Скачать Административный регламент по осуществлению Федеральным агентством водных ресурсов государственной функции по предоставлению права пользования водными объектами на основании договоров водопользованияДата актуализации: 01.01.2021 |
| Статус: | утратил силу |
| Название рус.: | Административный регламент по осуществлению Федеральным агентством водных ресурсов государственной функции по предоставлению права пользования водными объектами на основании договоров водопользования |
| Дата добавления в базу: | 01.01.2021 |
| Дата актуализации: | 01.01.2021 |
| Дата введения: | 17.07.2009 |
| Дата окончания срока действия: | 10.02.2015 |
| Область применения: | Административный регламент описывает выполнение государственной функции по предоставлению находящихся в федеральной собственности водоемов, а также морей или их отдельных частей в пользование на основании договоров водопользования для: 1) забора (изъятия) водных ресурсов из поверхностных водных объектов; 2) использования акватории водных объектов, в том числе для рекреационных целей; 3) использования водных объектов без забора (изъятия) водных ресурсов для целей производства электрической энергии |
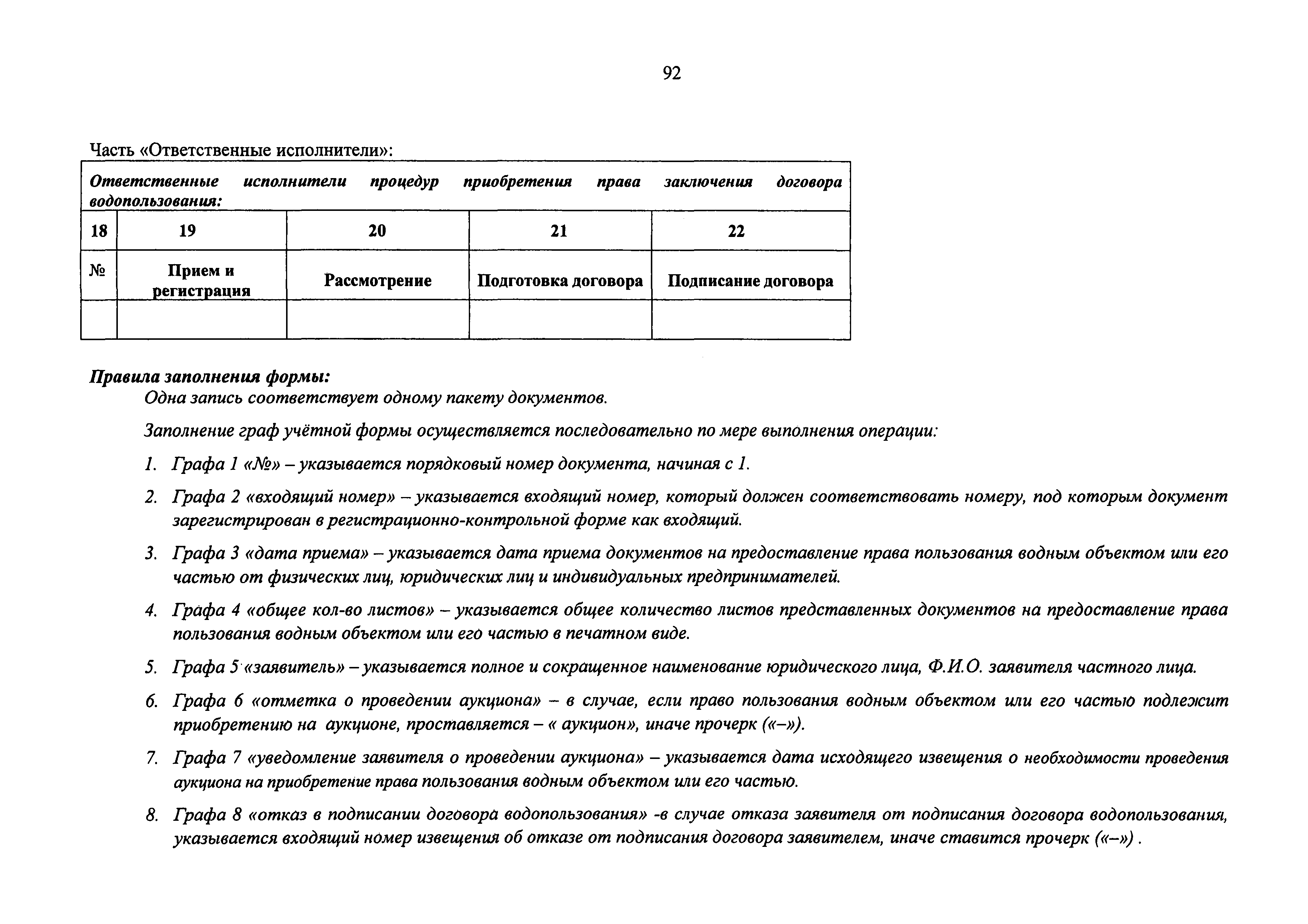
| Оглавление: | I. Общие положения II. Требования к порядку исполнения государственной функции III. Административные процедуры IV. Порядок и формы контроля за исполнением государственной функции V. Порядок обжалования действия (бездействия) и решений, осуществляемых (принятых) в ходе выполнения Регламента Приложение 1. Адреса территориальных органов федерального агентства водных ресурсов и отделов водных ресурсов по субъектам Российской Федерации Приложение 2. Схемы процедуры выполнения административного регламента Приложение 3. Перечень документов и материалов, необходимых для предоставления права пользования водным объектом или его частью на основании договора для забора (изъятия) водных ресурсов для целей производства электрической энергии Приложение 4. Расписка о получении документов Приложение 5. Отказ в приеме документов для предоставления права пользования водным объектом или его частью на основании договора водопользования Приложение 6. Извещение о необходимости проведения аукциона по приобретению права на заключение договора водопользования Приложение 7. Форма учета рассмотрения документов для предоставления права пользования водным объектом или его частью на основании договора водопользования Приложение 8. Форма запроса предложений по условиям использования водного объекта Приложение 9. Мотивированный отказ в предоставлении водного объекта для заявленной цели Приложение 10. Извещение об отказе от подписания договора водопользования Приложение 11. Извещение о проведении открытого аукциона по приобретению права на заключение договора водопользования Приложение 12. Заявка на участие в аукционе Приложение 13. Протокол рассмотрения заявок на участие в открытом аукционе Приложение 14. Протокол открытого аукциона Приложение 15. Заявление о передаче прав и обязанностей по договору водопользования другому лицу Приложение 16. Отказ в приеме документов о передаче прав и обязанностей по договору водопользования другому лицу Приложение 17. Расписка о получении документов Приложение 18. Заключение на представленные документы на передачу прав и обязанностей по договору водопользования другому лицу Приложение 19. Отказ в даче согласия о передаче прав и обязанностей по договору водопользования другому лицу Приложение 20. Форма учета рассмотрения документов о передаче прав и обязанностей по договору водопользования другому лицу Приложение 21. Форма заявления об изменении условий или о расторжении договора водопользования Приложение 22. Мотивированный отказ в рассмотрении вопроса Приложение 23. Расписка о получении документов Приложение 24. Заключение о комплектности документов, представленных на изменение условий договора водопользования или расторжение Приложение 25. Форма извещения о внесении изменений условий или о расторжении договора водопользования Приложение 26. Форма учета рассмотрения документов для заключения дополнительного соглашения об изменении условий или соглашения сторон о расторжении договора водопользования Приложение 27. Извещение о несогласии с условиями проекта соглашения сторон Приложение 28. Регистрационно-контрольная форма приема документов для подготовки и подписания договора водопользования |
| Утверждён: | 26.12.2008 Министерство природных ресурсов и экологии Российской Федерации (347) |
| Издан: | Бюллетень нормативных актов федеральных органов исполнительной власти (от 06.07.2009, № 27) |
| Нормативные ссылки: |
|








































































































































