Скачать РД 39-3-756-82 Методическое руководство по диагностированию и регулированию технологических процессов, а также установлению оптимальных режимов работы скважин на основе существующего информационного промыслового материалаДата актуализации: 01.01.2021
|
| Обозначение: | РД 39-3-756-82 |
| Обозначение англ: | RD 39-3-756-82 |
| Статус: | не действует |
| Название рус.: | Методическое руководство по диагностированию и регулированию технологических процессов, а также установлению оптимальных режимов работы скважин на основе существующего информационного промыслового материала |
| Дата добавления в базу: | 01.01.2021 |
| Дата актуализации: | 01.01.2021 |
| Дата введения: | 01.01.1983 |
| Дата окончания срока действия: | 31.12.1987 |
| Область применения: | В документе рассмотрены статистические методы ретроспективного анализа промысловых данных с целью оценки коэффициента продуктивности скважины, пластового давления и диагностирования неньютоновских свойств пластовых систем без проведения специальных гидродинамических исследований |
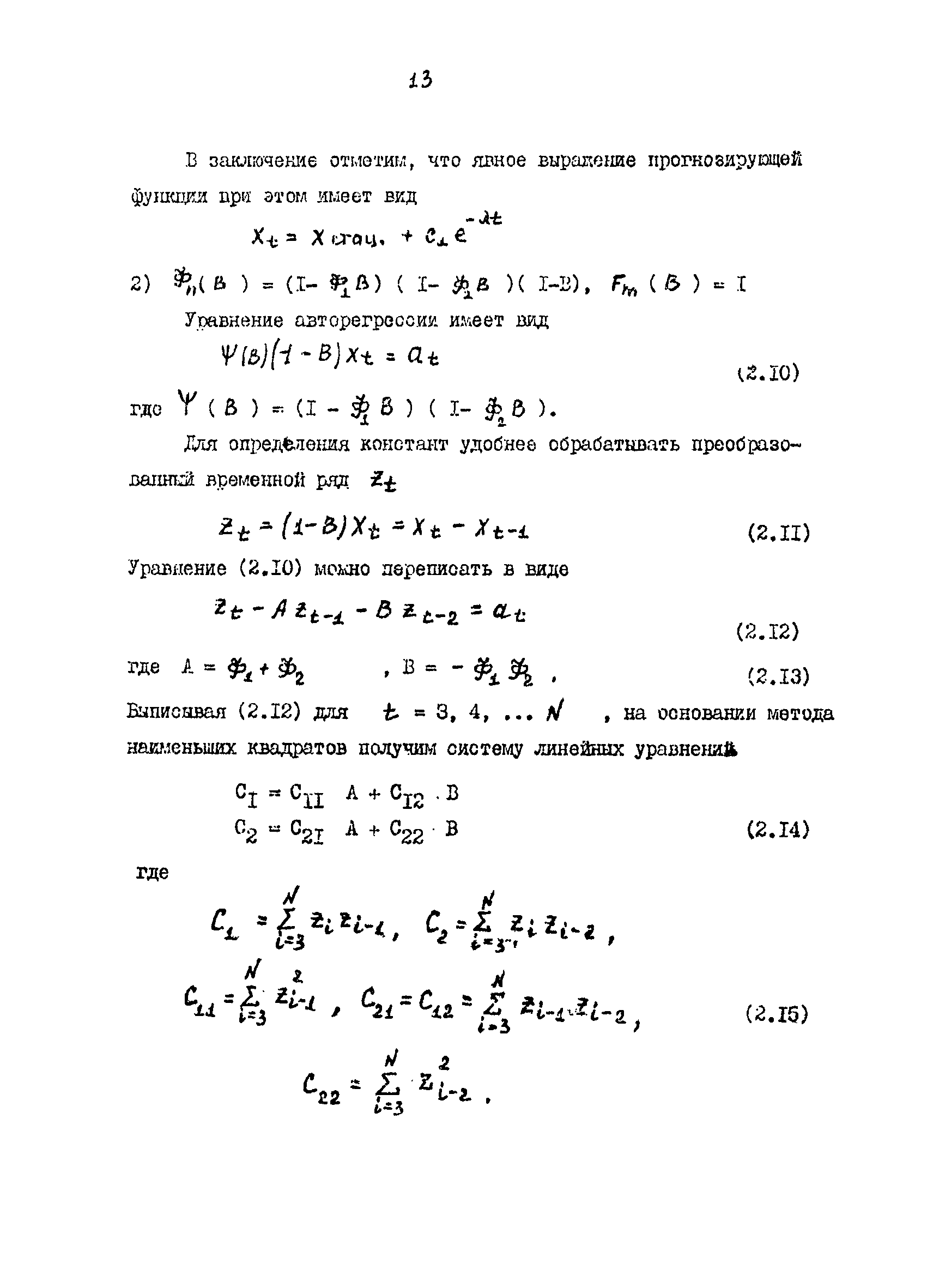
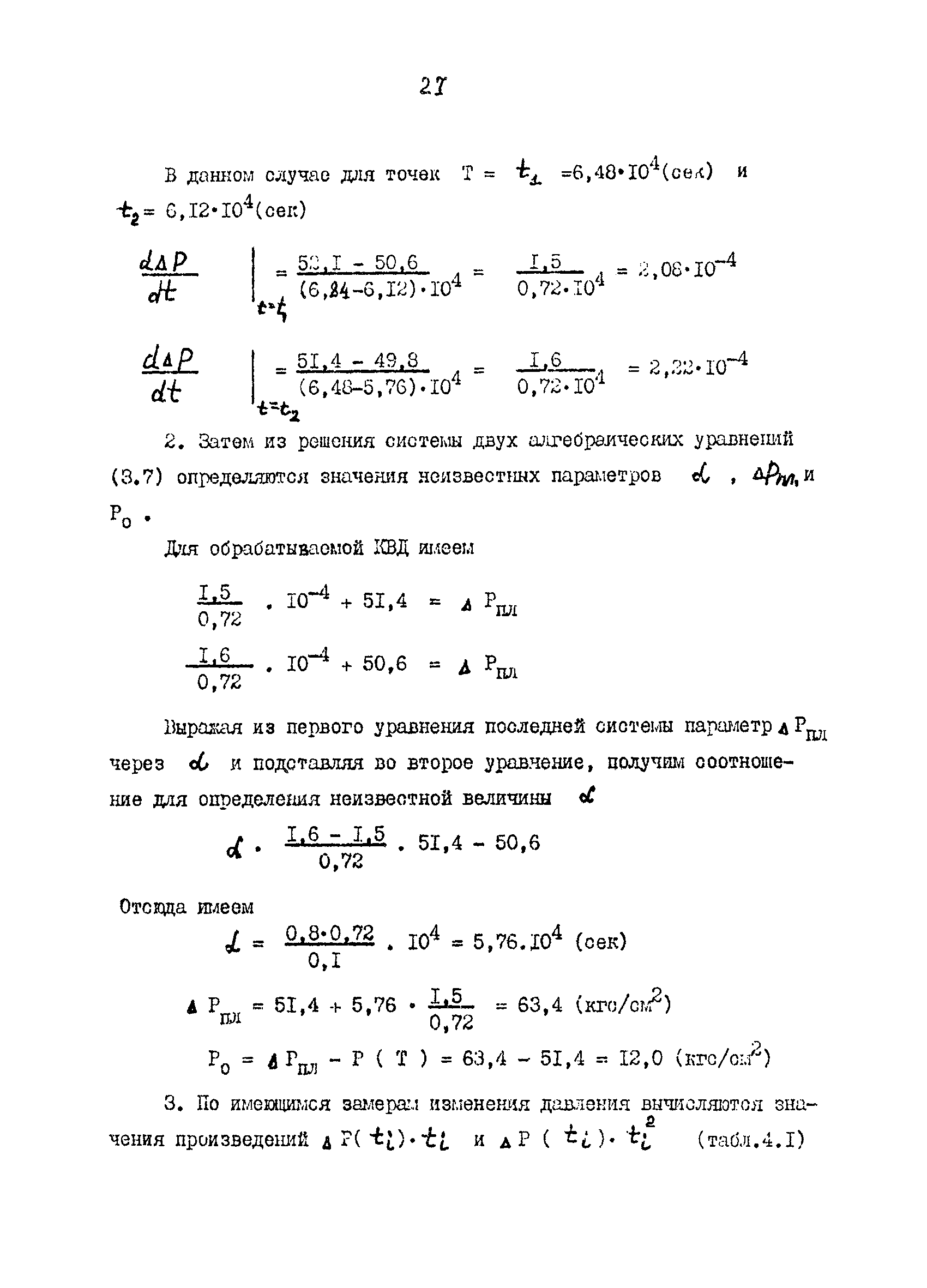
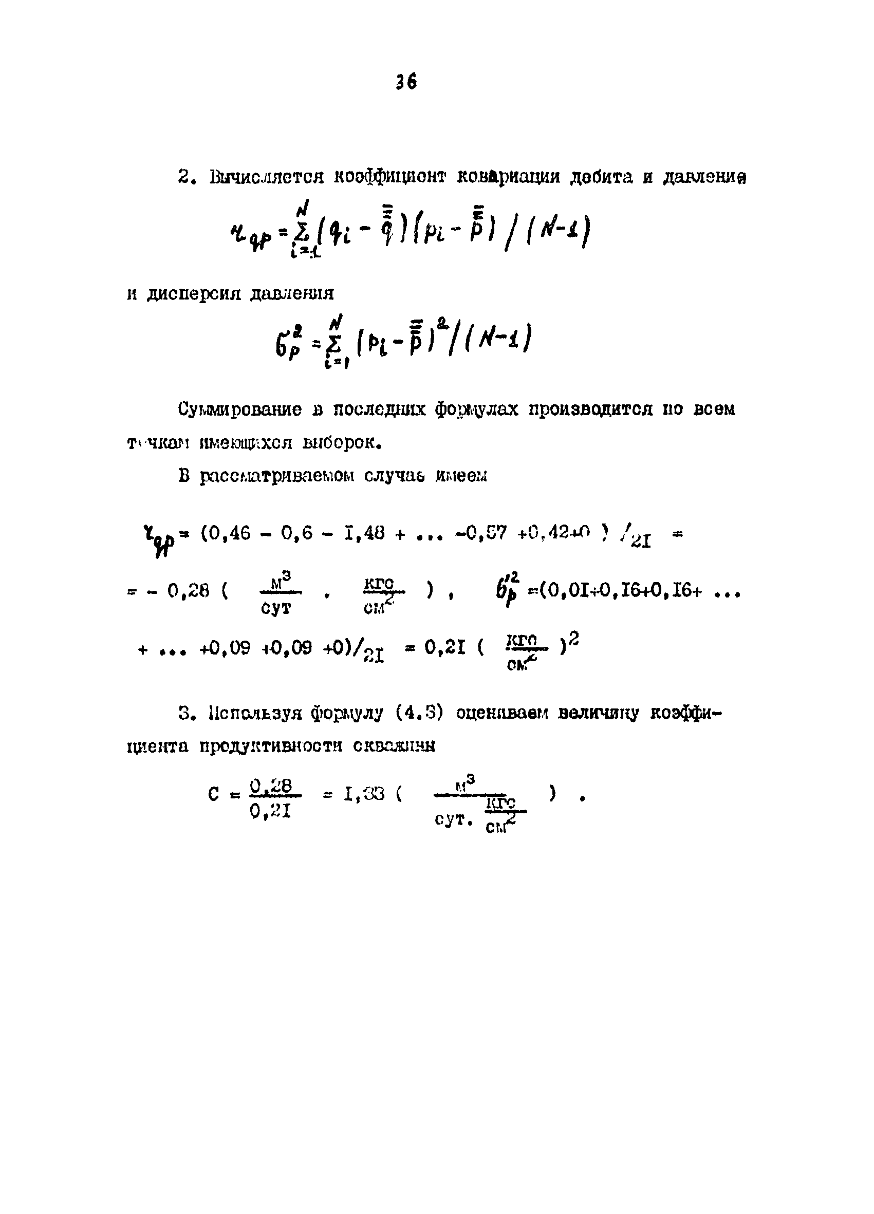
| Оглавление: | 1 Введение 2 Определение пластового давления по данным гидродинамических исследований скважин 2.1 Оценка пластового давления по недовосстановленной КВД на основе метода самоорганизующихся моделей 2.2 Прогнозирование технологических показателей разработки на основе моделей авторегрессии и проинтегрированного скользящего среднего 2.2.1 Основные понятия о процессе АРПСС 2.2.2 Пример расчета пластового давления на основе использования моделей АРПСС 3 Диагностирование состояния призабойной зоны пласта и выбор фильтрационной модели 3.1 Теоретические основы диагностического принципа выбора по данным гидродинамических исследований скважин 3.2 Методика вычисления детерминированных моментов давления 3.3 Уточнение интервалов диагностирования 4 Методы оценки технологических показателей работы скважин и пластов без проведения специальных гидродинамических исследований 4.1 Определение коэффициента продуктивности скважины по результатам корреляционного анализа временных колебаний дебита и давления 4.2 Метод оценки величины текущего пластового давления и коэффициента продуктивности по данным эксплуатации скважин 5 Диагностирование проявления неньютоновских свойств пластовыми системами по данным эксплуатации скважин 5.1 Краткие теоретические основы методы 5.2 Практический пример расчета теоретического и фактического времени запаздывания 6 Выбор оптимального режима работы компрессорных скважин Приложение. Таблицы значений Литература |
| Разработан: | ВНИИ |
| Утверждён: | 14.07.1982 Министерство нефтяной промышленности |








































































































