Скачать ТССЦ Самарская область 81-01-2001 Часть III. Материалы и изделия для санитарно-технических работ. Территориальные сметные цены на материалы, изделия и конструкции, применяемые в строительствеДата актуализации: 01.01.2021
|
| Обозначение: | ТССЦ Самарская область 81-01-2001 |
| Обозначение англ: | 81-01-2001 |
| Статус: | действует |
| Название рус.: | Часть III. Материалы и изделия для санитарно-технических работ. Территориальные сметные цены на материалы, изделия и конструкции, применяемые в строительстве |
| Дата добавления в базу: | 01.01.2021 |
| Дата актуализации: | 01.01.2021 |
| Область применения: | Территориальные сметные цены на материалы, изделия и конструкции, применяемые в строительстве предназначены для определения сметной стоимости строительно-монтажных (ремонтно-строительных) работ, а также при разработке Территориальных единичных расценок на строительные, монтажные и ремонтно-строительные работы. |
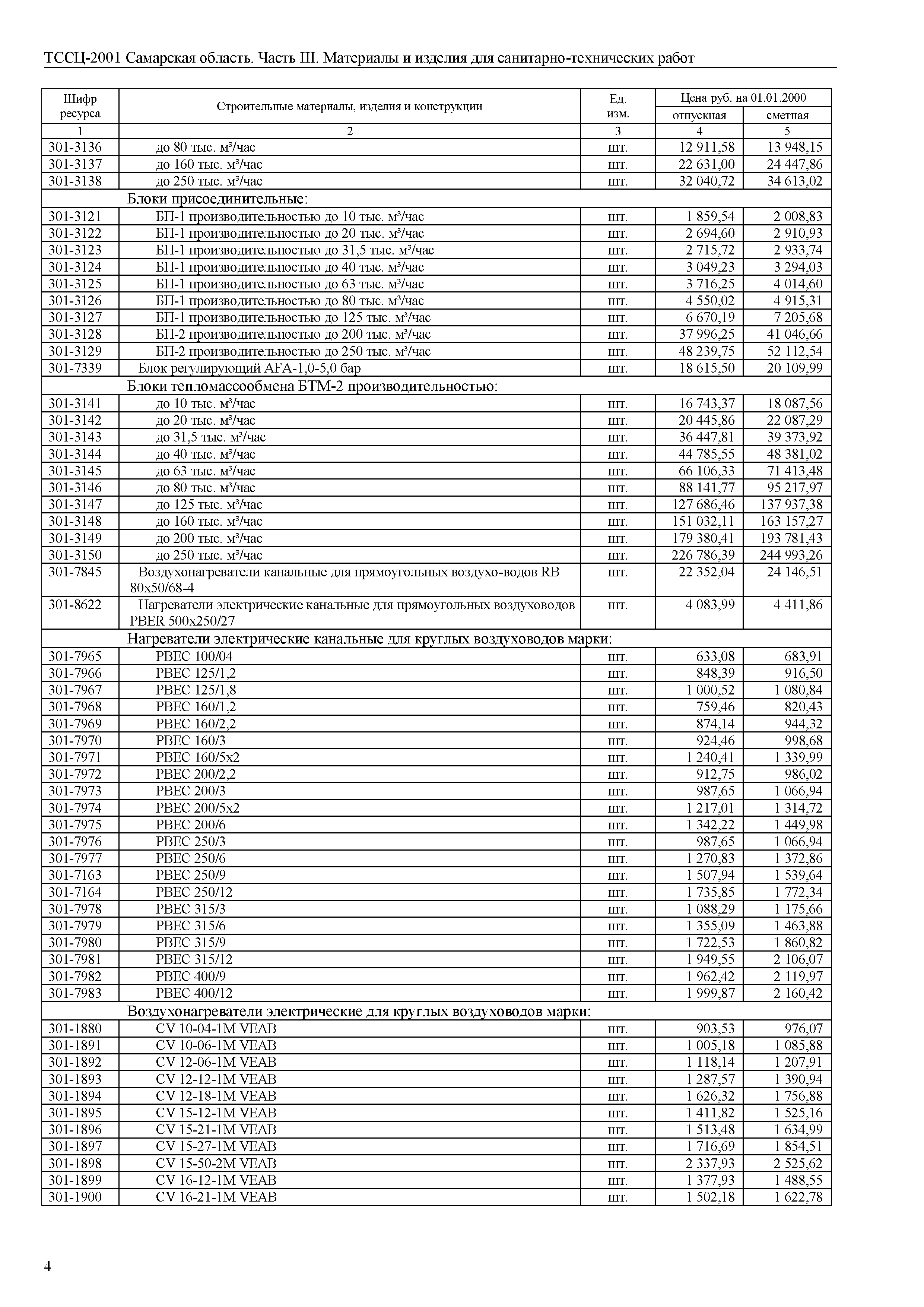
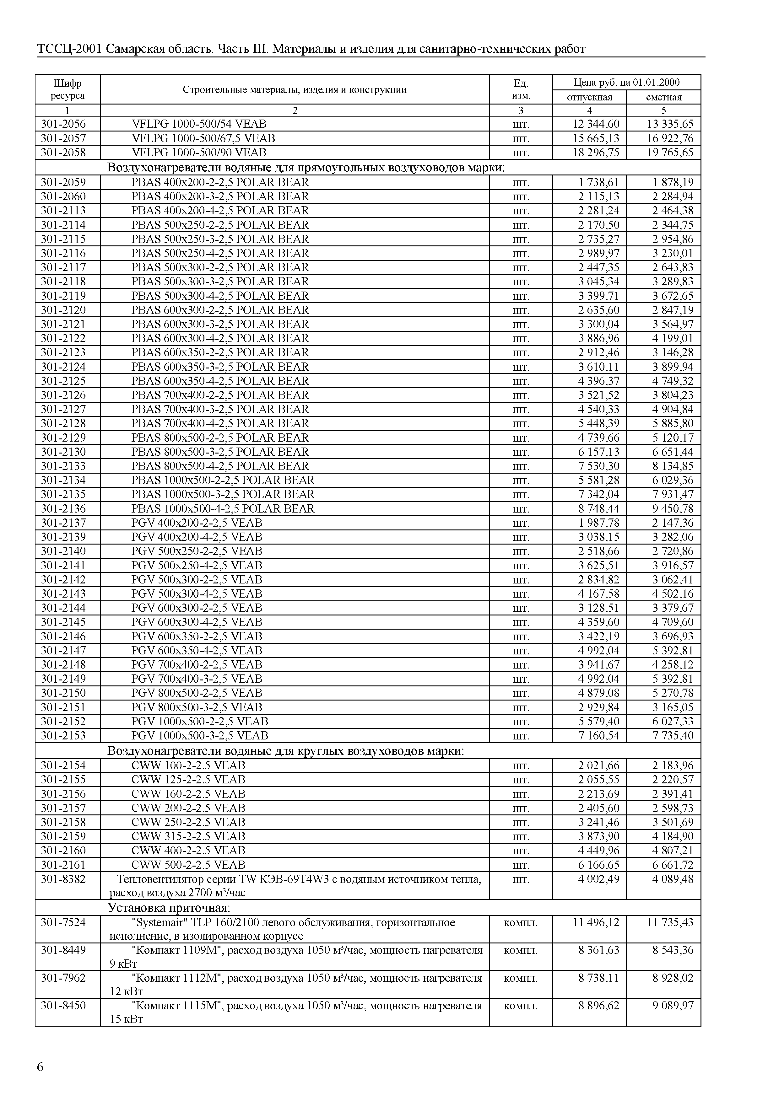
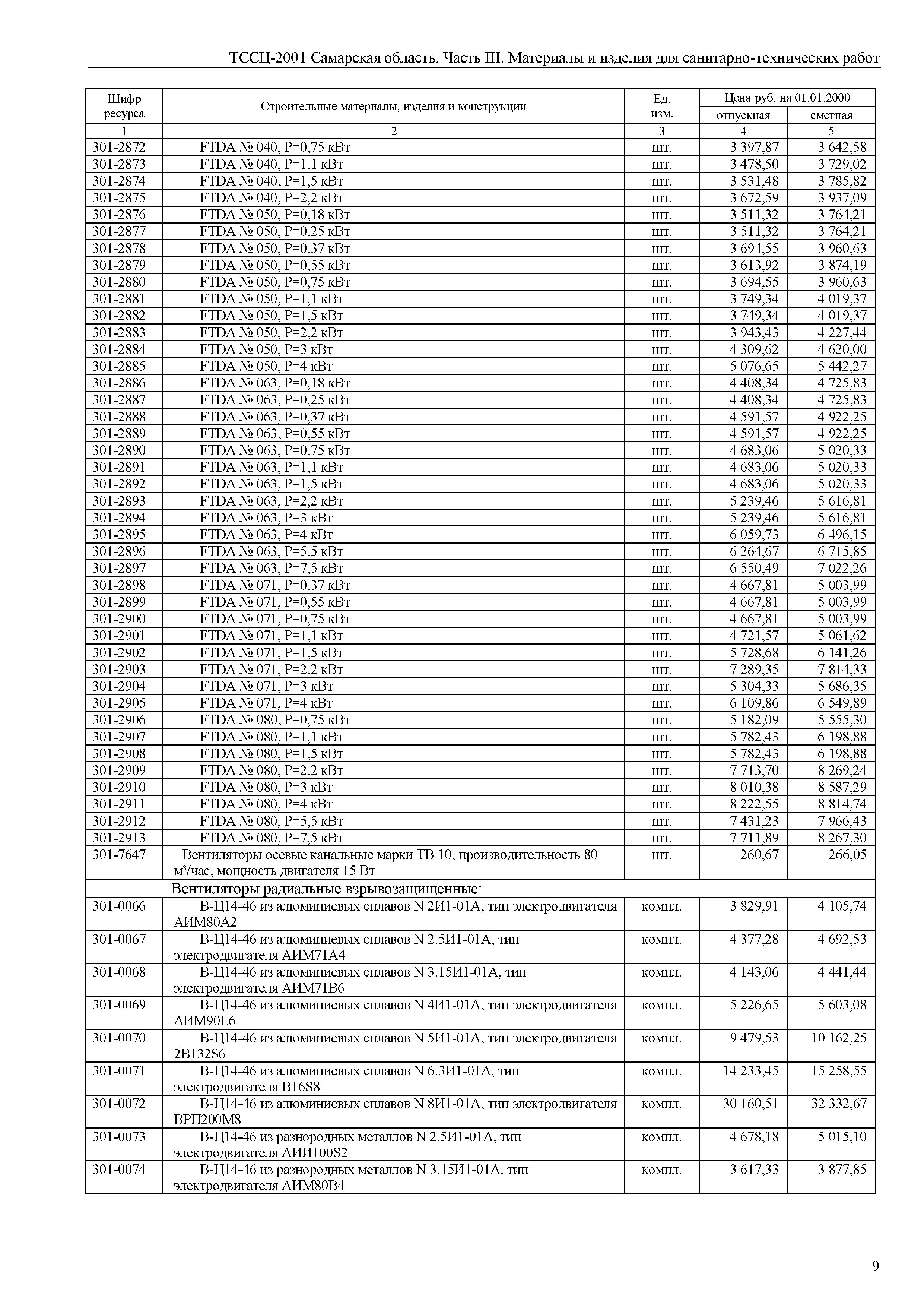
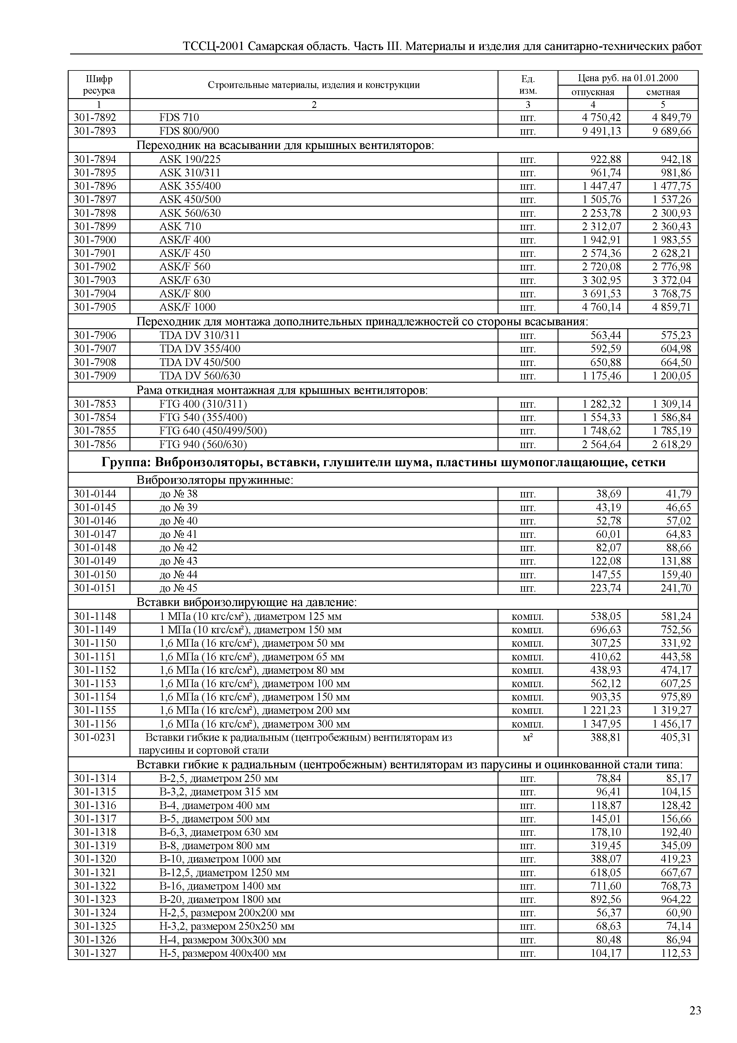
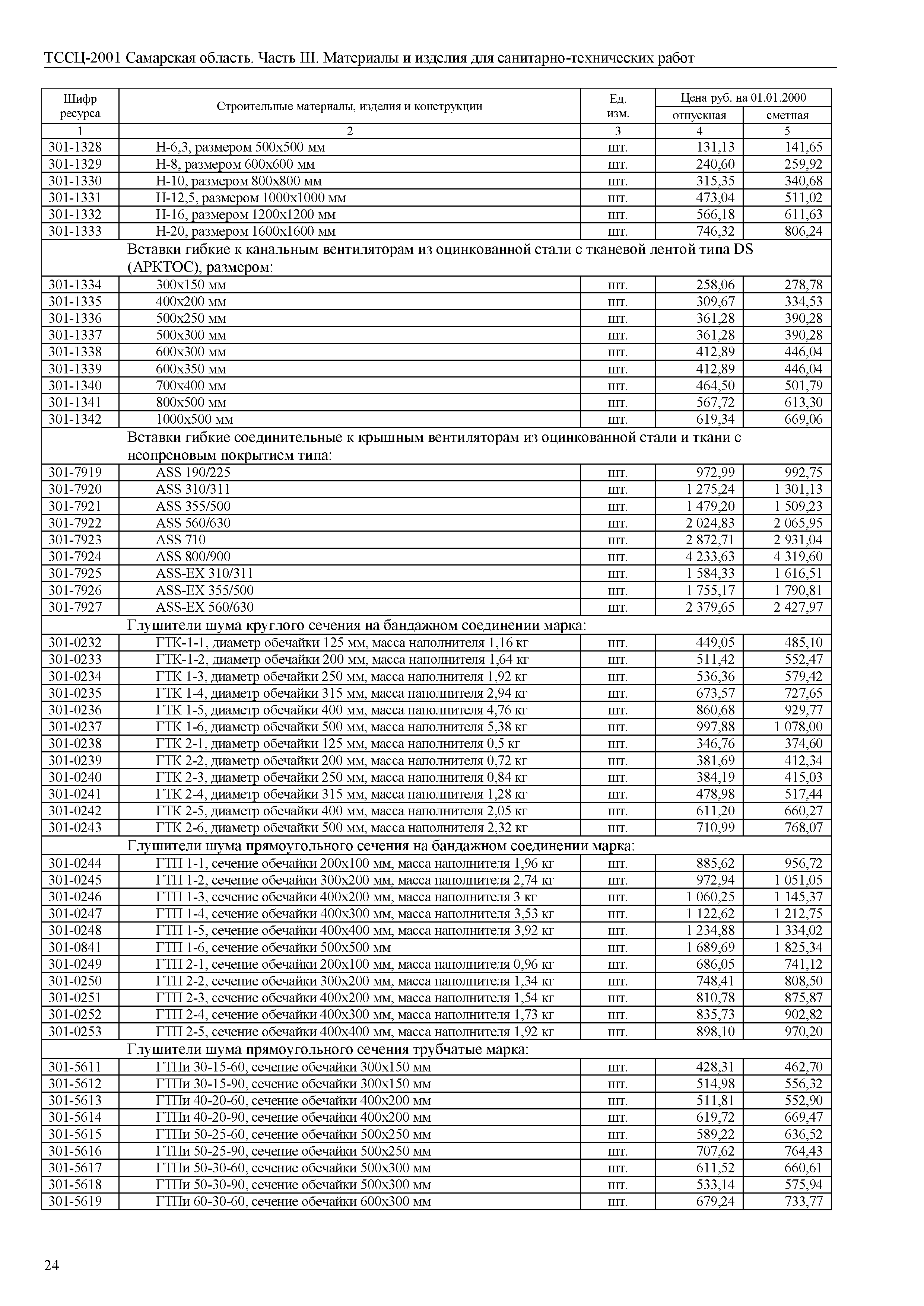
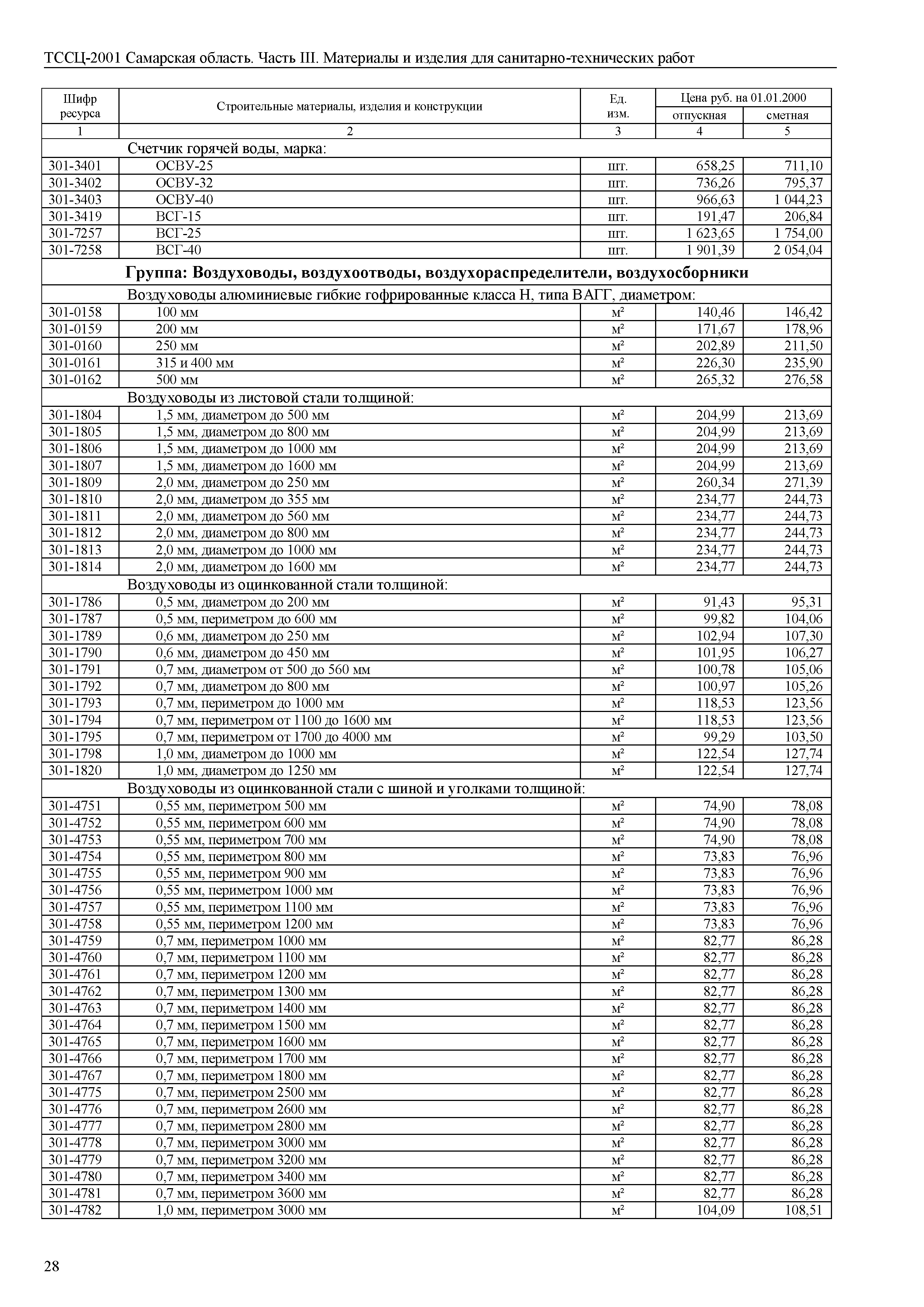
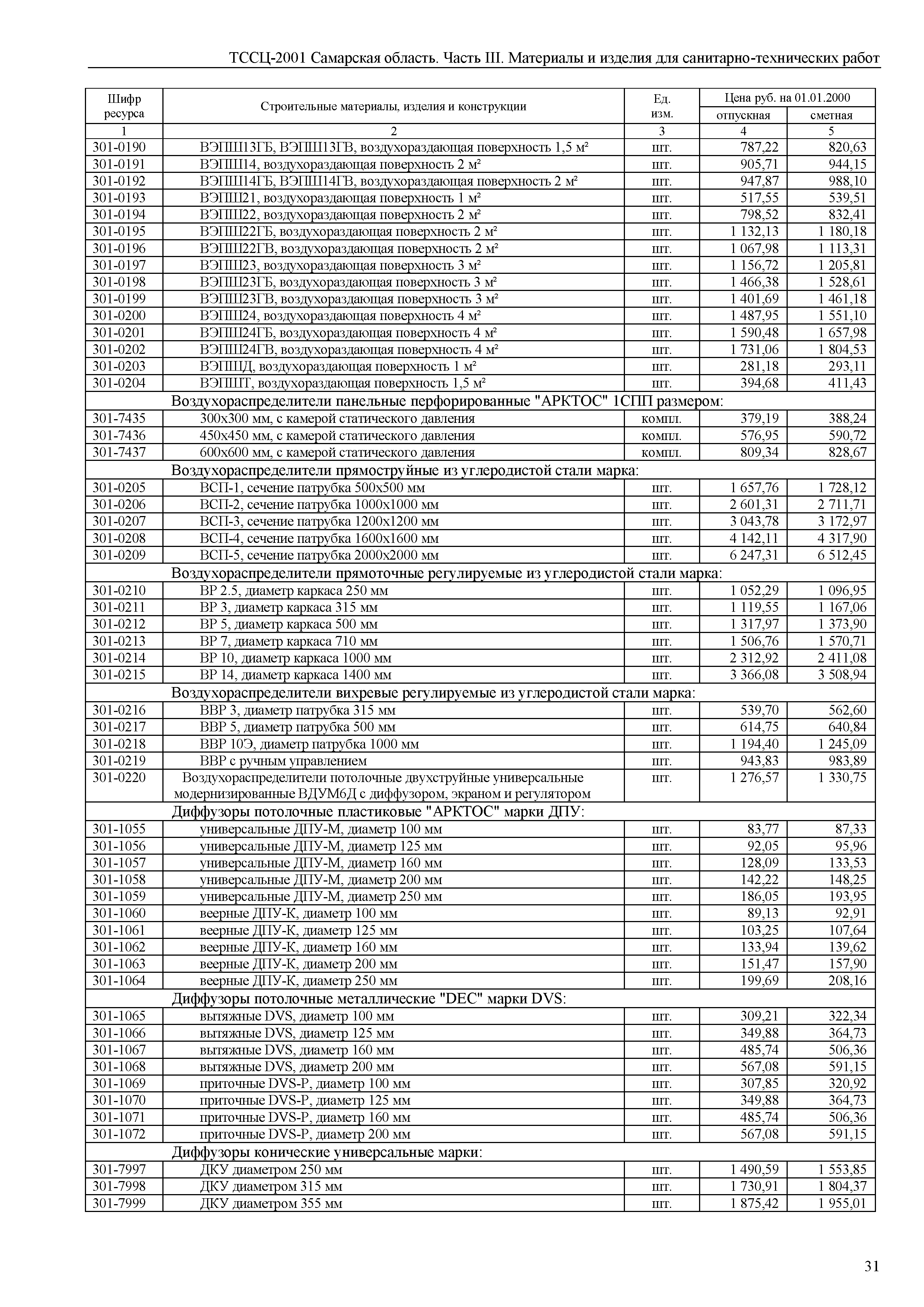
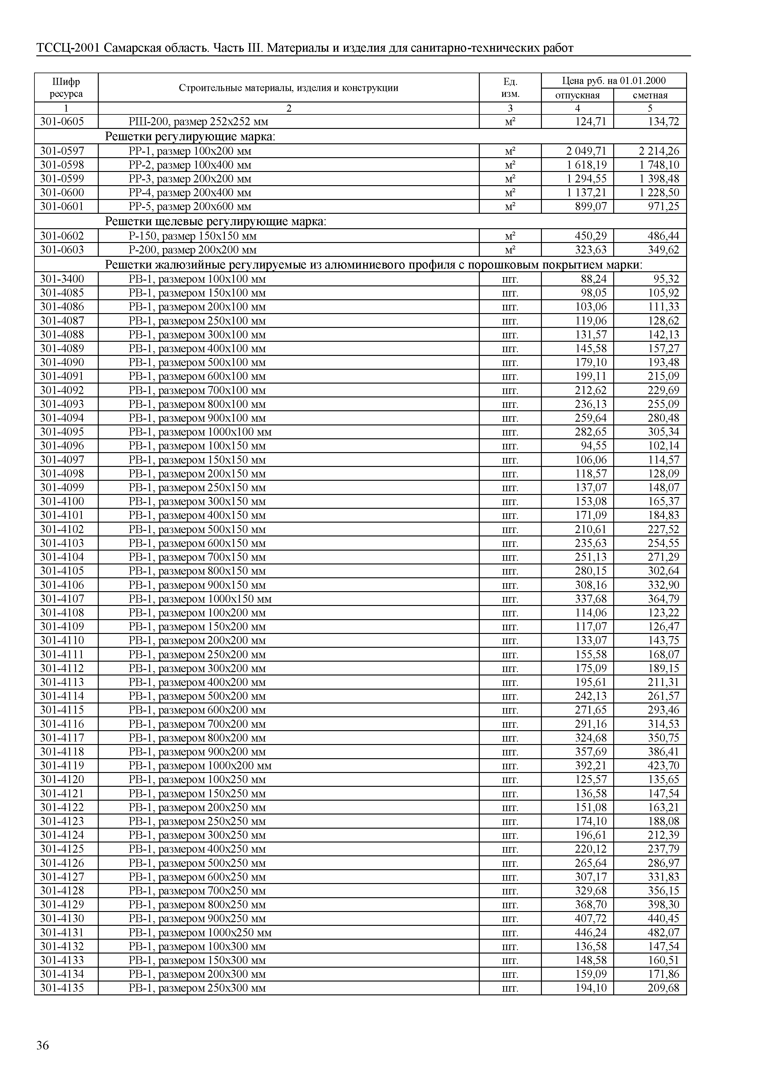
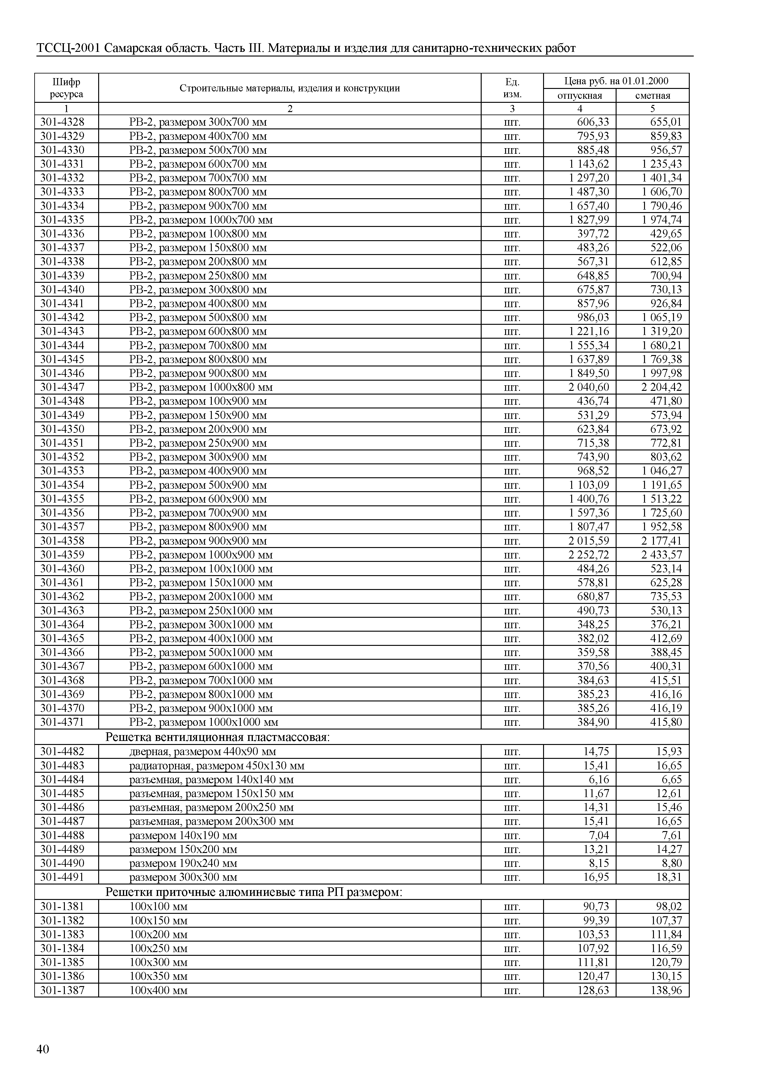
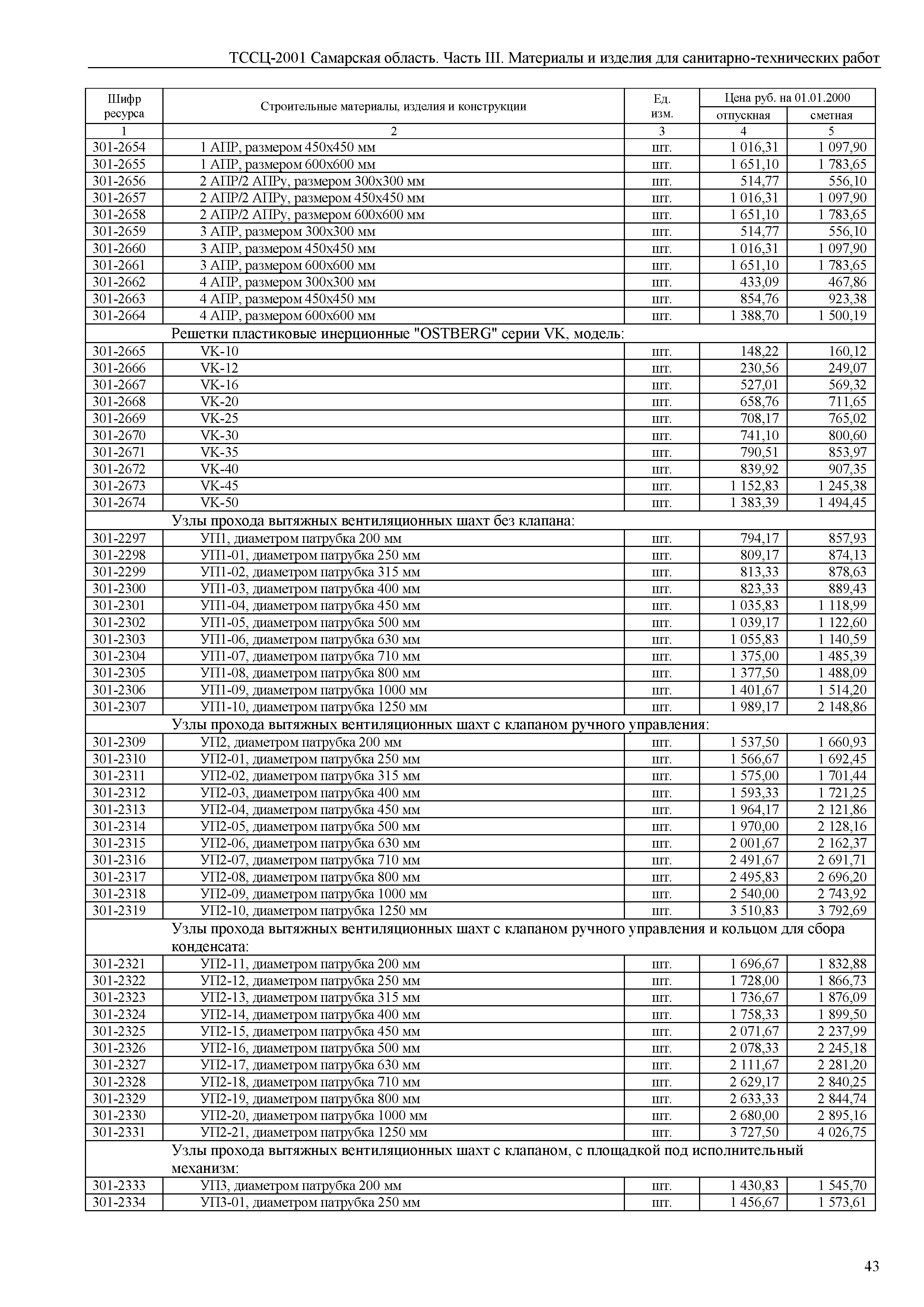
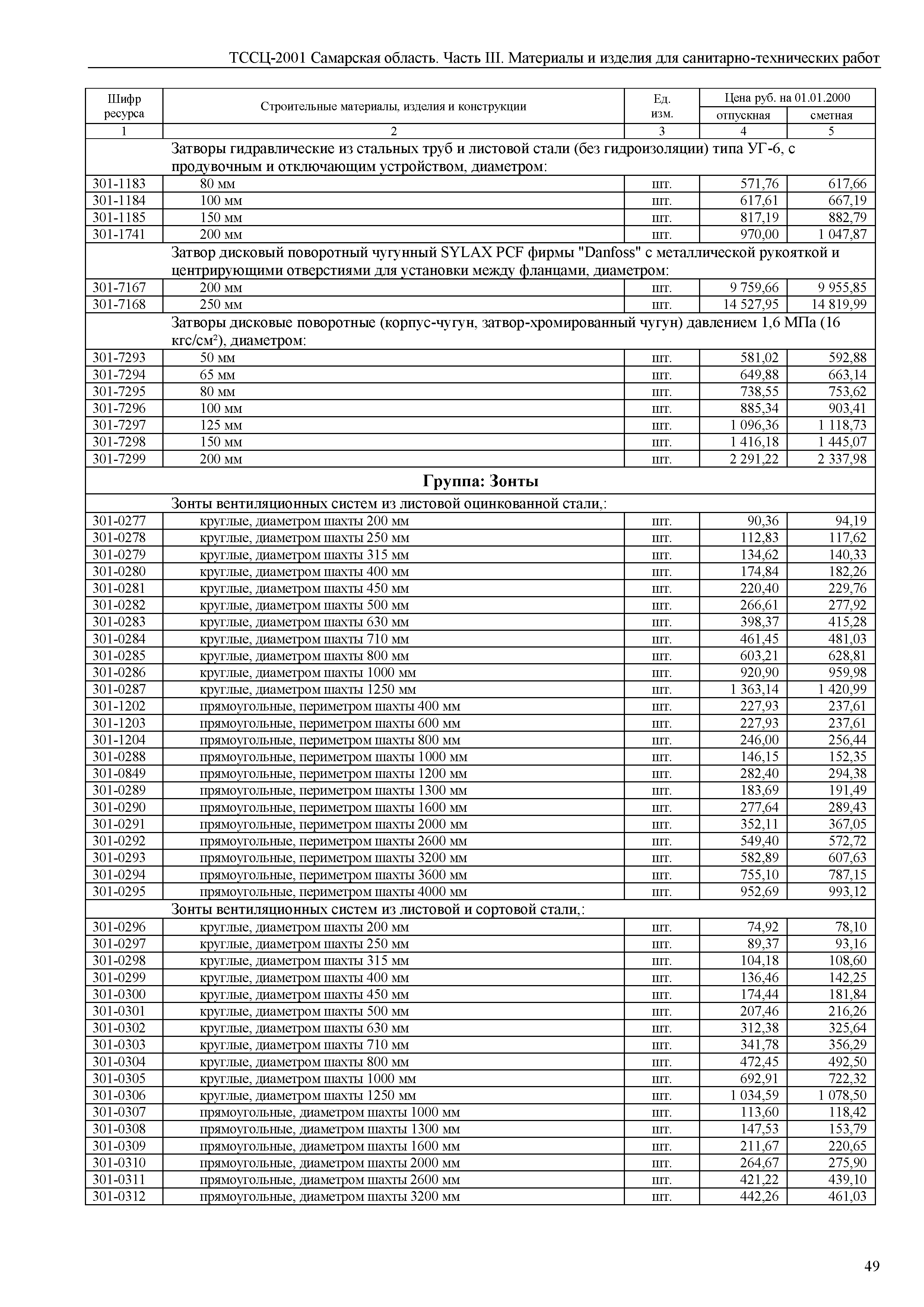
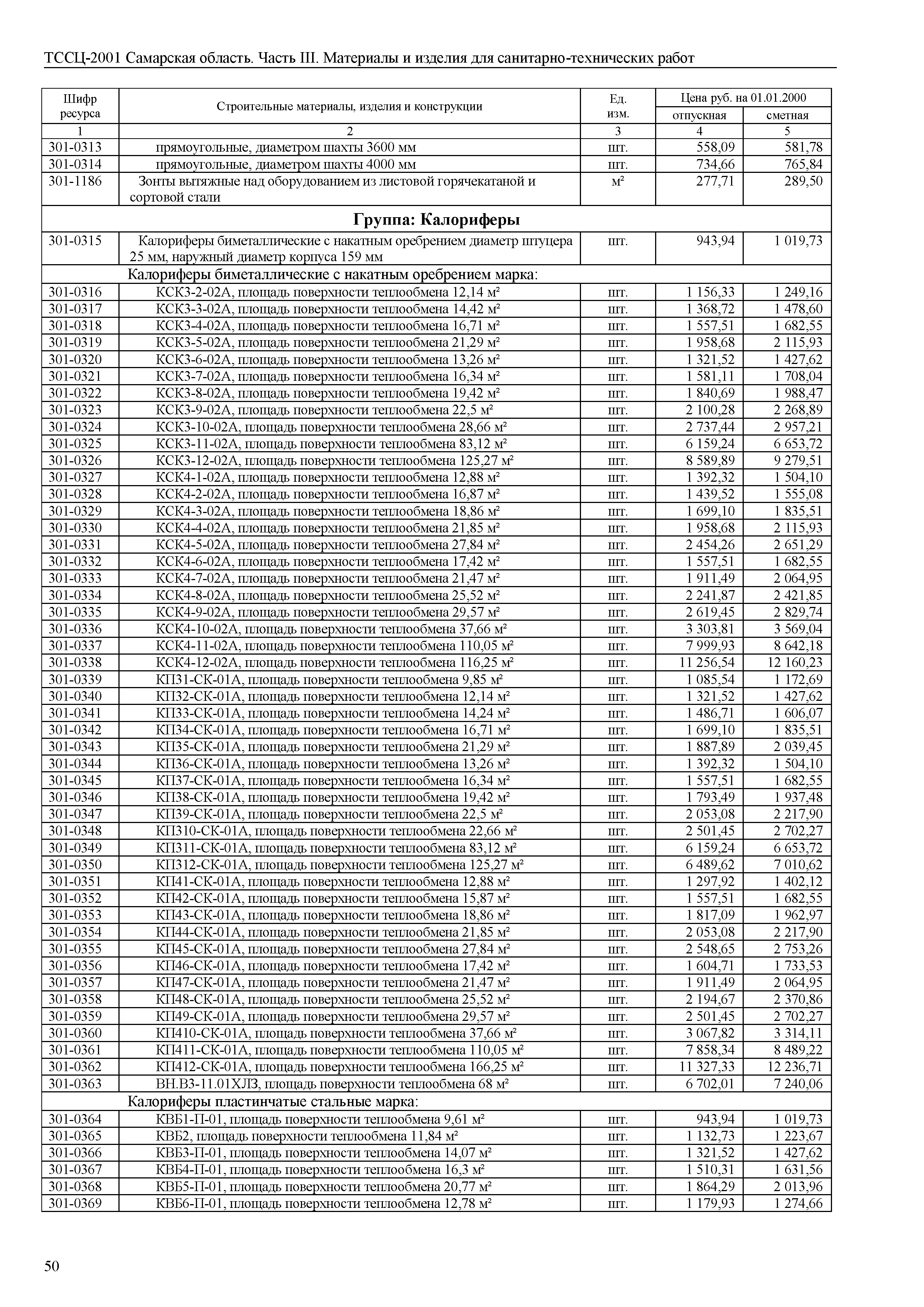
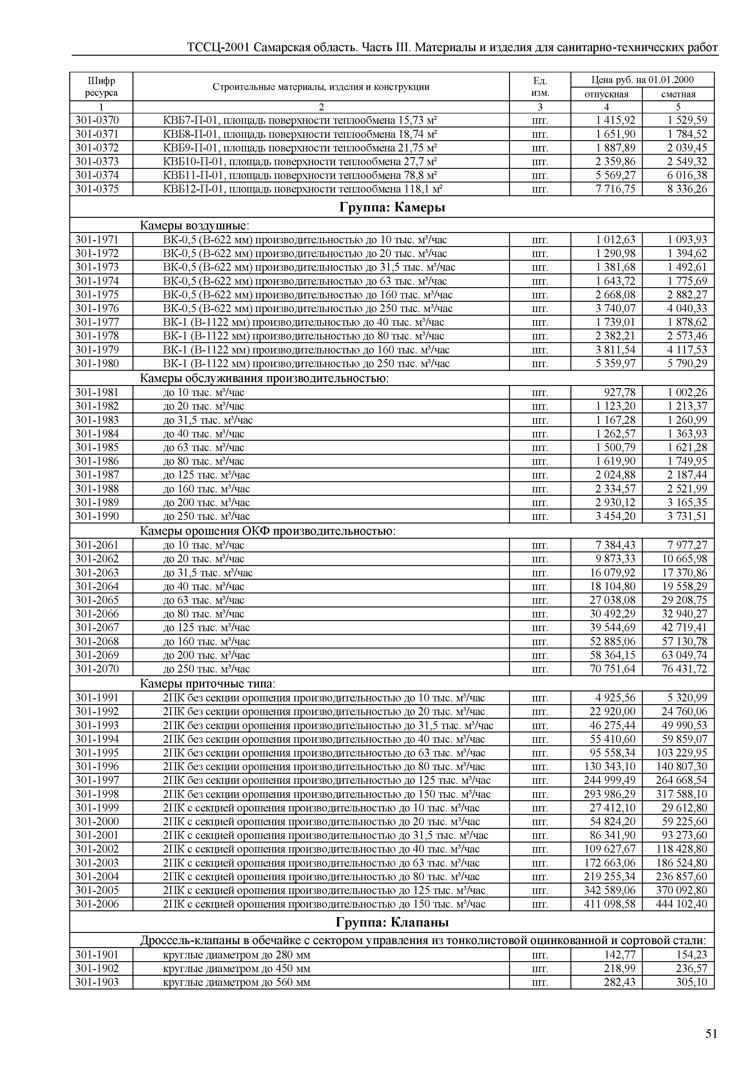
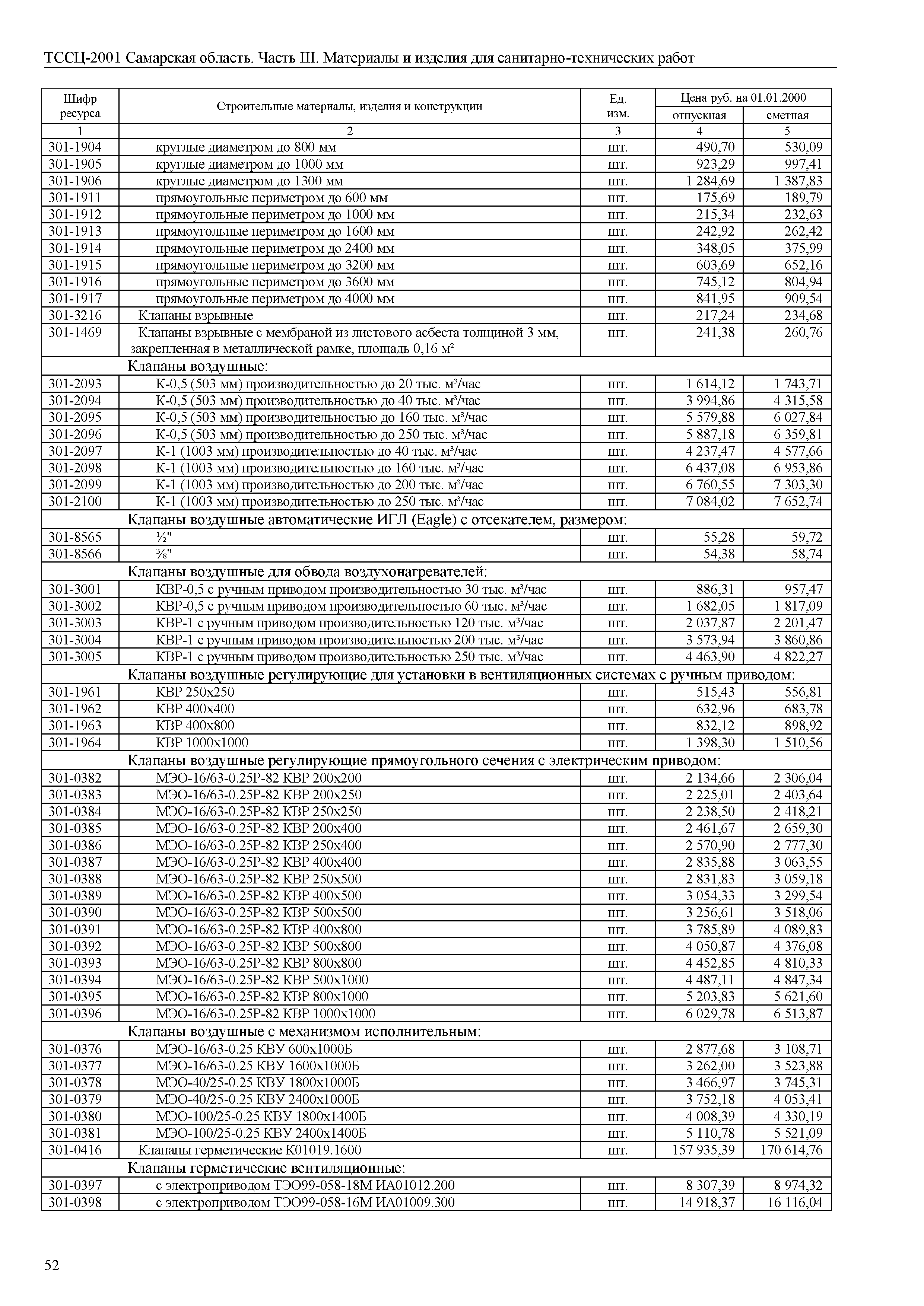
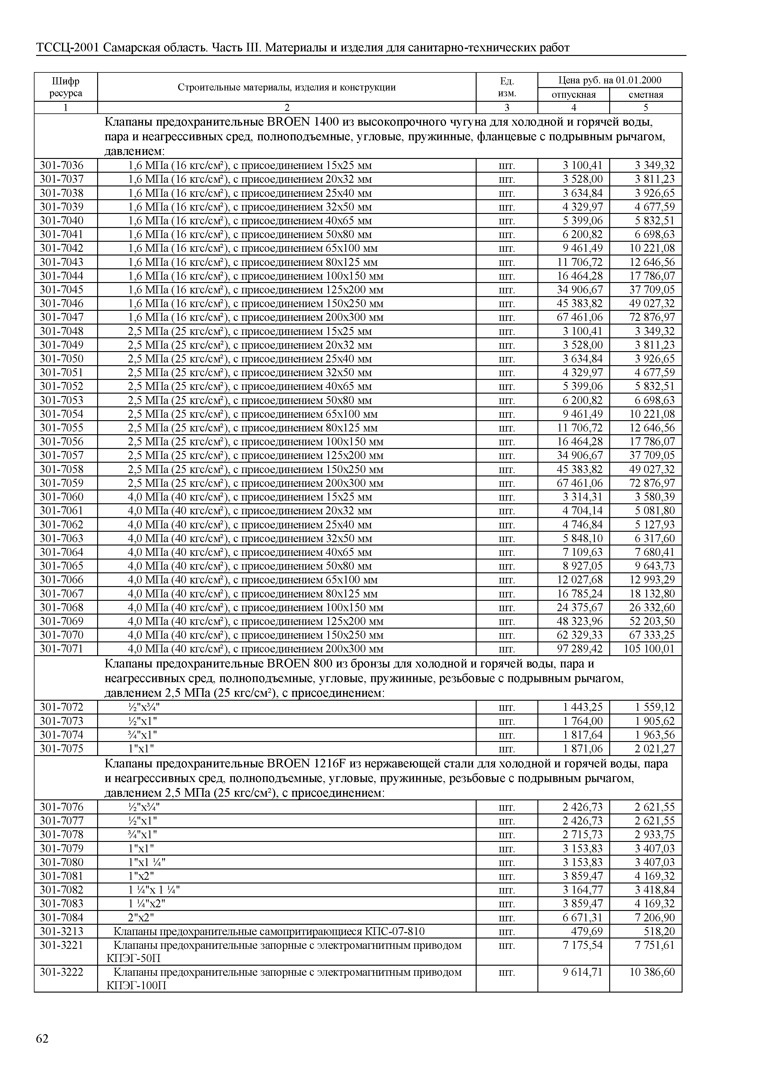
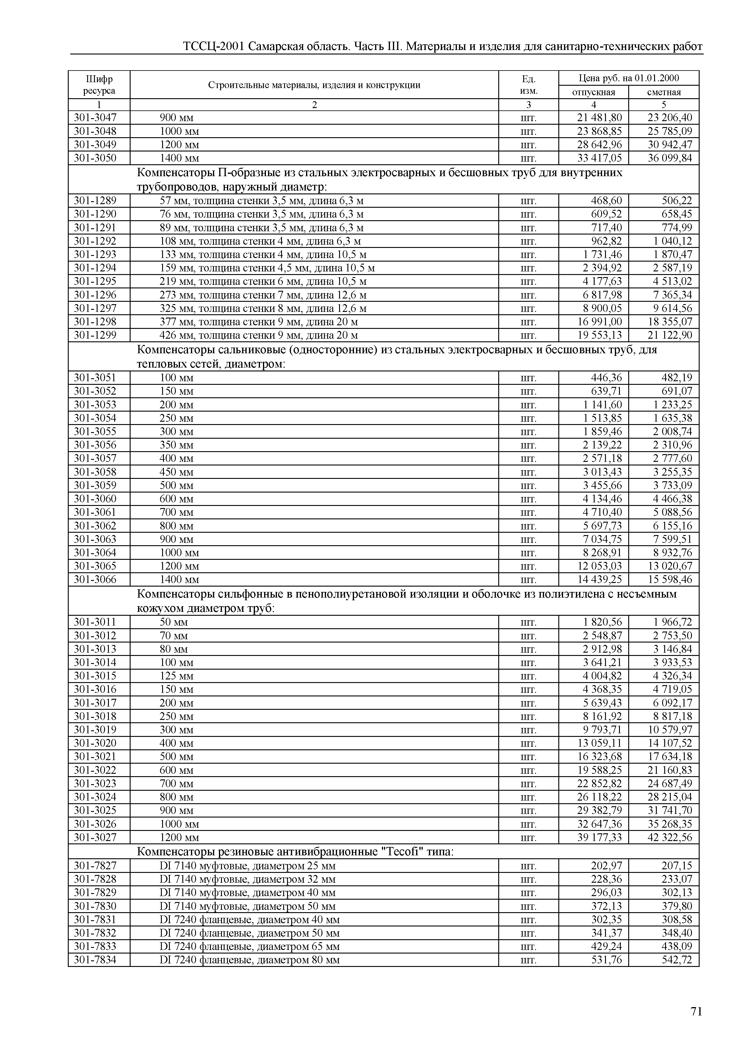
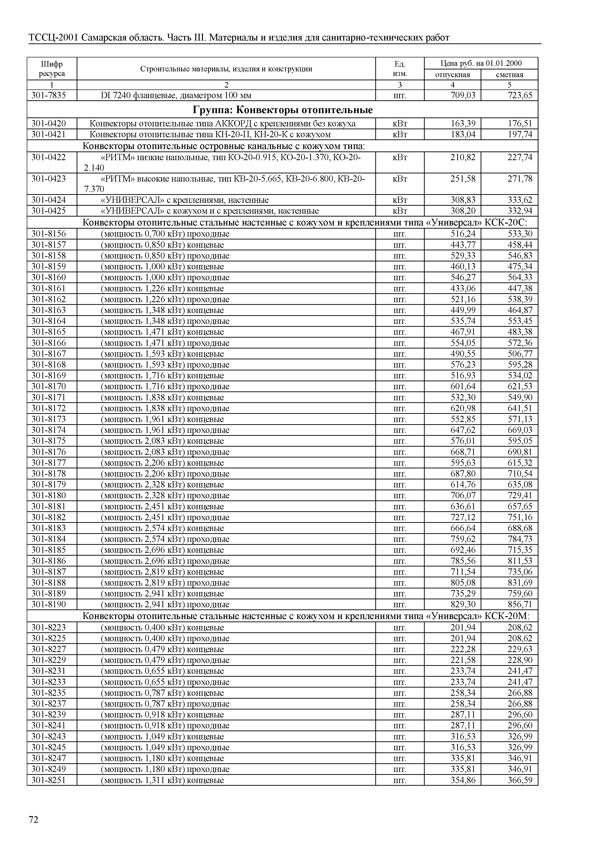
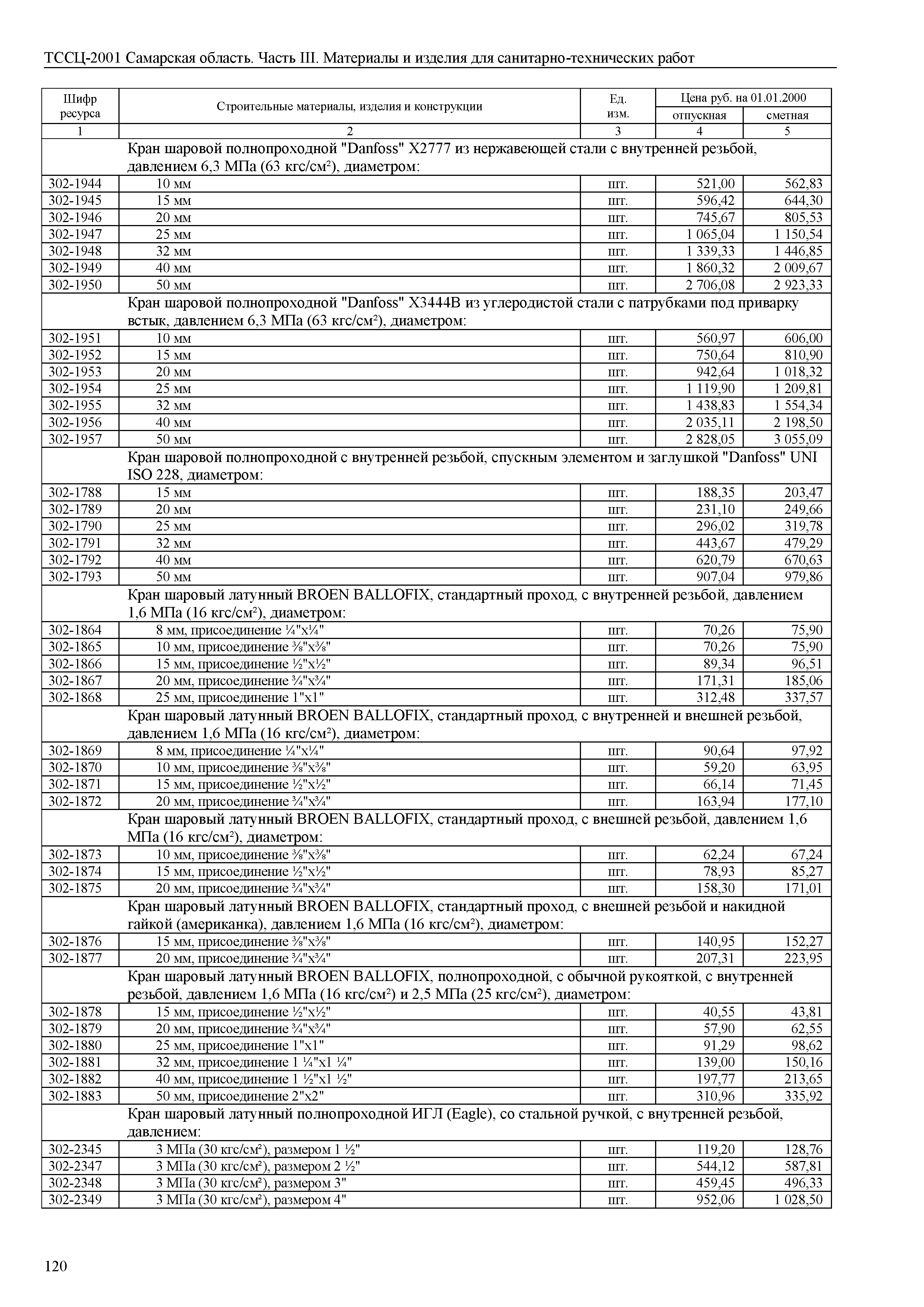
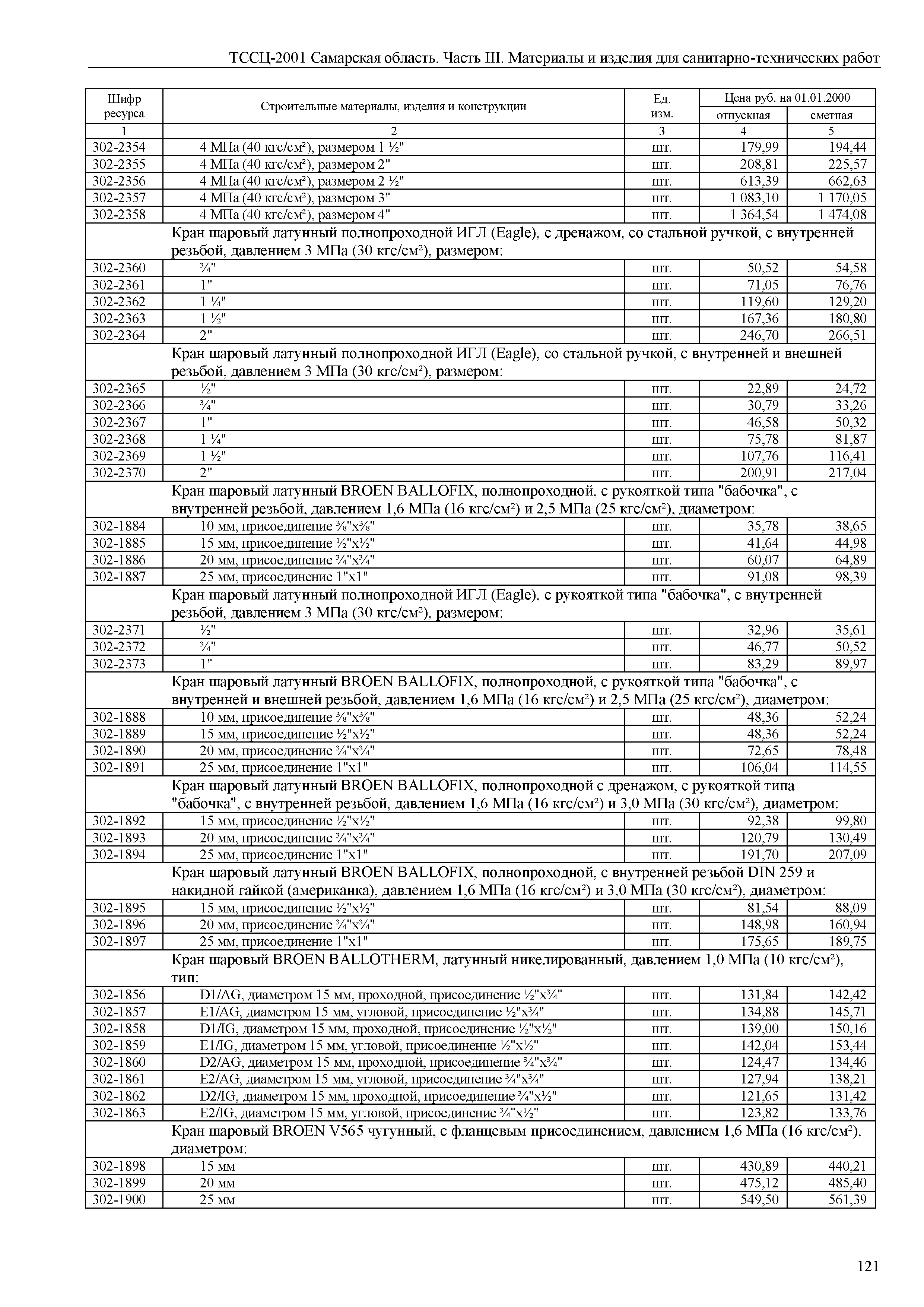
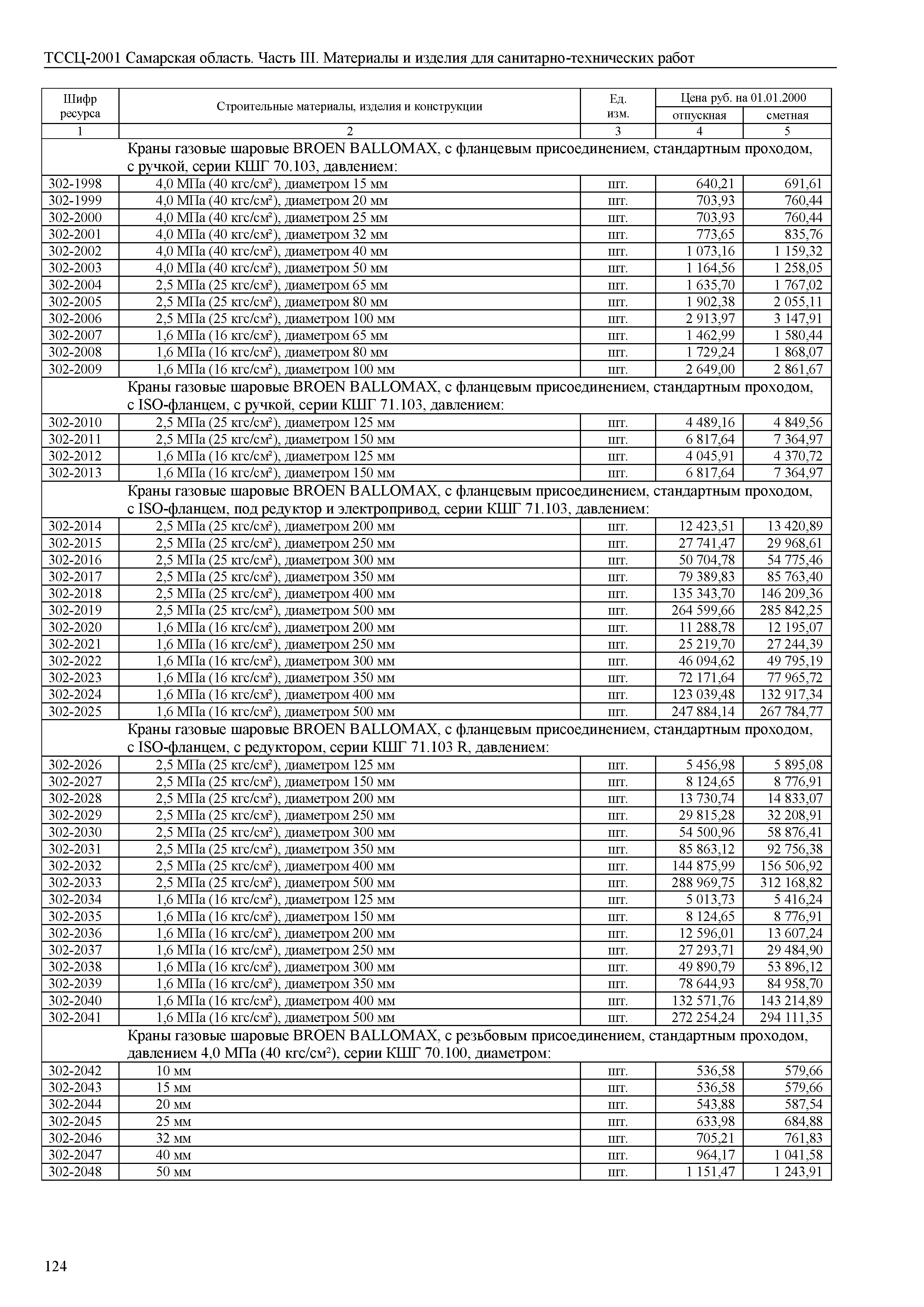
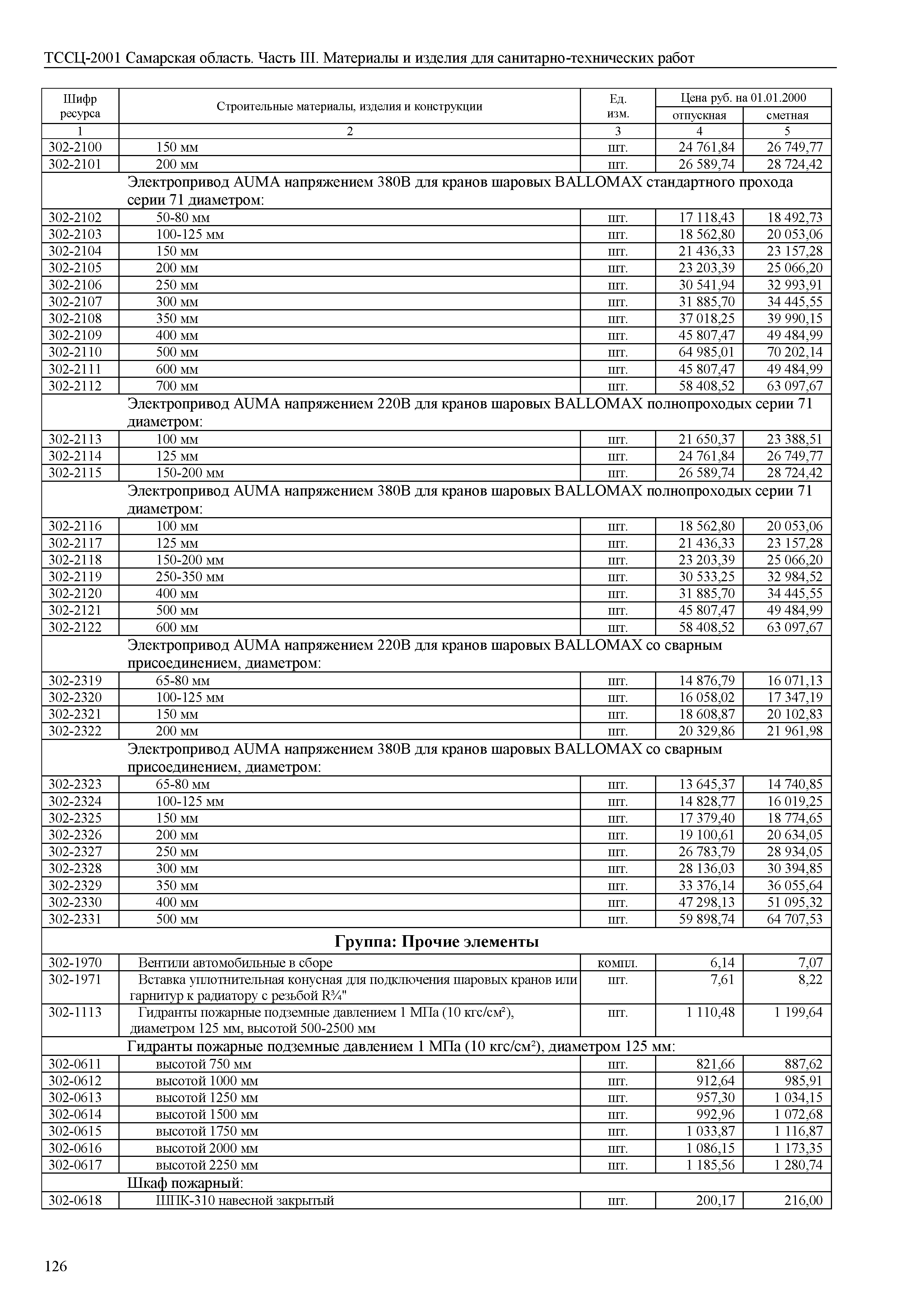
| Оглавление: | Часть III. Материалы и изделия для санитарно-технических работ Раздел 3.01. Санитарно-технические материалы и изделия Подраздел: Санитарно-технические материалы и изделия Группа: Агрегаты отопительные и вентиляционные Группа: Аппараты водонагревательные, водоподогреватели, колонки водогрейные Группа: Баки и поддоны для воды Группа: Баки расширительные и конденсационные Группа: Баллоны для сжиженных газов Группа: Вентиляторы Группа: Виброизоляторы, вставки, глушители шума, пластины шумопоглащающие, сетки Группа: Водомеры (счетчики) Группа: Воздуховоды, воздухоотводы, воздухораспределители, воздухосборники Группа: Воронки Группа: Газогорелочное оборудование Группа: Гребенки паро-водораспределительные Группа: Грязевики Группа: Дефлекторы Группа: Диафрагмы камерные Группа: Заглушки Группа: Заслонки Группа: Затворы Группа: Зонты Группа: Калориферы Группа: Камеры Группа: Клапаны Группа: Компенсаторы Группа: Конвекторы отопительные Группа: Кондиционеры Группа: Конденсатоотводчики и комплектующие Группа: Котлы Группа: Крепления Группа: Мусоропровод Группа: Насосы Группа: Плиты газовые Группа: Счетчики газовые Группа: Полотенцесушители Группа: Приборы вентиляционных камер и шахт Группа: Приборы печные Группа: Прочие санитарно-технические материалы, изделия и приборы Группа: Радиаторы, изделия для радиаторов и их монтажа Группа: Регистры отопительные Группа: Рукава, стволы и головки для рукавов Группа: Трапы Группа: Фильтры Группа: Циклоны Группа: Шиберы Подраздел: Санитарно-технические приборы и комплектующие Группа: Бачки смывные Группа: Биде, унитазы, писсуары Группа: Ванны Группа: Кабины и поддоны душевые Группа: Мойки и умывальники Группа: Прочие санитарно-технические приборы и комплектующие Группа: Раковины Группа: Смесители Раздел 3.02. Трубопроводы, арматура, фасонные и соединительные части Группа: Вентили Группа: Водомеры в трубной обвязке Группа: Задвижки Группа: Конденсатоотводчики в трубной обвязке Группа: Краны Группа: Прочие элементы Группа: Регулятор давления и изделия для монтажа Группа: Соединительная арматура трубопроводов Группа: Трубопроводы Группа: Трубопроводы обвязки Группа: Трубы сливные Группа: Узлы укрупненные монтажные (для трубопроводов) Алфавитный указатель |
| Утверждён: | 12.11.2014 Минстрой России (Russian Federation Minstroy 703/пр) |
| Издан: | С сайта: (2014 г. ) |









































































































































































































































































