Скачать ГОСТ Р ИСО 18275-2020 Материалы сварочные. Электроды покрытые для ручной дуговой сварки высокопрочных сталей. КлассификацияДата актуализации: 01.01.2021
|
| Обозначение: | ГОСТ Р ИСО 18275-2020 |
| Обозначение англ: | GOST R ISO 18275-2020 |
| Статус: | введен впервые |
| Название рус.: | Материалы сварочные. Электроды покрытые для ручной дуговой сварки высокопрочных сталей. Классификация |
| Название англ.: | Welding consumables. Covered electrodes for manual metal arc welding of high-strength steels. Classification |
| Дата добавления в базу: | 01.01.2021 |
| Дата актуализации: | 01.01.2021 |
| Дата введения: | 01.11.2020 |
| Область применения: | Стандарт устанавливает требования к классификации покрытых электродов, основанной на свойствах наплавленного металла в состоянии непосредственно после сварки и после термообработки для ручной дуговой сварки высокопрочных сталей с минимальным пределом текучести более 500 МПа или минимальной прочностью на растяжение более 570 МПа. Стандарт устанавливает общие технические требования, обеспечивающие классификацию по системе на основе предела текучести и средней энергии удара 47 Дж для наплавленного металла или по системе на основе предела прочности при растяжении и средней энергии удара 27 Дж для наплавленного металла: a) пункты, подпункты и таблицы с буквенным индексом "A" применяются только для электродов, классифицированных по системе на основе предела текучести и средней энергии удара 47 Дж для наплавленного металла в соответствии со стандартом; b) пункты, подпункты и таблицы с буквенным индексом "B" применяются только для электродов, классифицированных по системе на основе предела прочности при растяжении и средней энергии удара 27 Дж для наплавленного металла; c) пункты, подпункты и таблицы без буквенного индекса "A" или "B" применяются для любых электродов, классифицированных в соответствии со стандартом. |
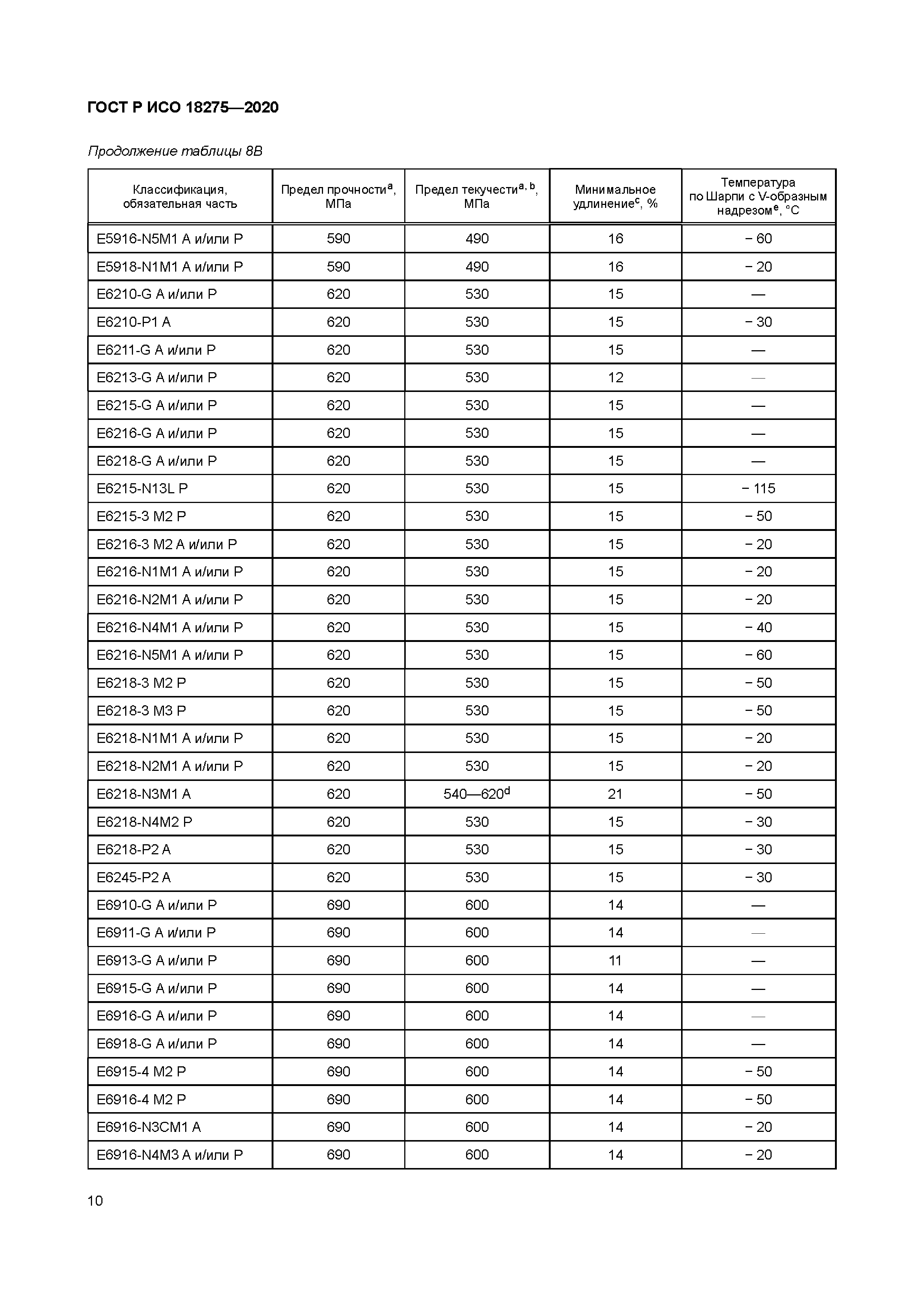
| Оглавление: | 1 Область применения 2 Нормативные ссылки 3 Термины и определения 4 Классификация 4.1 Основные положения 4.2 Обязательная и дополнительная части 5 Обозначения и требования 5.1 Обозначение изделия/процесса 5.2 Обозначение свойств наплавленного металла при растяжении 5.3 Обозначение ударных свойств наплавленного металла 5.4 Обозначение химического состава наплавленного металла 5.5 Обозначение типа покрытия электрода 5.6 Обозначение условий термообработки после сварки 5.7 Обозначение эффективного переноса металла электрода и рода тока 5.8 Обозначение положения при сварке 5.9 Обозначение содержания диффузионного водорода в наплавленном металле шва 5.10 Требования к механическим свойствам и химическому составу 6 Механические испытания 6.1 Общие положения 6.2 Температура предварительного подогрева и межслойная температура 6.3 Последовательность проходов 7 Химический анализ 8 Методика округления 9 Повторные испытания 10 Технические условия поставки 11 Примеры обозначений Приложение A (справочное) Классификационные системы Приложение B (справочное) Типы покрытия электродов. Классификация по пределу текучести энергии удара 47 Дж Приложение C (справочное) Типы покрытия электродов. Классификация по пределу прочности при растяжении и энергии удара 27 Дж Приложение D (справочное) Диффузионный водород Приложение E (справочное) Обозначение химического состава. Классификация по пределу текучести и энергии удара 47 Дж Приложение F (справочное) Обозначение химического состава. Классификация по пределу прочности при растяжении и энергии удара 27 Дж Приложение ДА (справочное) Сведения о соответствии ссылочных международных стандартов национальным стандартам Библиография |
| Разработан: | СРО Ассоциация НАКС |
| Утверждён: | 30.06.2020 Федеральное агентство по техническому регулированию и метрологии (320-ст) |
| Издан: | Стандартинформ (2020 г. ) |
| Нормативные ссылки: |
|






























