Скачать ФЕРм 81-03-39-2001 Сборник 39. Контроль монтажных сварных соединений (2020). Федеральные единичные расценки на монтаж оборудованияДата актуализации: 01.01.2021
|
| Обозначение: | ФЕРм 81-03-39-2001 |
| Обозначение англ: | FERm 81-03-39-2001 |
| Статус: | действует |
| Название рус.: | Сборник 39. Контроль монтажных сварных соединений (2020). Федеральные единичные расценки на монтаж оборудования |
| Дата добавления в базу: | 01.01.2021 |
| Дата актуализации: | 01.01.2021 |
| Дата введения: | 31.03.2020 |
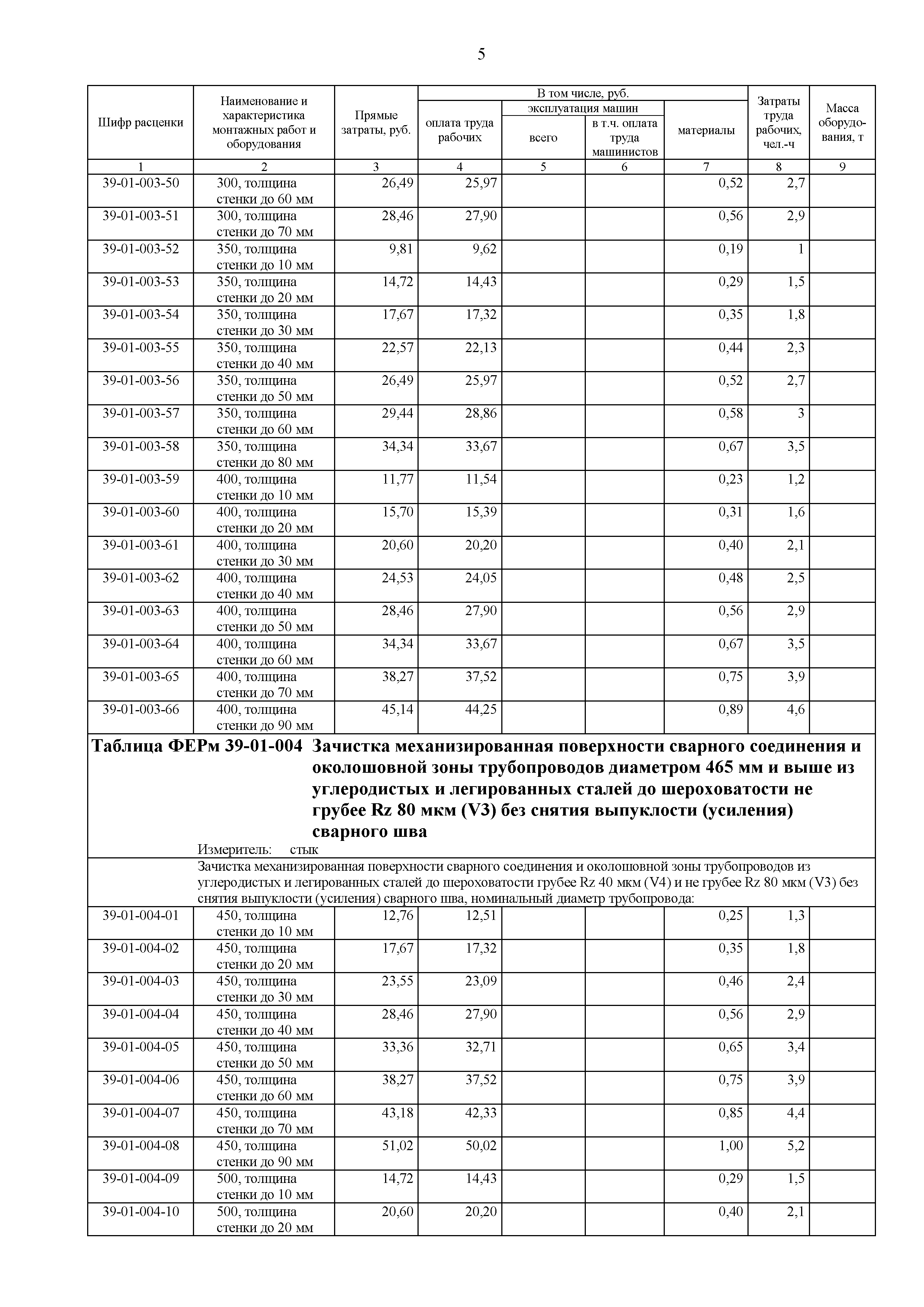
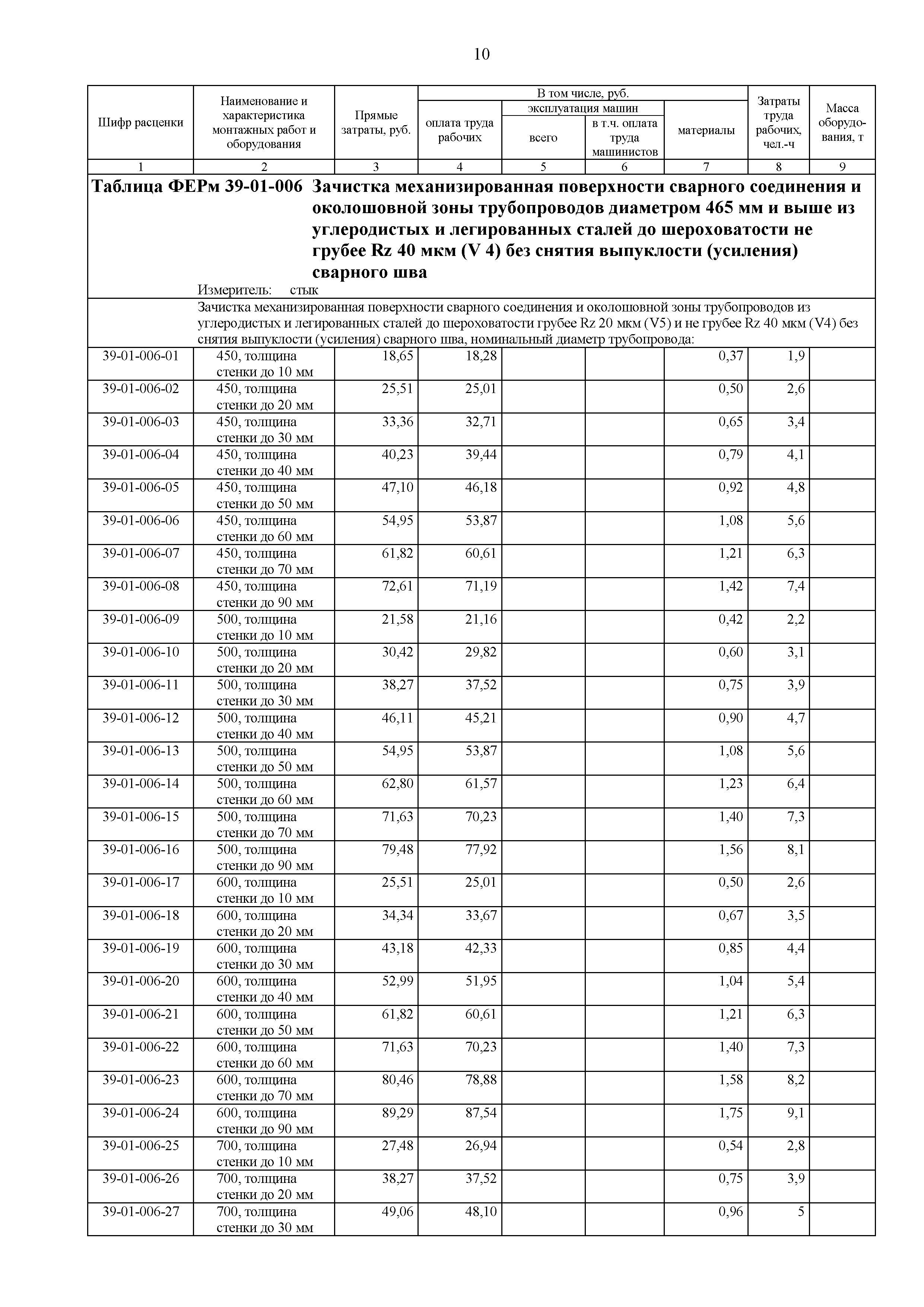
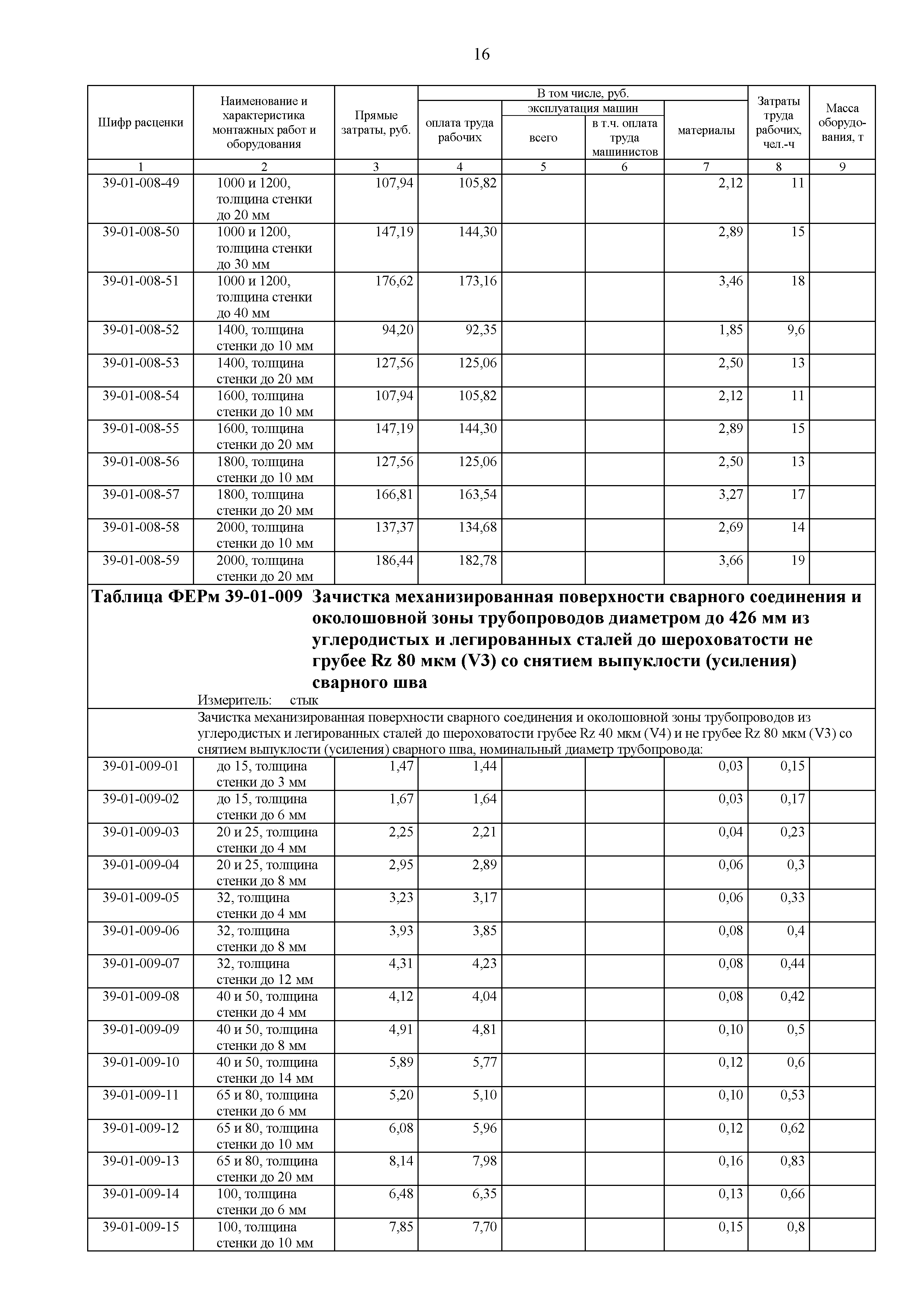
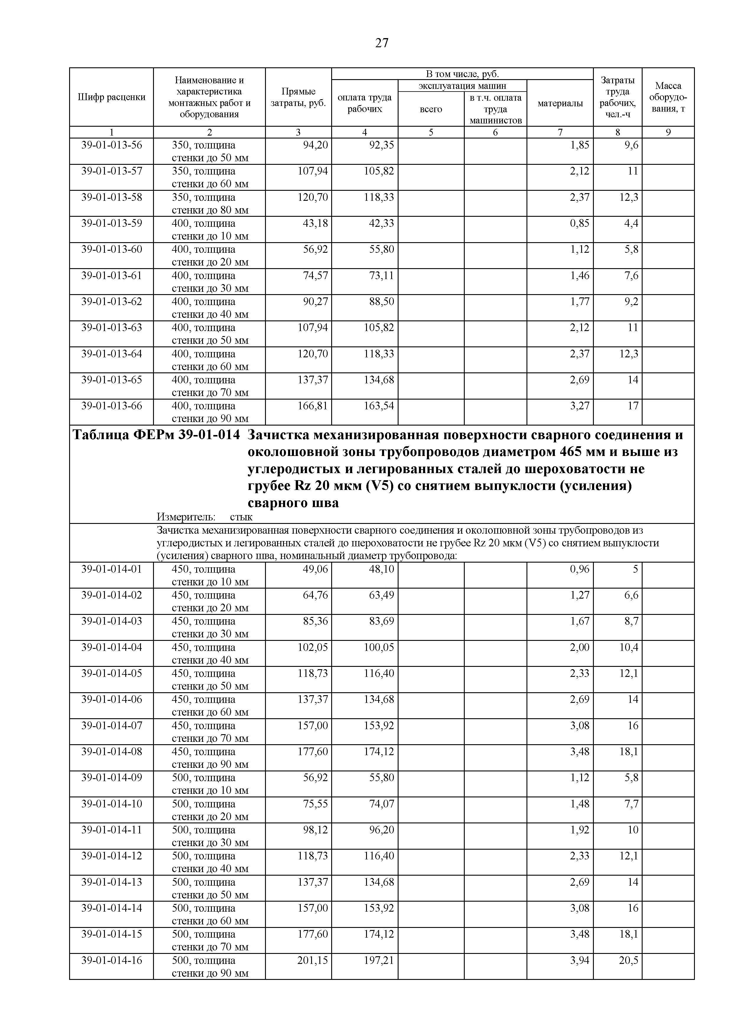
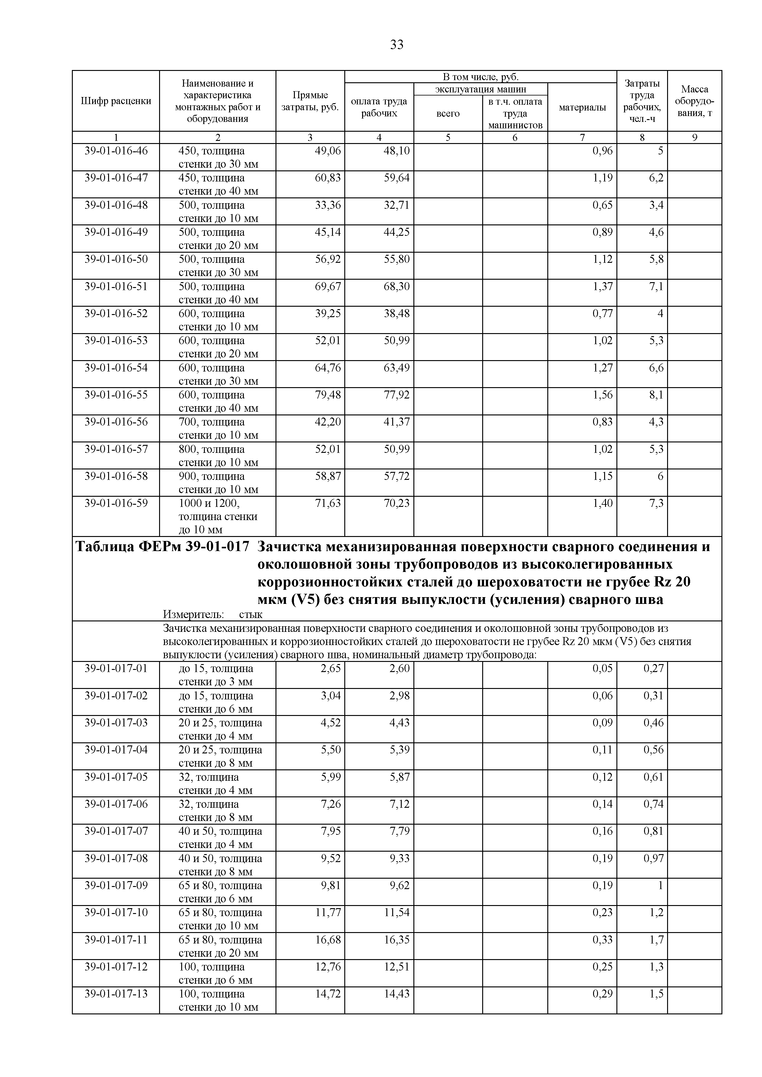
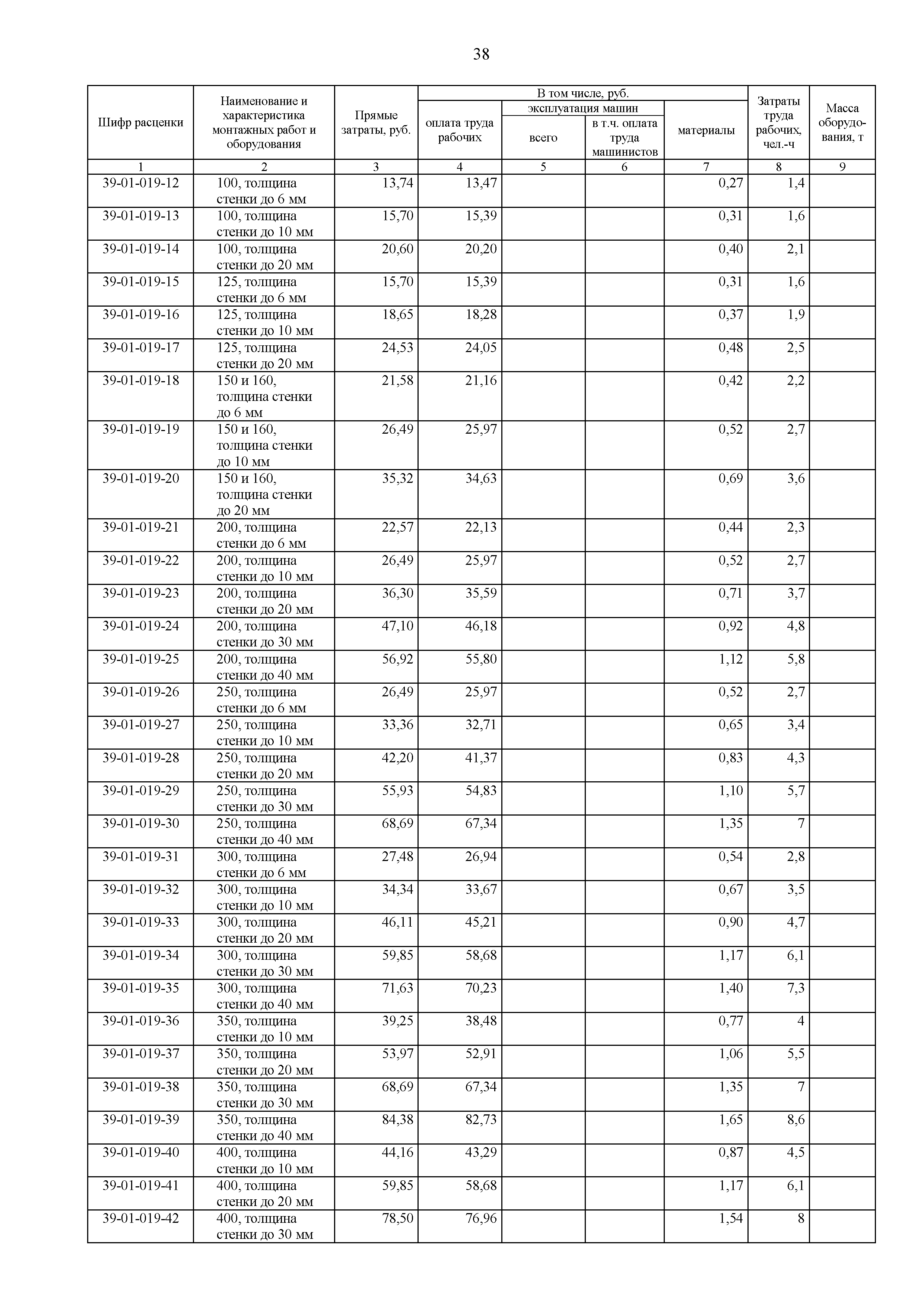
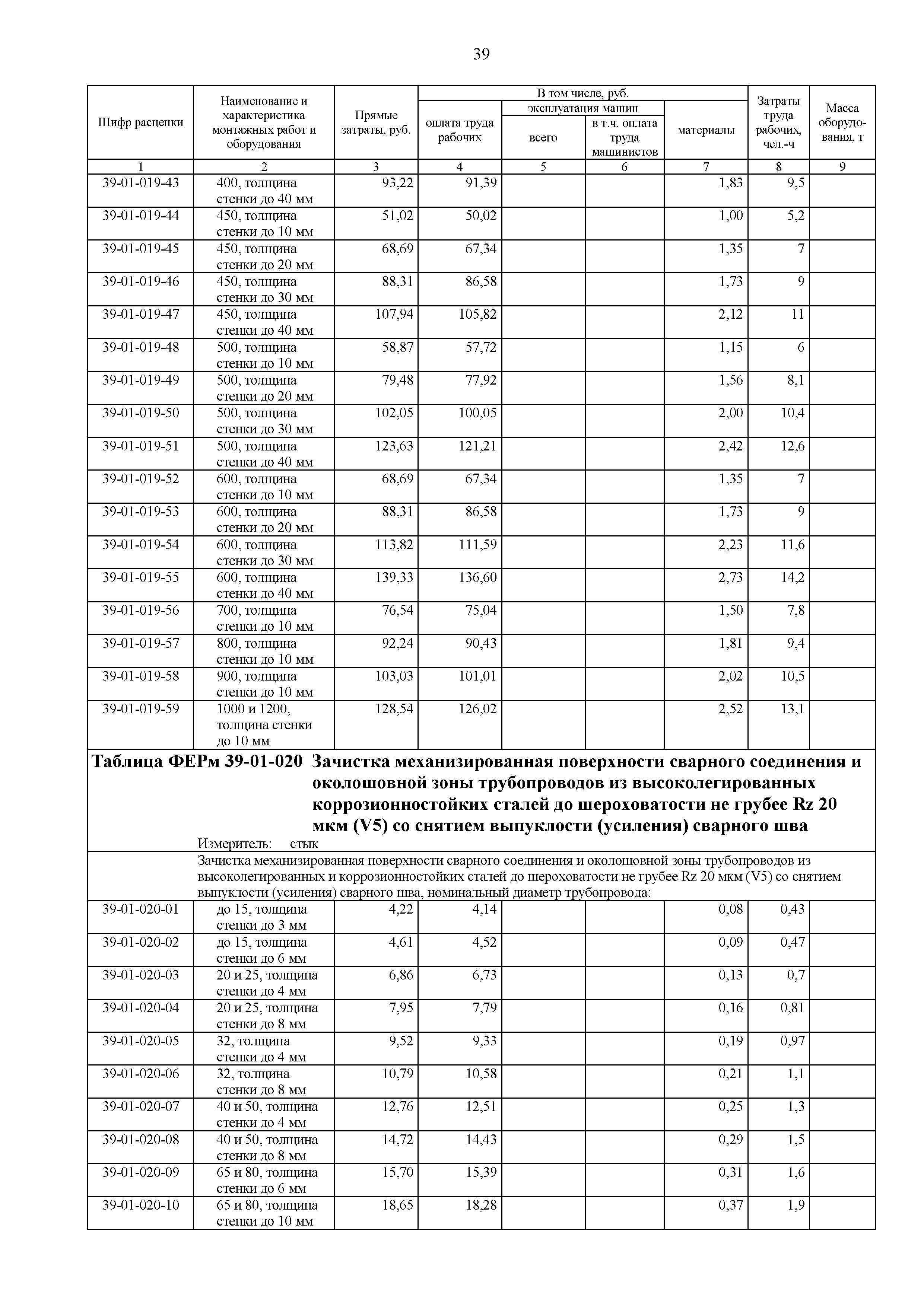
| Область применения: | В ФЕРм сборника 39 учтены вспомогательные ненормируемые материальные ресурсы для производства монтажных работ в размере 2 % от затрат труда рабочих, учтенных расценками. ФЕРм сборника 39 «Контроль монтажных сварных соединений» предназначены для определения затрат на подготовку к контролю монтажных сварных соединений и околошовной зоны; контролю монтажных сварных соединений неразрушающими методами; операционному контролю качества сварных соединений |
| Оглавление: | I. Общие положения III. Федеральные единичные расценки на монтаж оборудования Отдел 1. Подготовка к контролю поверхности монтажных сварных соединений и околошовной зоны Отдел 2. Контроль монтажных сварных соединений неразрушающими методами Отдел 6. Операционный контроль IV. Приложения |
| Утверждён: | 26.12.2019 Министерство строительства и жилищно-коммунального хозяйства Российской Федерации (Минстрой России) (876/пр) |
| Издан: | С сайта: (2020 г. ) |
| Список изменений: |
|






































































Текстовое изменение № от 01.07.2020
Текстовое изменение № от 01.07.2020

