Скачать Типовые отраслевые нормы численности работников водопроводно-канализационного хозяйства

Дата актуализации: 01.01.2021

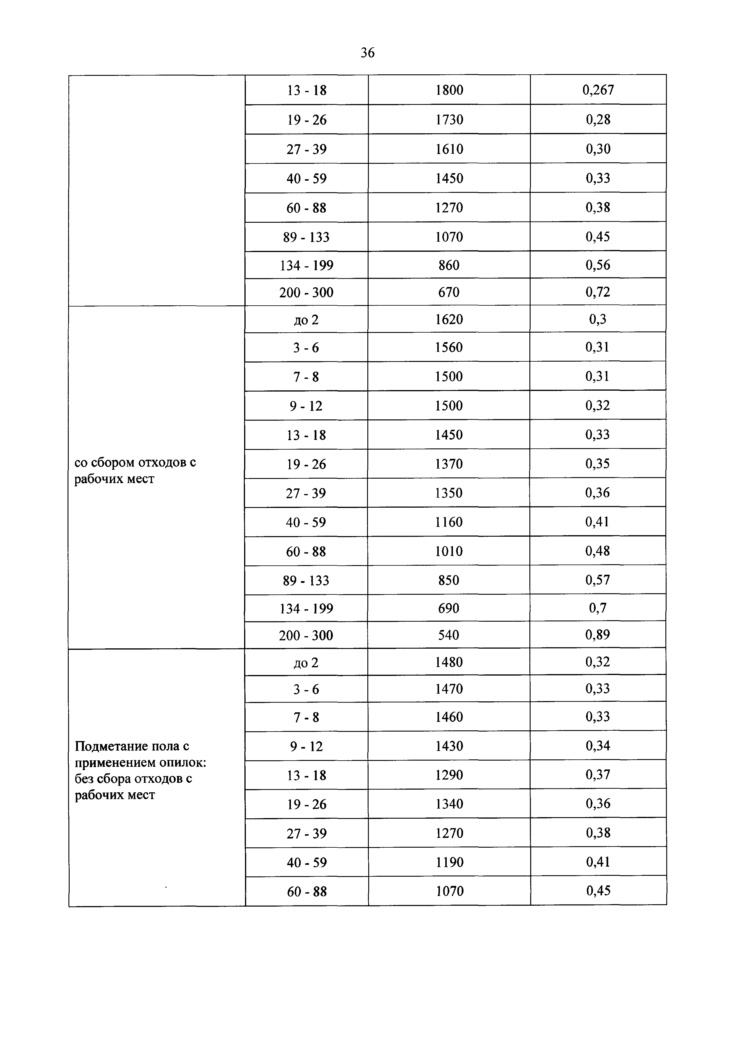
Типовые отраслевые нормы численности работников водопроводно-канализационного хозяйства

Статус:действует
Название рус.:Типовые отраслевые нормы численности работников водопроводно-канализационного хозяйства
Дата добавления в базу:01.01.2021
Дата актуализации:01.01.2021
Дата введения:07.06.2020
Область применения:Типовые отраслевые нормы численности работников водопроводно-канализационного хозяйства предназначены для юридических лиц, осуществляющих эксплуатацию централизованных систем водоснабжения и (или) водоотведения, отдельных объектов таких систем в части расчета нормы численности и определения общей предельной численности работников организации водопроводно-канализационного хозяйства
Оглавление:I. Общие положения
II. Нормативная часть
Утверждён:23.03.2020 Министерство строительства и жилищно-коммунального хозяйства Российской Федерации (154/пр)
Издан: Официальный интернет-портал правовой информации (www.pravo.gov.ru) (№ 0001202005270012 от 27.05.2020)
Нормативные ссылки: