Скачать Правила использования водных ресурсов Нижнекамского водохранилища на р. КамеДата актуализации: 01.01.2021
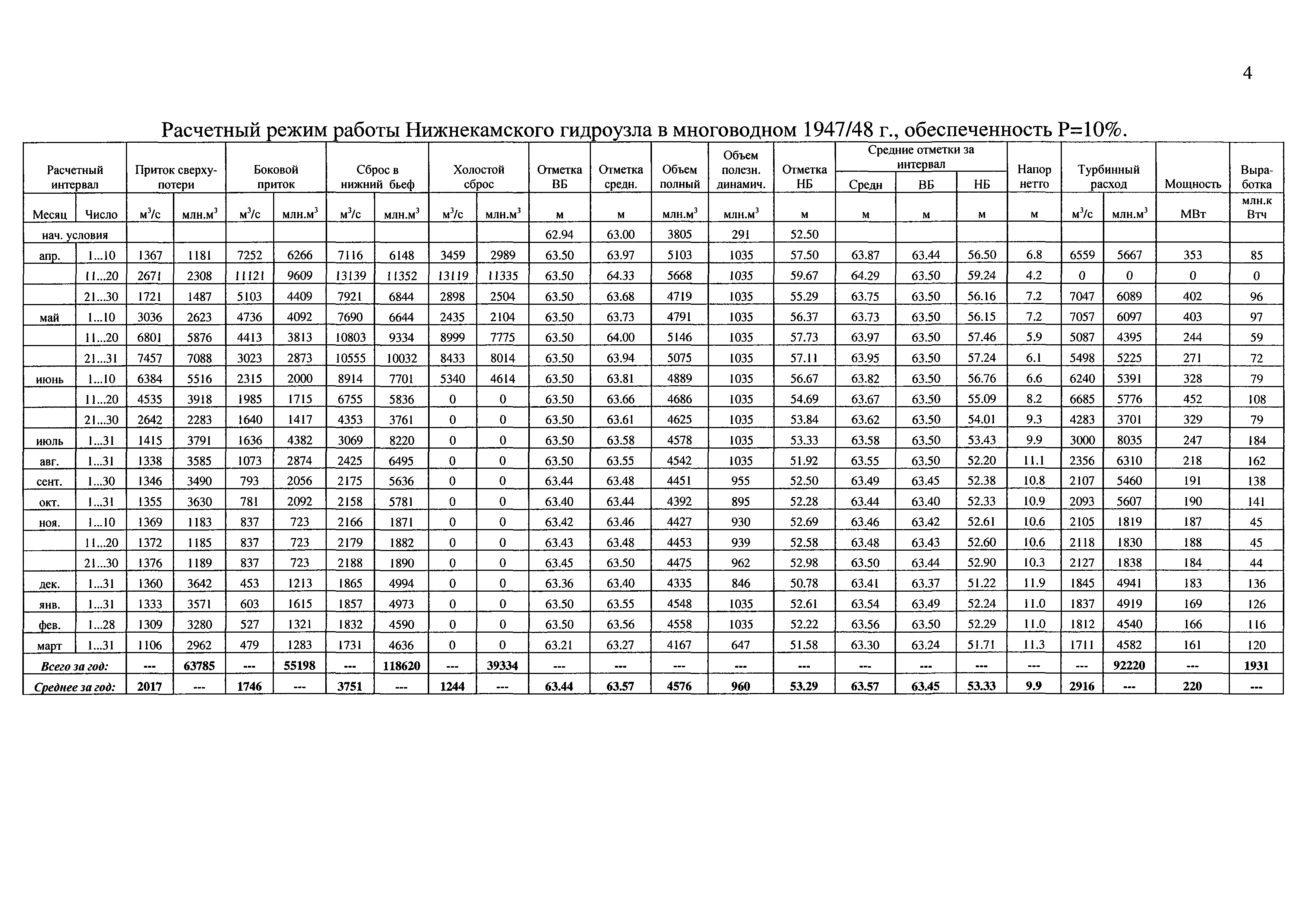
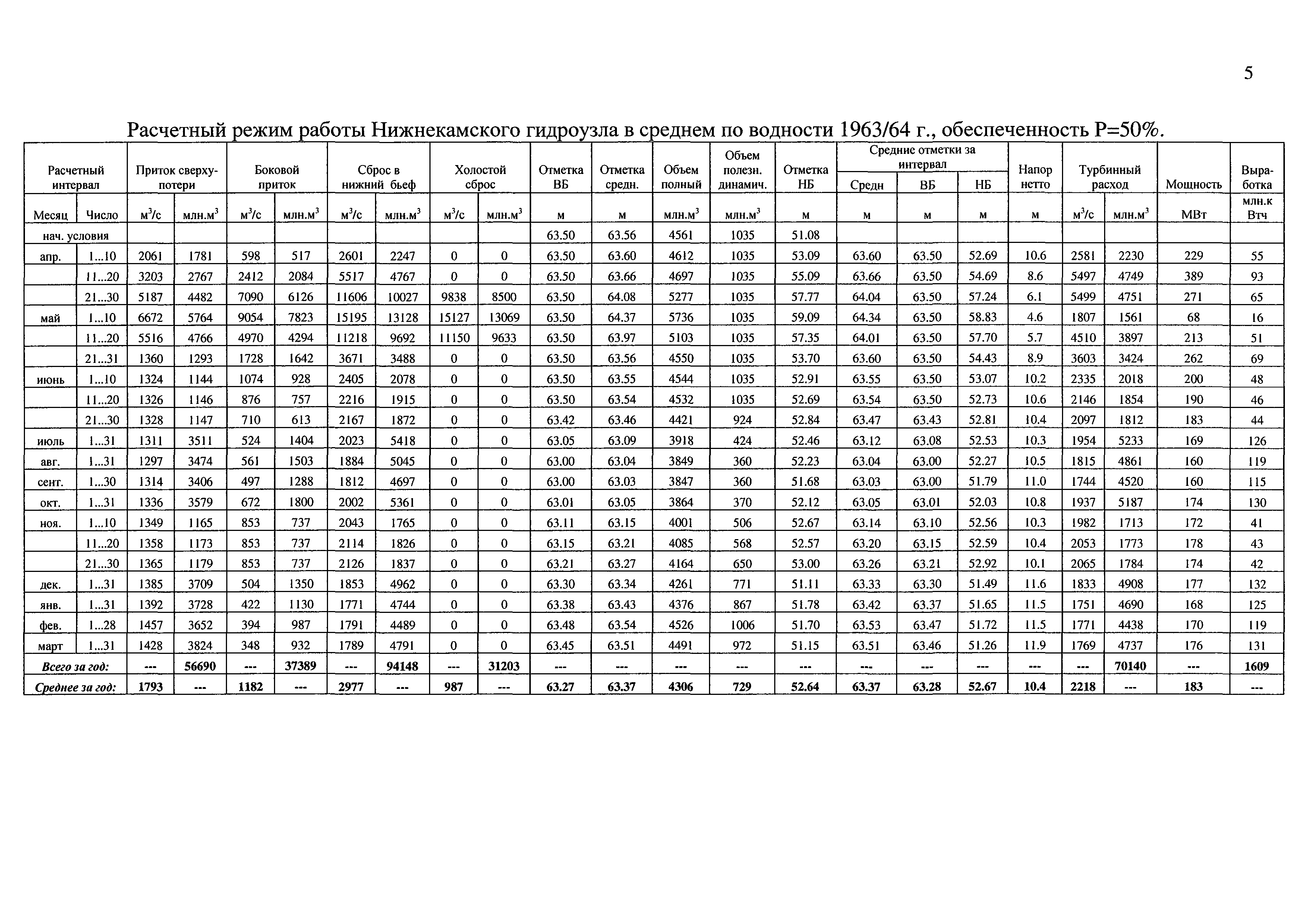
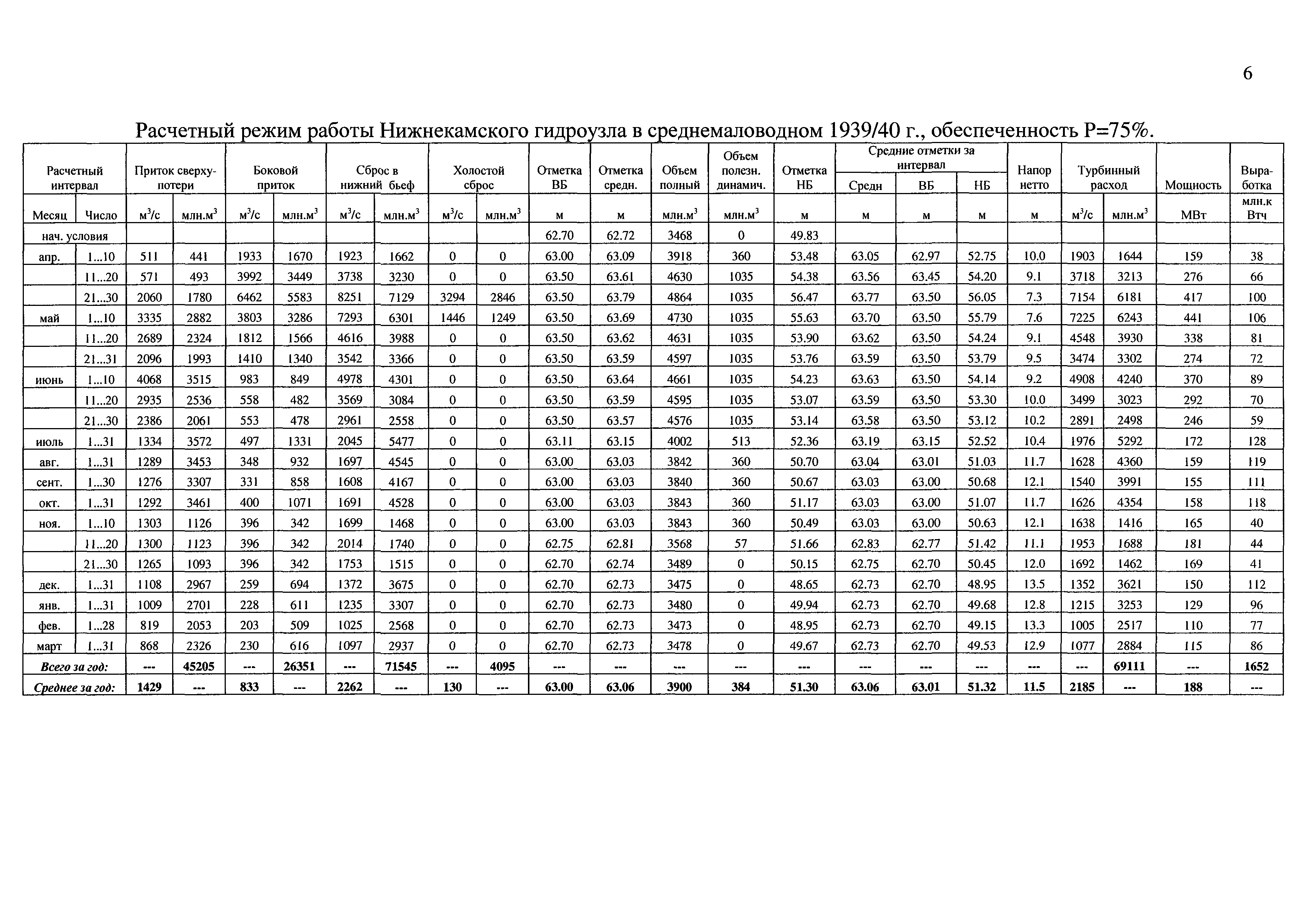
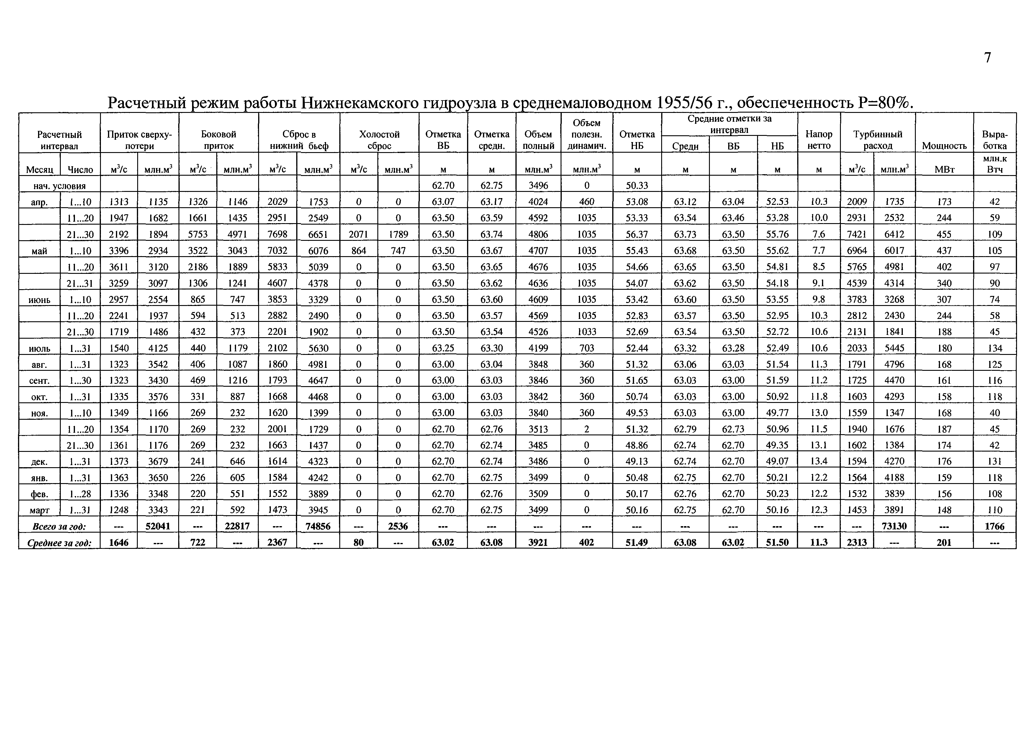
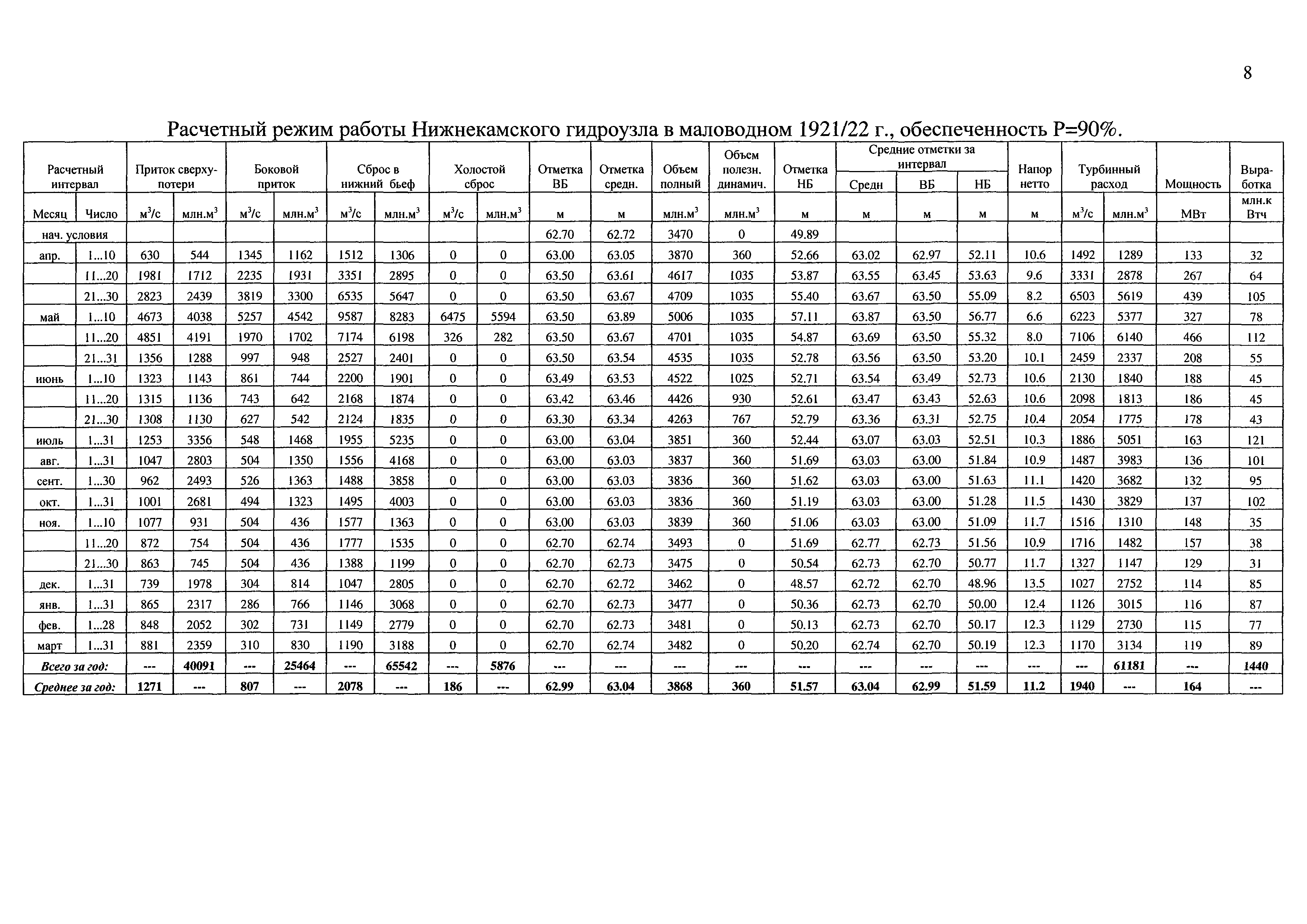
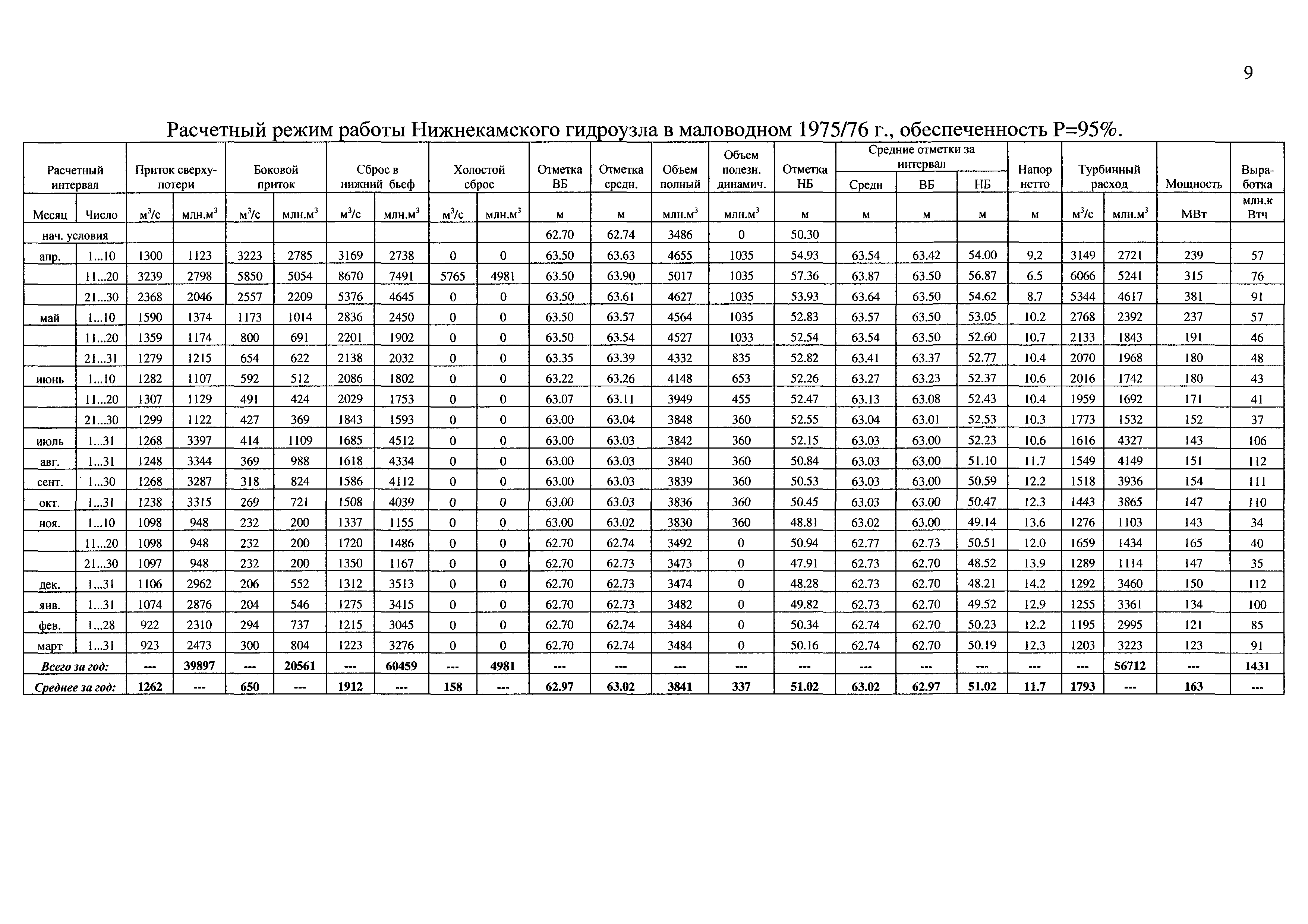
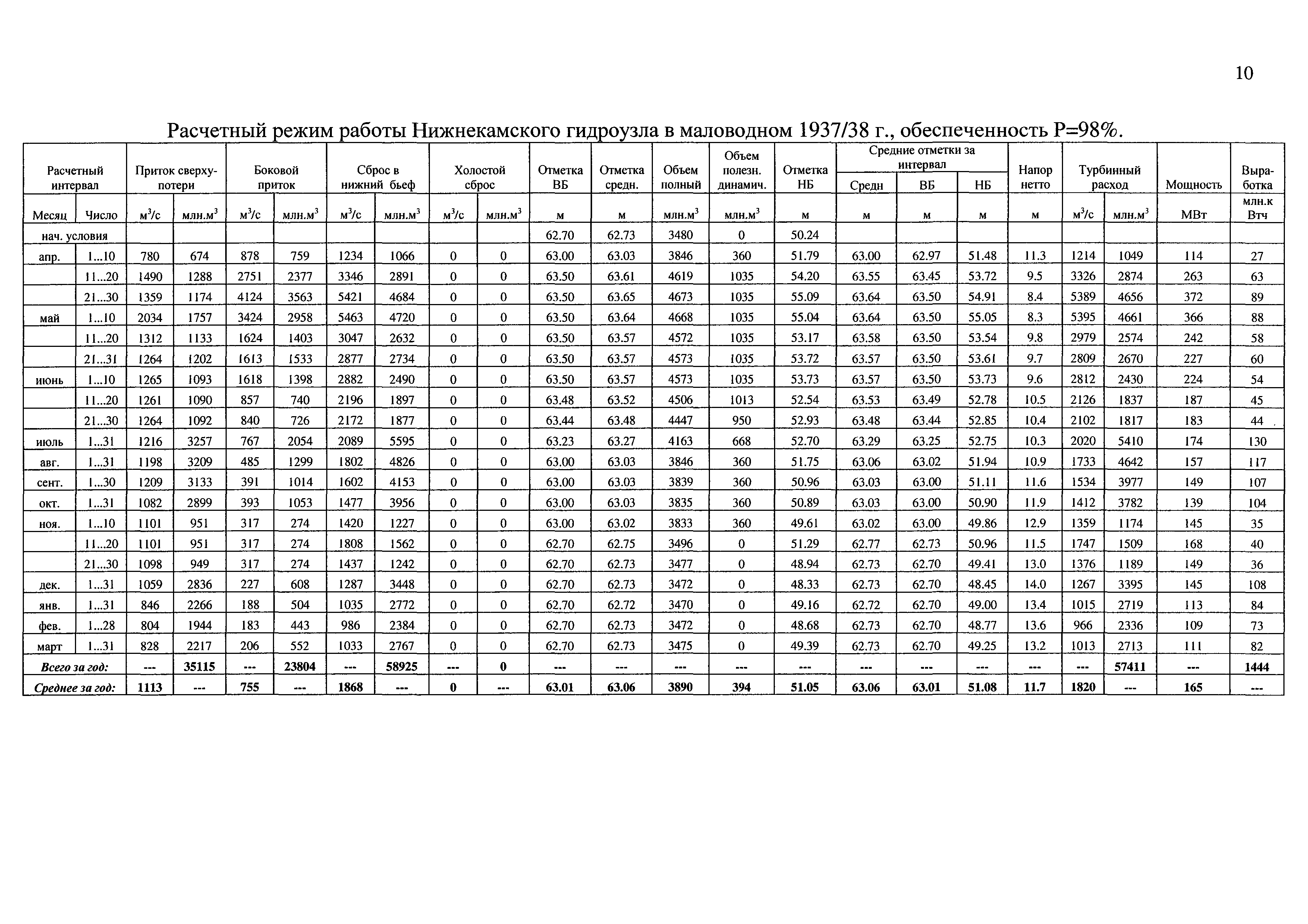
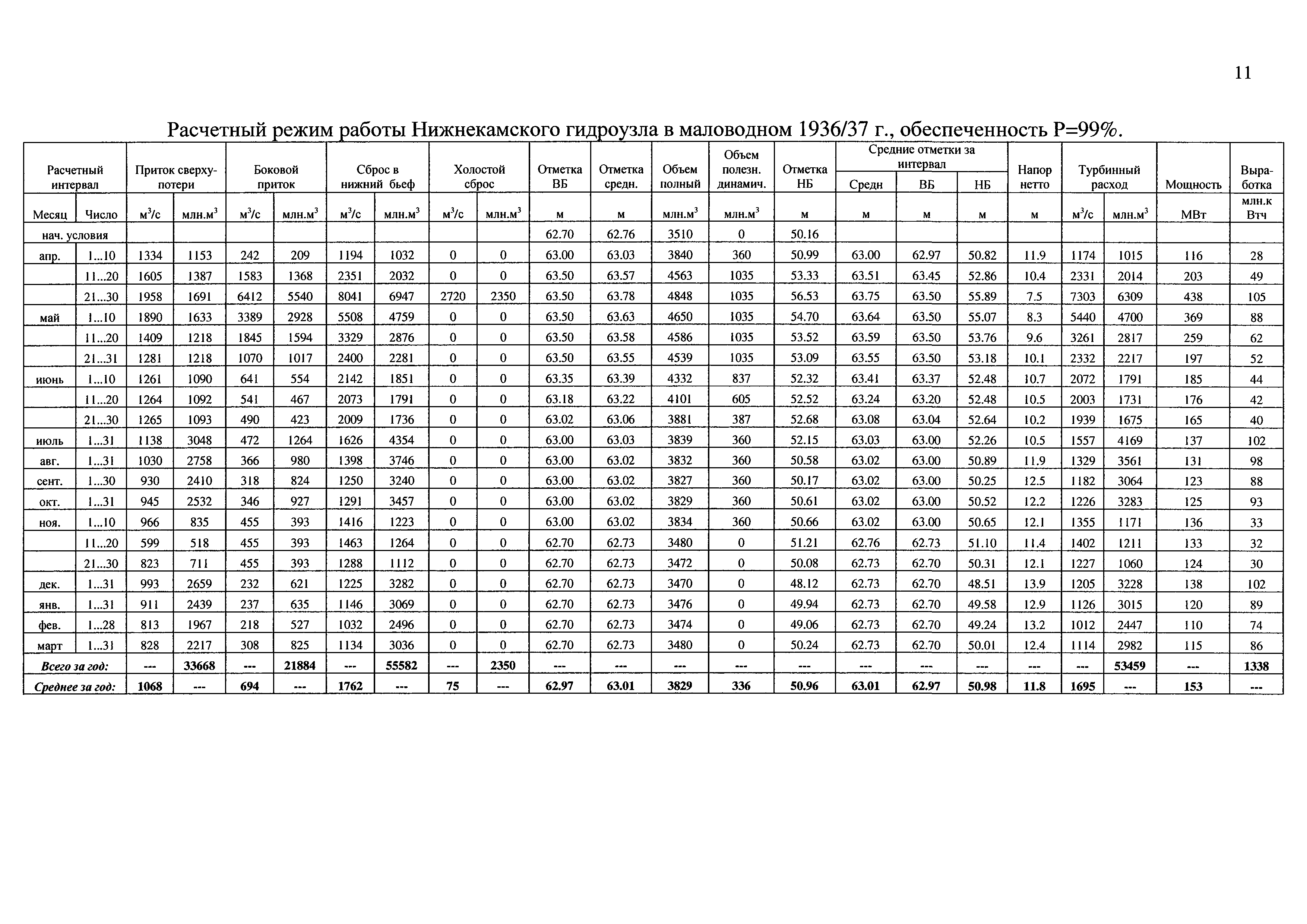
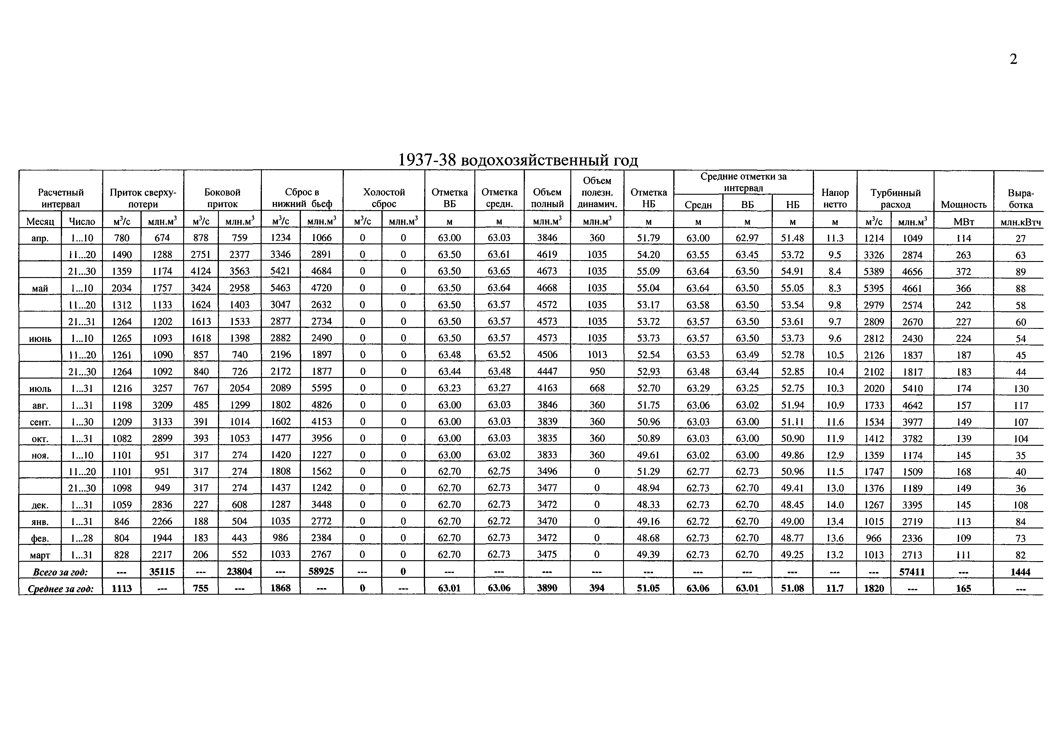
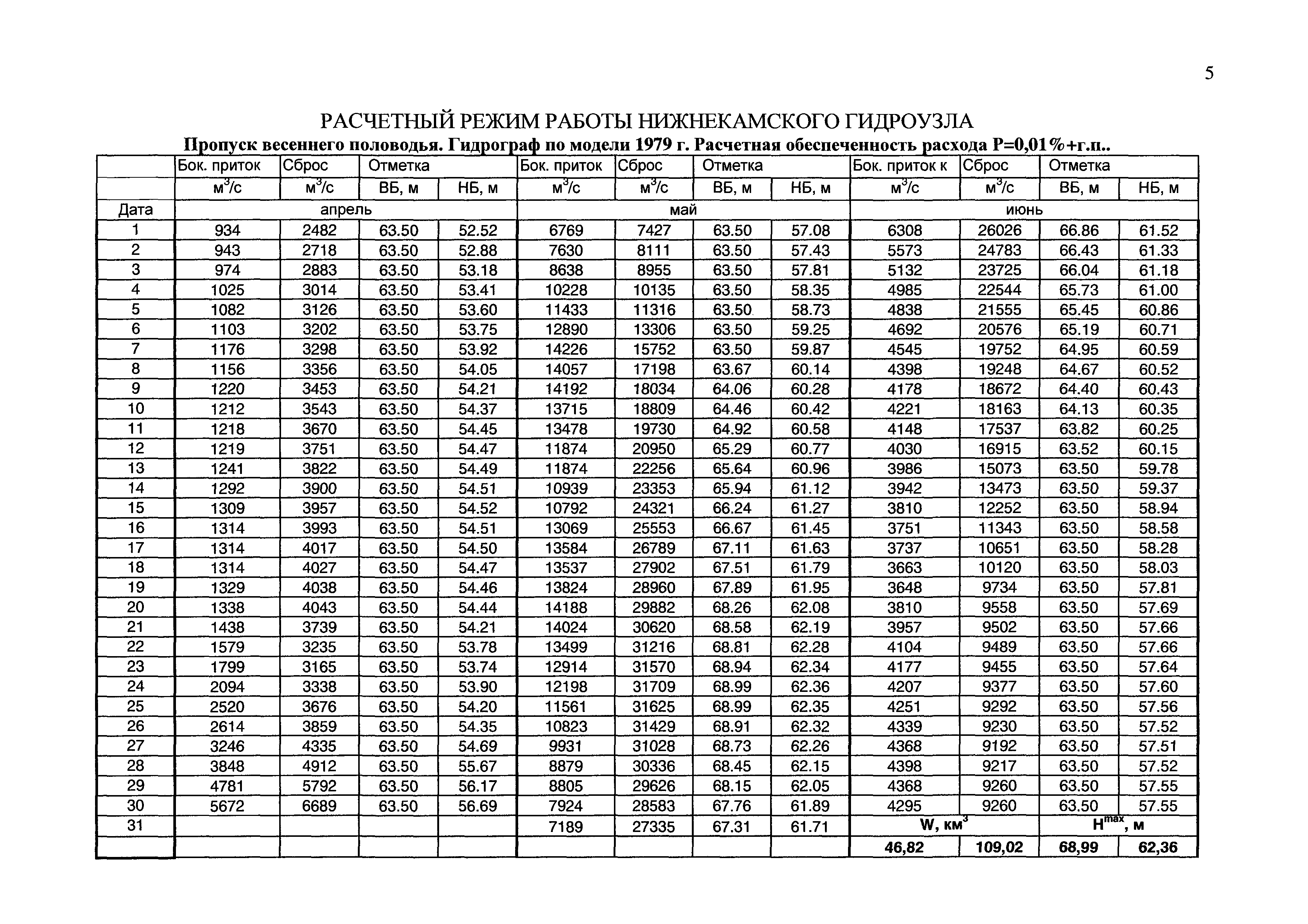
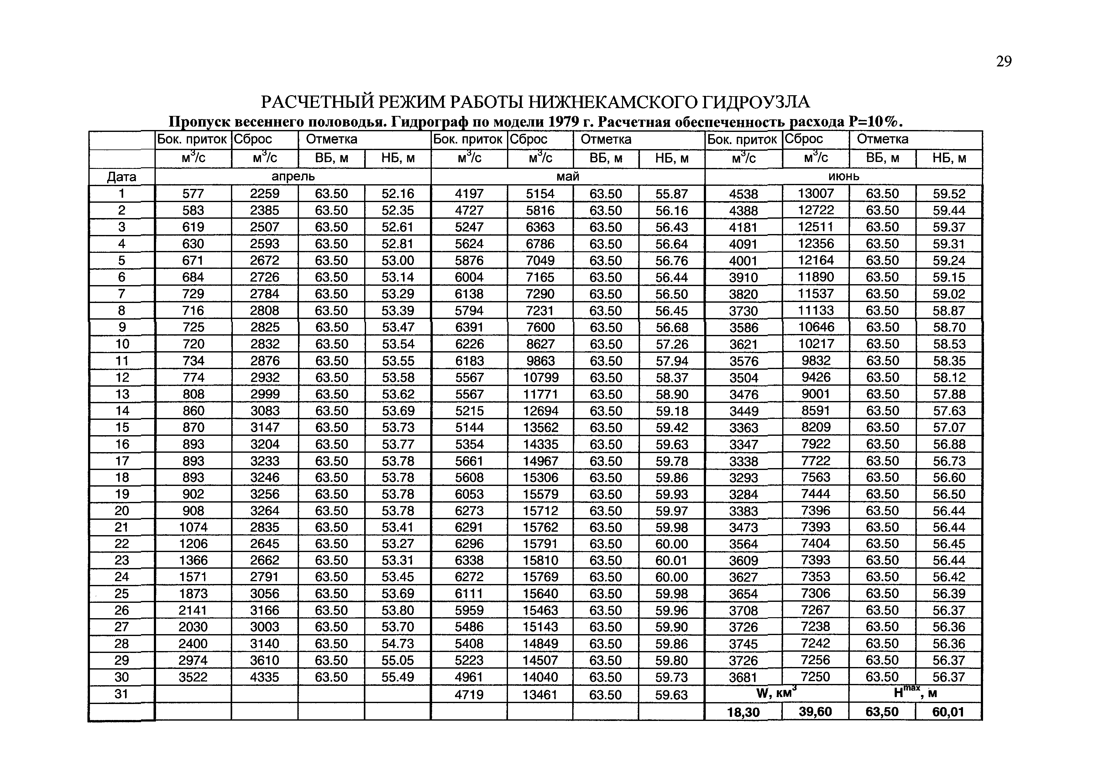
Правила использования водных ресурсов Нижнекамского водохранилища на р. Каме| Статус: | действует | | Название рус.: | Правила использования водных ресурсов Нижнекамского водохранилища на р. Каме | | Дата добавления в базу: | 01.01.2021 | | Дата актуализации: | 01.01.2021 | | Дата введения: | 09.03.2015 | | Оглавление: | I. Характеристики гидроузла, водохранилища и их возможностей II. Основные характеристики водотока III. Состав и описание гидротехнических сооружений гидроузла IV. Основные параметры водохранилища V. Требования по безопасности в верхнем и нижнем бьефах VI. Водопользование и объемы водопотребления VII. Порядок регулирования режима функционирования водохранилища VIII. Порядок проведения работ и предоставления информации в области гидрометеорологии IX. Порядок оповещения органов исполнительной власти, водопользователей, жителей об изменениях водного режима водохранилища, в том числе о режиме функционирования водохранилища при возникновении аварий и иных чрезвычайных ситуаций Приложение № 1. Схема каскада гидроузлов на р. Каме Приложение № 2. Схема Нижнекамского водохранилища Приложение № 3. Кривая обеспеченности объема годового стока в створе Нижнекамского гидроузла на р. Каме за 1914/15 - 2010/11 годы Приложение № 4. Кривая обеспеченности стока за II квартал в створе Нижнекамского гидроузла на р. Каме за 1914/15 - 2010/11 годы Приложение № 5. Кривая обеспеченности максимальных расходов в створе Нижнекамского гидроузла на р. Каме за 1881 - 2011 годы Приложение № 6. Эксплуатационная характеристика гидроагрегатного блока Нижнекамской ГЭС Приложение № 7. Эксплуатационная характеристика Нижнекамской ГЭС на линиях ограничения по расходу и мощности, построенная для 16 гидроагрегатов Приложение № 8. Характеристика пропускной способности одного донного водосброса Нижнекамской ГЭС при частичном и полном открытии затвора Приложение № 9. Характеристика пропускной способности одного пролета водосливной плотины Нижнекамской ГЭС при частичном и полном открытии затвора Приложение № 10. Характеристика суммарной пропускной способности Нижнекамского гидроузла в зависимости от уровней воды у плотины и в устье р. Вятки Приложение № 11. Зависимости объемов и площадей зеркала Нижнекамского водохранилища от уровня воды у плотины гидроузла Приложение № 12. Интерполяционная таблица площадей зеркала Нижнекамского водохранилища Приложение № 13. Интерполяционная таблица статических объёмов Нижнекамского водохранилища Приложение № 14. Кривые связи расходов и уровней воды р. Камы в нижнем бьефе Нижнекамского гидроузла в зависимости от уровня воды в Куйбышевском водохранилище в устье р. Вятки Приложение № 15. Диспетчерский график работы Нижнекамского гидроузла Приложение № 16. Расчетные обеспеченности расходов зарегулированного притока в Нижнекамское водохранилище Приложение № 17. Расчетные обеспеченности сбросных расходов Нижнекамского гидроузла Приложение № 18. Расчетные обеспеченности уровней воды у плотины Нижнекамского гидроузла Приложение № 19. Расчетные обеспеченности уровней воды в нижнем бьефе Нижнекамского гидроузла Приложение № 20. Расчетные обеспеченности напоров на Нижнекамском гидроузле Приложение № 21. Расчетные обеспеченности мощностей и выработки Нижнекамской ГЭС Приложение № 22. Расчетные режимы работы Нижнекамского гидроузла в характерные по водности годы Приложение № 23. Расчетный режим работы Нижнекамского гидроузла в 3-летнем маловодном периоде с 1936/37 г. по 1938/39 г. Приложение № 24. Расчеты пропуска через Нижнекамский г/у половодья по модели гидрографа притока 1979 г. Приложение № 25. Кривые свободной поверхности Нижнекамского водохранилища при пропуске половодий редкой повторяемости, модель 1979 г. Приложение № 26. Форма документа, содержащего указания по ведению режимов Нижнекамского водохранилища, список исполнителей, которым рассылаются указания, порядок оформления | | Утверждён: | 28.10.2014 Федеральное агентство водных ресурсов (Росводресурсы) (270)
| | Издан: | Официальный интернет-портал правовой информации (www.pravo.gov.ru) (от 26.02.2015. Номер опубликования: 0001201502260007)
| | Нормативные ссылки: | |
                                                                                                                                  
|