздел 3. Трубные проводки из труб цветных металлов Раздел 4. Трубные проводки из пластмассовых труб и пневматических кабелей, коробки соединительные для пневмокабелей КС-7 и КС-14 Отдел 8. Трубопроводы и арматура установок автоматического пожаротушения Отдел 9. Компенсаторы и смотровые фонари Раздел 1. Компенсаторы стальные линзовые и сальниковые Раздел 2. Компенсаторы волнистые из углеродистых качественных, легированных, коррозионно-стойких и жаростойких сталей Отдел 10. Закладные и отборные устройства систем автоматизации Раздел 1. Закладные устройства систем автоматизации Отдел 11. Разные работы, связанные с монтажом трубопроводов Отдел 12. Арматура общего назначения Раздел 1. Арматура фланцевая, приварная, муфтовая Раздел 2. Арматура газовой промышленности Раздел 3. Арматура аммиачная Отдел 13. Арматура тепловых электростанций Раздел 1. Арматура запорная, регулирующая и дросселирующая Раздел 2. Арматура предохранительная Раздел 3. Арматура водоподготовительных установок и химводоочисток Отдел 14. Арматура для кислородных установок Раздел 1. Вентили латунные Раздел 2. Вентили стальные Раздел 3. Задвижки стальные Раздел 4. Заслонки стальные Раздел 5. Клапаны латунные, стальные и чугунные Отдел 15. Приводы дистанционные Отдел 16. Трубопроводы систем пластичной смазки Отдел 17. Маслопроводы оборудования тепловых электростанций Отдел 18. Изготовление узлов и секции трубопроводов Раздел 1. Изготовление узлов трубопроводов Раздел 2. Изготовление секций трубопроводов Отдел 20. Трубопроводы нефтегазоперерабатывающего комплекса Раздел 1. Трубопроводы из труб углеродистой и качественной стали Отдел 21. Арматура для объектов магистрального трубопроводного транспорта нефти и нефтепродуктов IV. Приложения |
| Утверждён: | 26.12.2019 Министерство строительства и жилищно-коммунального хозяйства Российской Федерации (876/пр) |
| Список изменений: |
|
| Заменяет собой: |





































































































































Текстовое изменение № от 01.07.2020
Текстовое изменение № от 01.07.2020


