Скачать Письмо 13436-ИФ/09 О рекомендуемой величине индексов изменения сметной стоимости строительства в I квартале 2020 года, в том числе величине индексов изменения сметной стоимости строительно-монтажных работ, индексов изменения сметной стоимости пусконаладочных работДата актуализации: 01.01.2021 Письмо 13436-ИФ/09
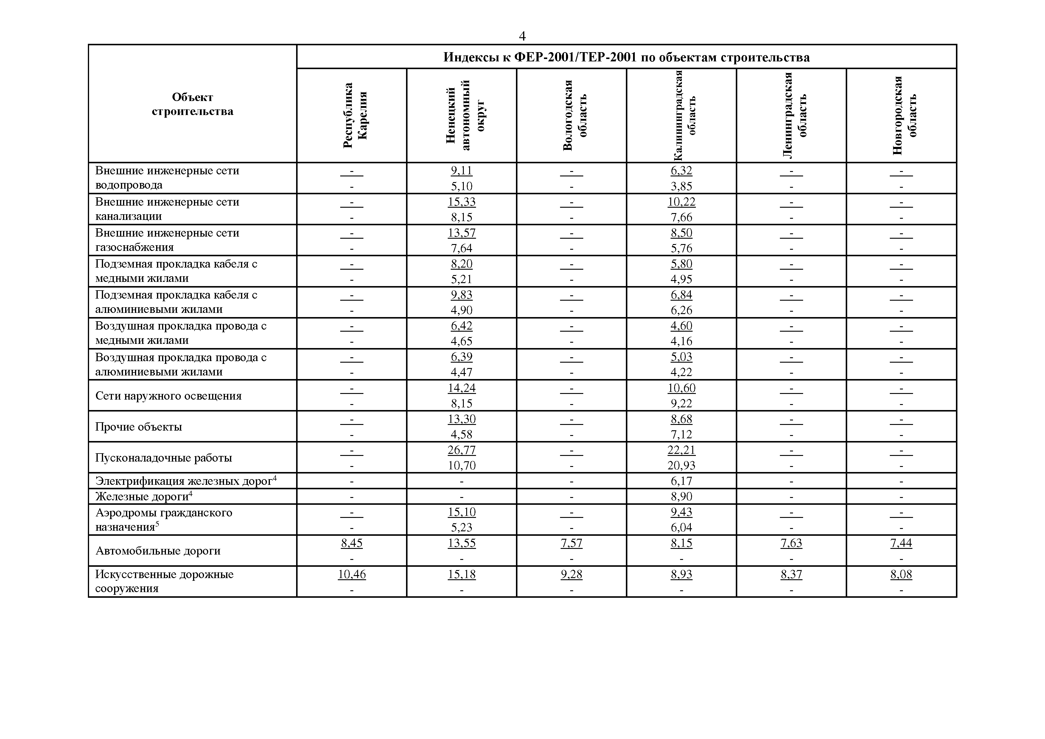
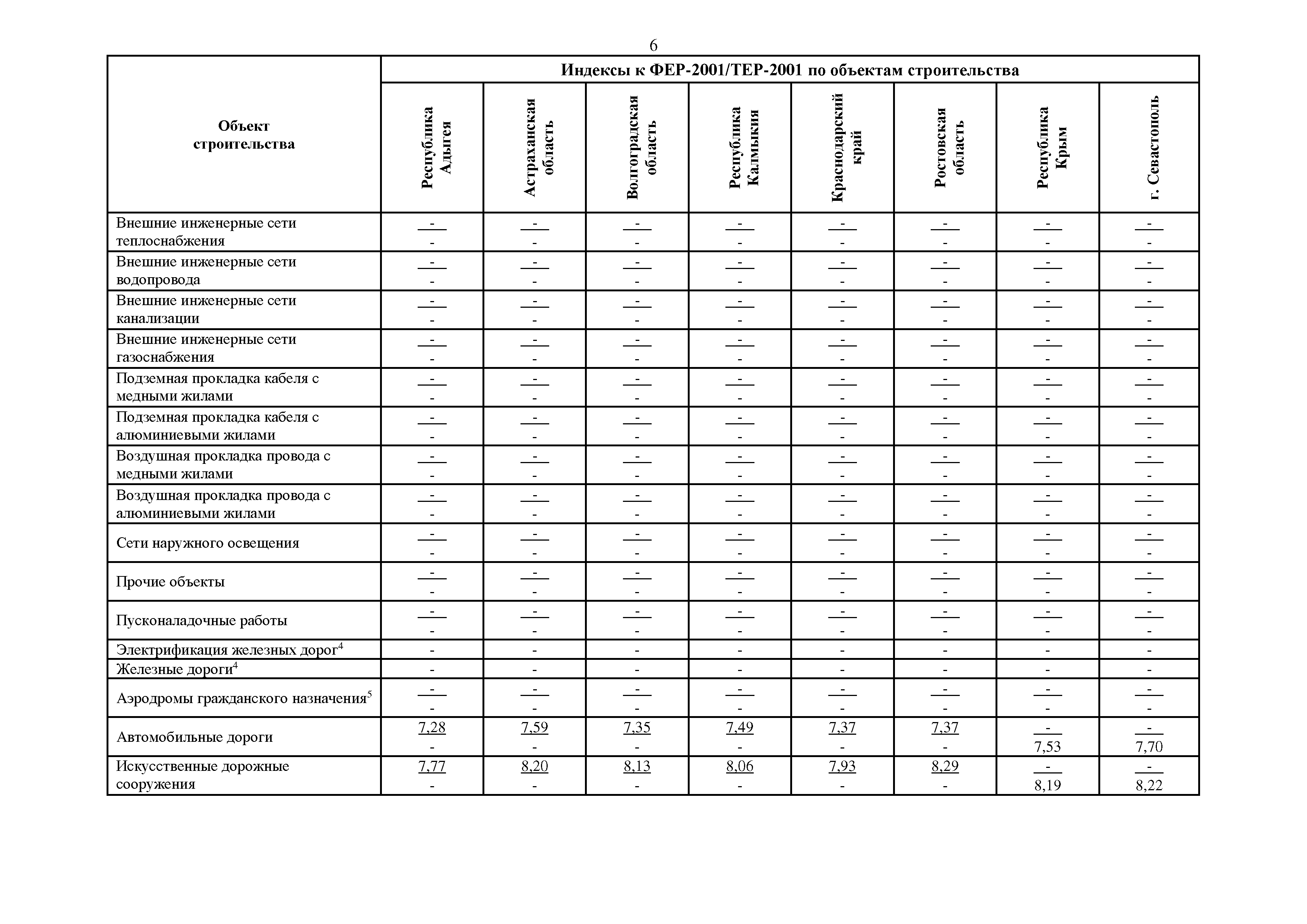
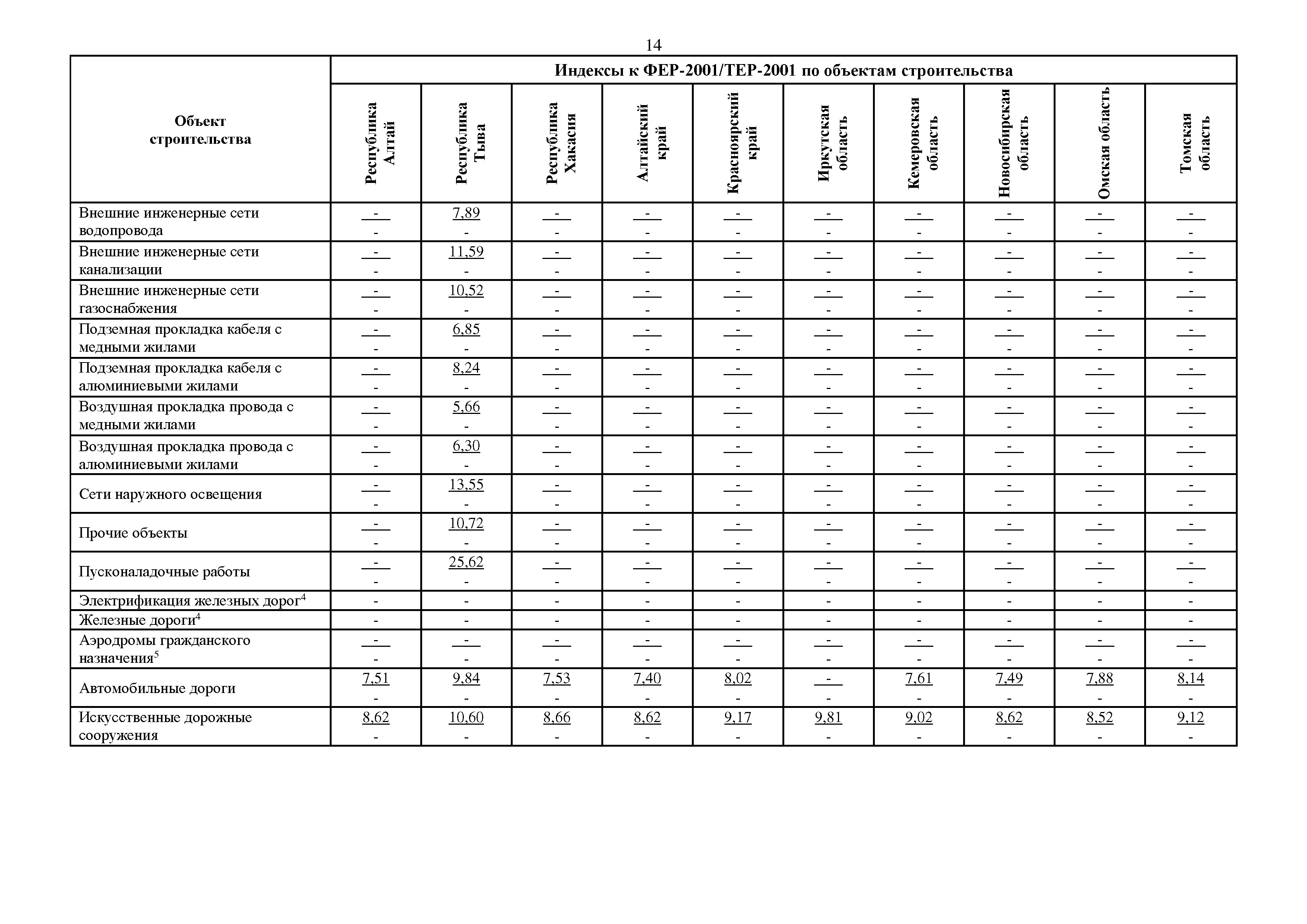
О рекомендуемой величине индексов изменения сметной стоимости строительства в I квартале 2020 года, в том числе величине индексов изменения сметной стоимости строительно-монтажных работ, индексов изменения сметной стоимости пусконаладочных работ| Обозначение: | Письмо 13436-ИФ/09 | | Обозначение англ: | Notice 13436-ИФ/09 | | Статус: | информационный документ | | Название рус.: | О рекомендуемой величине индексов изменения сметной стоимости строительства в I квартале 2020 года, в том числе величине индексов изменения сметной стоимости строительно-монтажных работ, индексов изменения сметной стоимости пусконаладочных работ | | Дата добавления в базу: | 01.01.2021 | | Дата актуализации: | 01.01.2021 | | Дата введения: | 07.04.2020 | | Область применения: | Индексы разработаны к сметно-нормативной базе 2001 года в соответствии с положениями Методики расчета индексов изменения сметной стоимости строительства, утвержденной приказом Минстроя России от 5 июня 2019 г. № 326/пр, с использованием данных ФАУ "Главгосэкспертиза России", органов исполнительной власти субъектов Российской Федерации за IV квартал 2019 года с учетом прогнозного показателя инфляции, установленного Минэкономразвития России | | Оглавление: | Приложение № 1. Индексы изменения сметной стоимости строительно-монтажных и пусконаладочных работ по объектам строительства, определяемых с применением федеральных и территориальных единичных расценок, на I квартал 2020 года | | Утверждён: | 07.04.2020 Министерство строительства и жилищно-коммунального хозяйства Российской Федерации (13436-ИФ/09)
| | Издан: | Официальный сайт Минстроя России (/) (от 07.04.2020)
| | Нормативные ссылки: |  ФЕР 2001 «Федеральные единичные расценки на строительные работы» «Методика расчета индексов изменения сметной стоимости строительства» Письмо 5414-ИФ/09 «О рекомендуемой величине индексов изменения сметной стоимости строительства в I квартале 2020 года, в том числе величине индексов изменения сметной стоимости строительно-монтажных работ, индексов изменения сметной стоимости пусконаладочных работ, индексов изменения сметной стоимости проектных и изыскательских работ» Письмо 6369-ИФ/09 «О рекомендуемой величине индексов изменения сметной стоимости строительства в I квартале 2020 года, в том числе величине индексов изменения сметной стоимости строительно-монтажных работ, индексов изменения сметной стоимости пусконаладочных работ, индексов изменения сметной стоимости прочих работ и затрат, индексов изменения сметной стоимости оборудования» Письмо 10379-ИФ/09 «О рекомендуемой величине индексов изменения сметной стоимости строительства в I квартале 2020 года, в том числе величине индексов изменения сметной стоимости строительно-монтажных работ, индексов изменения сметной стоимости пусконаладочных работ» Письмо 10544-ИФ/09 «О рекомендуемой величине индексов изменения сметной стоимости строительства в I квартале 2020 года, в том числе величине индексов изменения сметной стоимости строительно-монтажных работ, индексов изменения сметной стоимости пусконаладочных работ»
|
               
|