Скачать ФСЭМ 81-01-2001 Расценки на эксплуатацию строительных машин и автотранспортных средств (2020)Дата актуализации: 01.01.2021
|
| Обозначение: | ФСЭМ 81-01-2001 |
| Обозначение англ: | 81-01-2001 |
| Статус: | действует |
| Название рус.: | Расценки на эксплуатацию строительных машин и автотранспортных средств (2020) |
| Дата добавления в базу: | 01.01.2021 |
| Дата актуализации: | 01.01.2021 |
| Дата введения: | 31.03.2020 |
| Область применения: | Государственные сметные нормативы «Федеральные сметные расценки на эксплуатацию строительных машин и автотранспортных средств» разработаны в базисном уровне цен по состоянию на 1 января 2000 года и предназначены для определения сметной стоимости строительства, реконструкции и капитального ремонта объектов капитального строительства, финансируемых с привлечением средств бюджетов бюджетной системы Российской Федерации, средств юридических лиц, созданных Российской Федерацией, субъектами Российской Федерации, муниципальными образованиями, юридических лиц, доля в уставных (складочных) капиталах которых Российской Федерации, субъектов Российской Федерации, муниципальных образований составляет более 50 процентов, а также сметной стоимости капитального ремонта многоквартирного дома, осуществляемого полностью или частично за счет средств регионального оператора, товарищества собственников жилья, жилищного, жилищно-строительного кооператива или иного специализированного потребительского кооператива либо средств собственников помещений в многоквартирном доме, а также для разработки единичных расценок, включенных в сборники ФЕР-2001. |
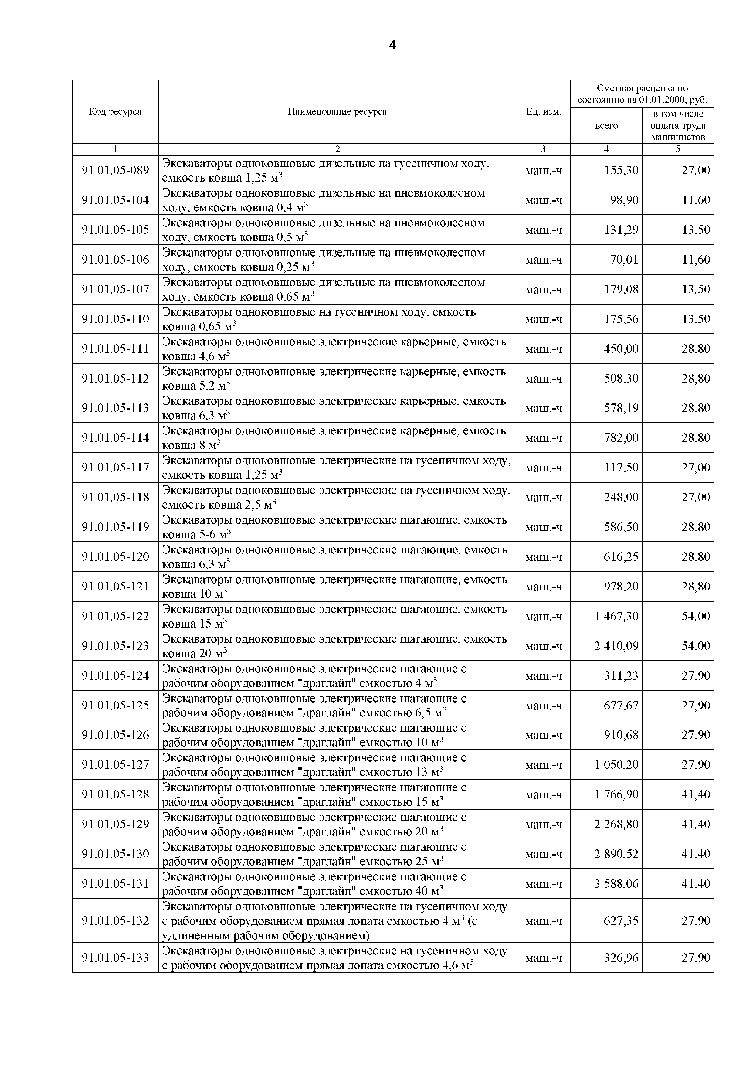
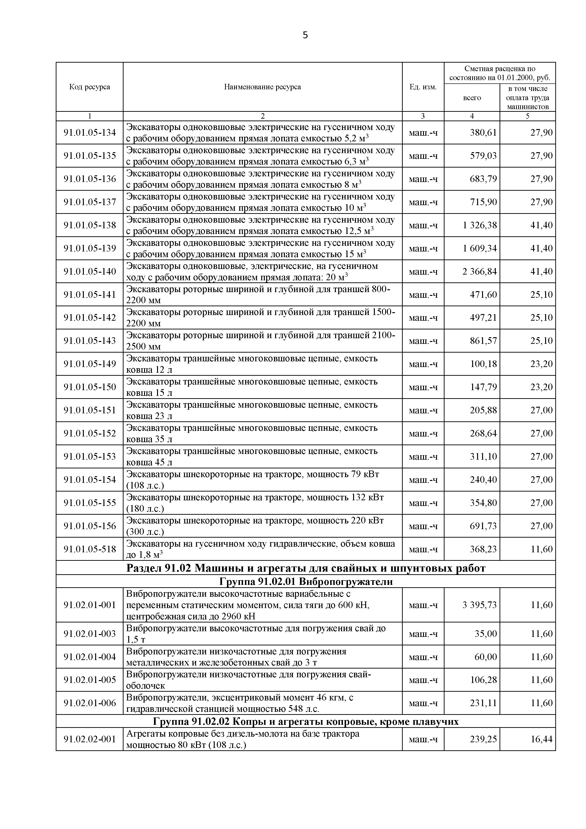
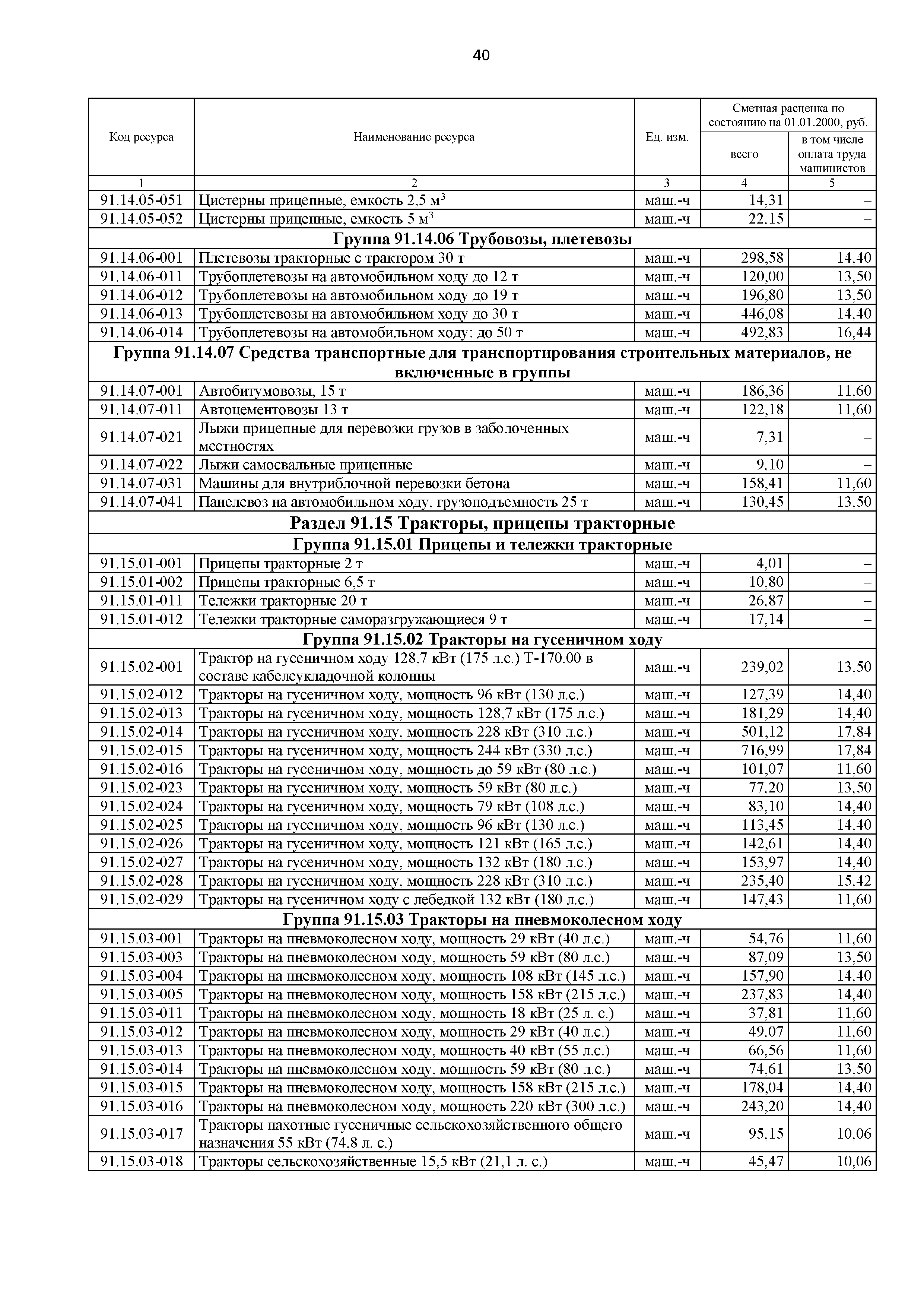
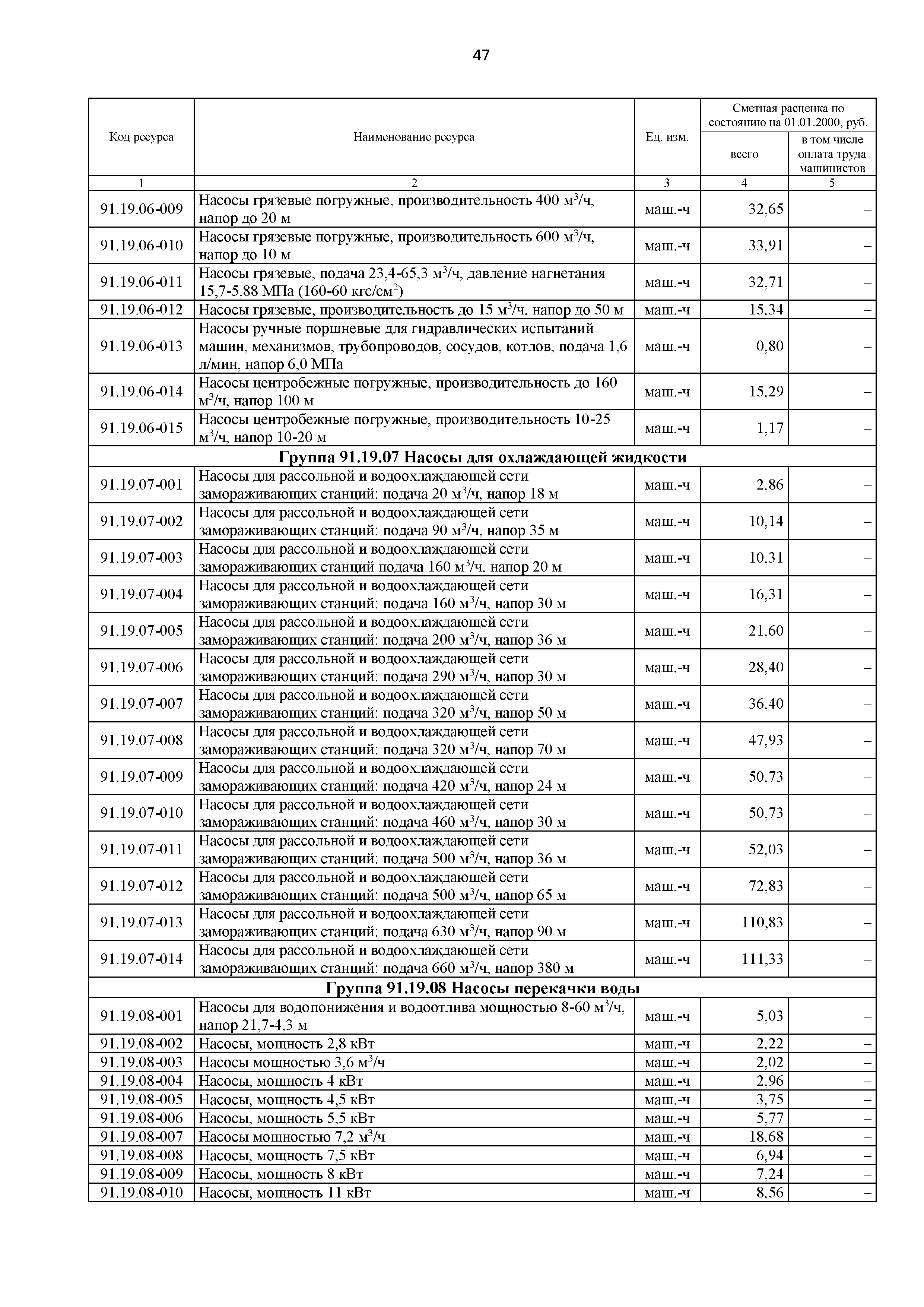
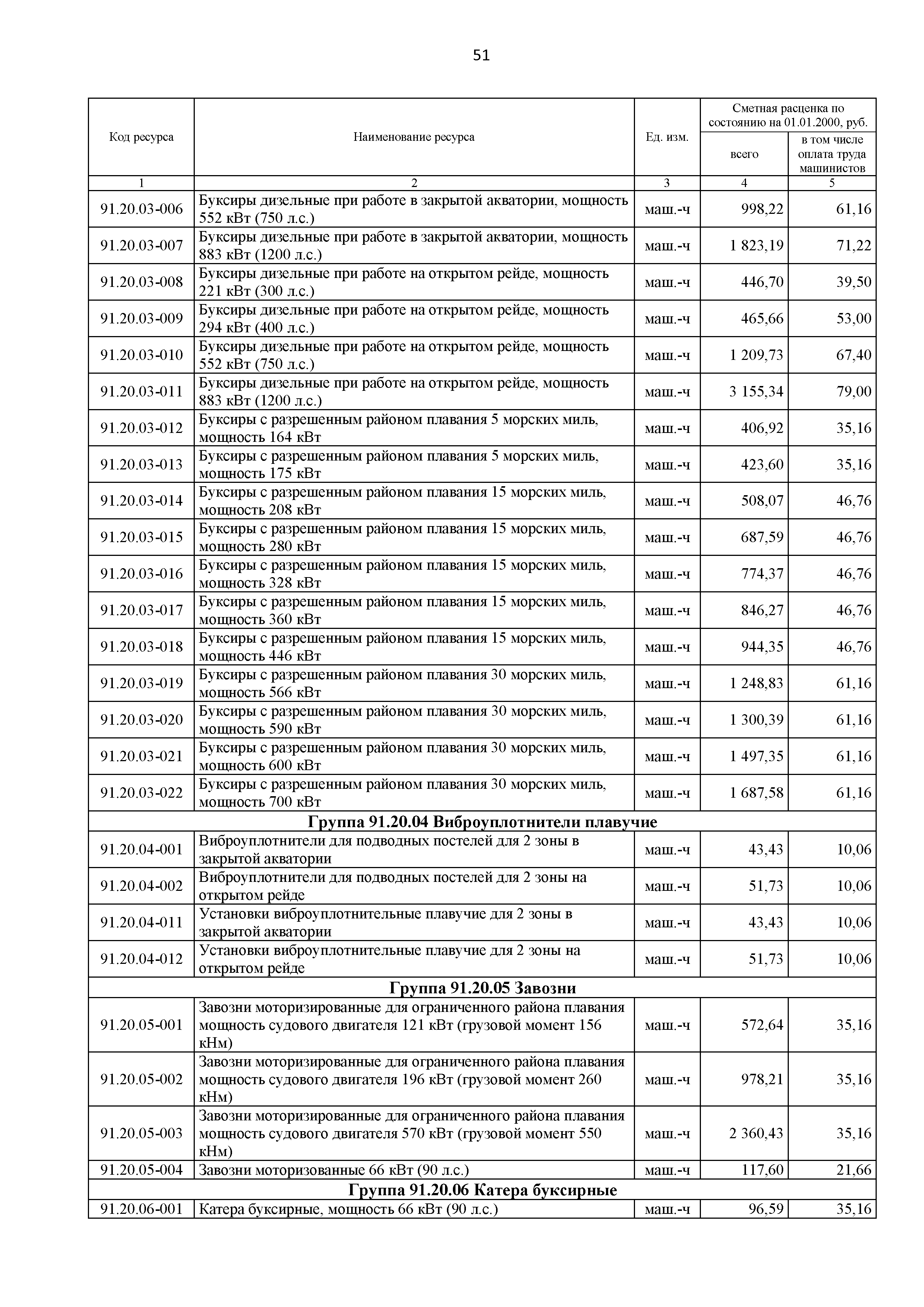
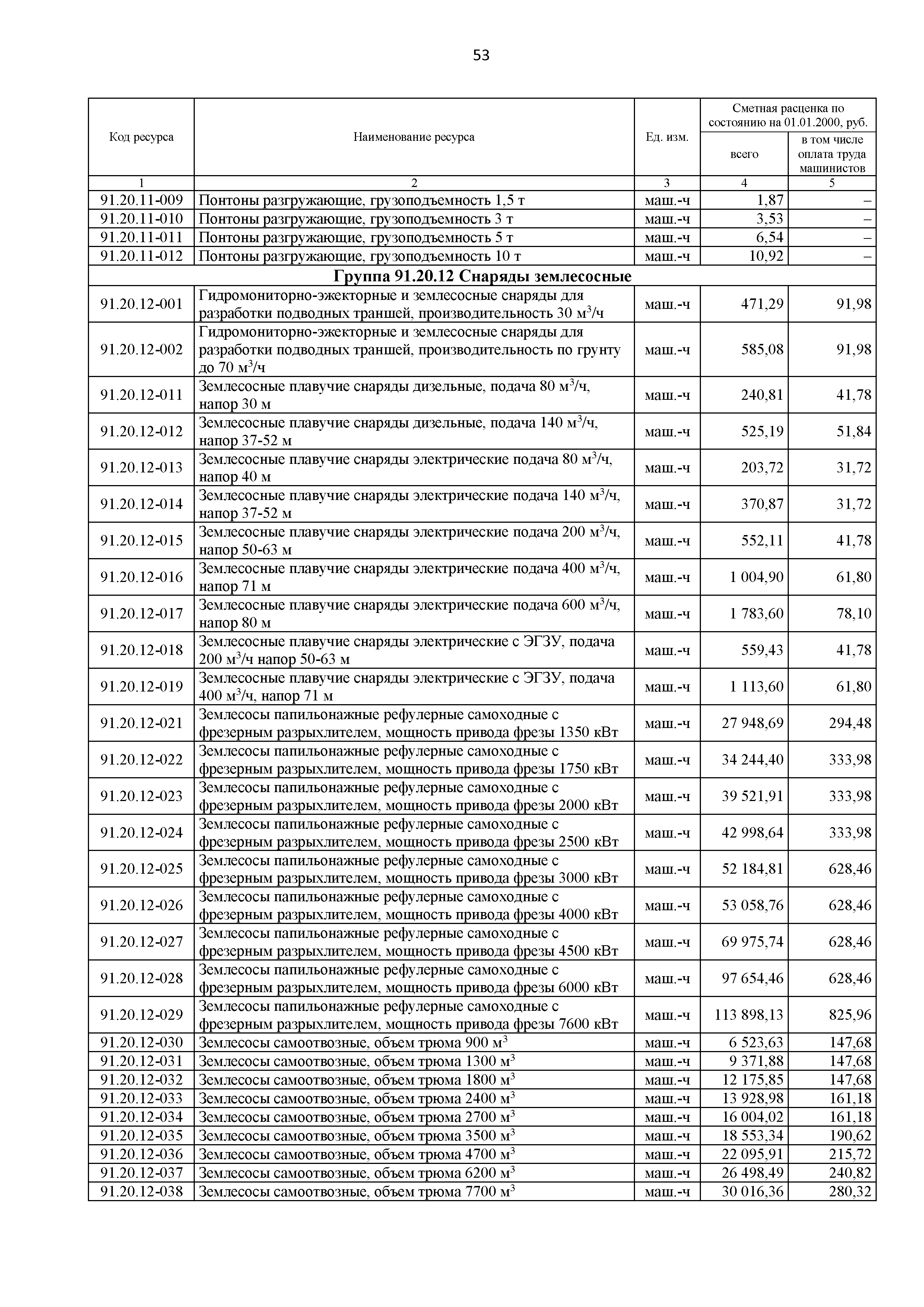
| Оглавление: | I Общие положения II Федеральные сметные расценки на эксплуатацию строительных машин и автотранспортных средств Книга 91 Машины и механизмы Раздел 91.01 Машины для земляных работ Раздел 91.02 Машины и агрегаты для свайных и шпунтовых работ Раздел 91.03 Машины и агрегаты для тоннелестроения, горнопроходческих работ и строительства метрополитенов Раздел 91.04 Машины и агрегаты для бурения Раздел 91.05 Краны, кроме плавучих Раздел 91.06 Машины и механизмы подъемно-транспортные, кроме кранов Раздел 91.07 Машины для приготовления, подачи и укладки бетона и раствора Раздел 91.08 Машины для дорожного и аэродромного строительства Раздел 91.09 Машины для железнодорожного строительства Раздел 91.10 Машины для строительства магистральных трубопроводов Раздел 91.11 Машины для сооружений линий связи и электропередач Раздел 91.12 Машины для водохозяйственного строительства и мелиоративных работ Раздел 91.13 Средства автотранспортные специального назначения Раздел 91.14 Средства транспортные для транспортировки строительных материалов Раздел 91.15 Тракторы, прицепы тракторные Раздел 91.16 Электростанции Раздел 91.17 Устройства для термической обработки, сварки, испытаний и контроля сварных соединений Раздел 91.18 Станции компрессорные, компрессоры Раздел 91.19 Насосы, станции насосные, холодильные и замораживающие Раздел 91.20 Суда, плавучие машины и агрегаты для подводно-технических работ Раздел 91.21 Инструменты механизированные, приспособления, станки, агрегаты прочие |
| Утверждён: | 26.12.2019 Министерство строительства и жилищно-коммунального хозяйства Российской Федерации (Минстрой России) (876/пр) |
| Издан: | С сайта: (2020 г. ) |
| Список изменений: |
|
| Нормативные ссылки: |




























































Текстовое изменение № от 01.07.2020






Текстовое изменение № от 01.07.2020






Текстовое изменение № от 01.07.2020



