Скачать Положение о национальном парке Зигальга

Дата актуализации: 01.01.2021

Положение о национальном парке "Зигальга"

Статус:действует
Название рус.:Положение о национальном парке "Зигальга"
Дата добавления в базу:01.01.2021
Дата актуализации:01.01.2021
Дата введения:05.09.2020
Оглавление:I. Общие положения
II. Задачи национального парка
III. Режим особой охраны территории национального парка
IV. Государственный надзор в области охраны и использования территории национального парка
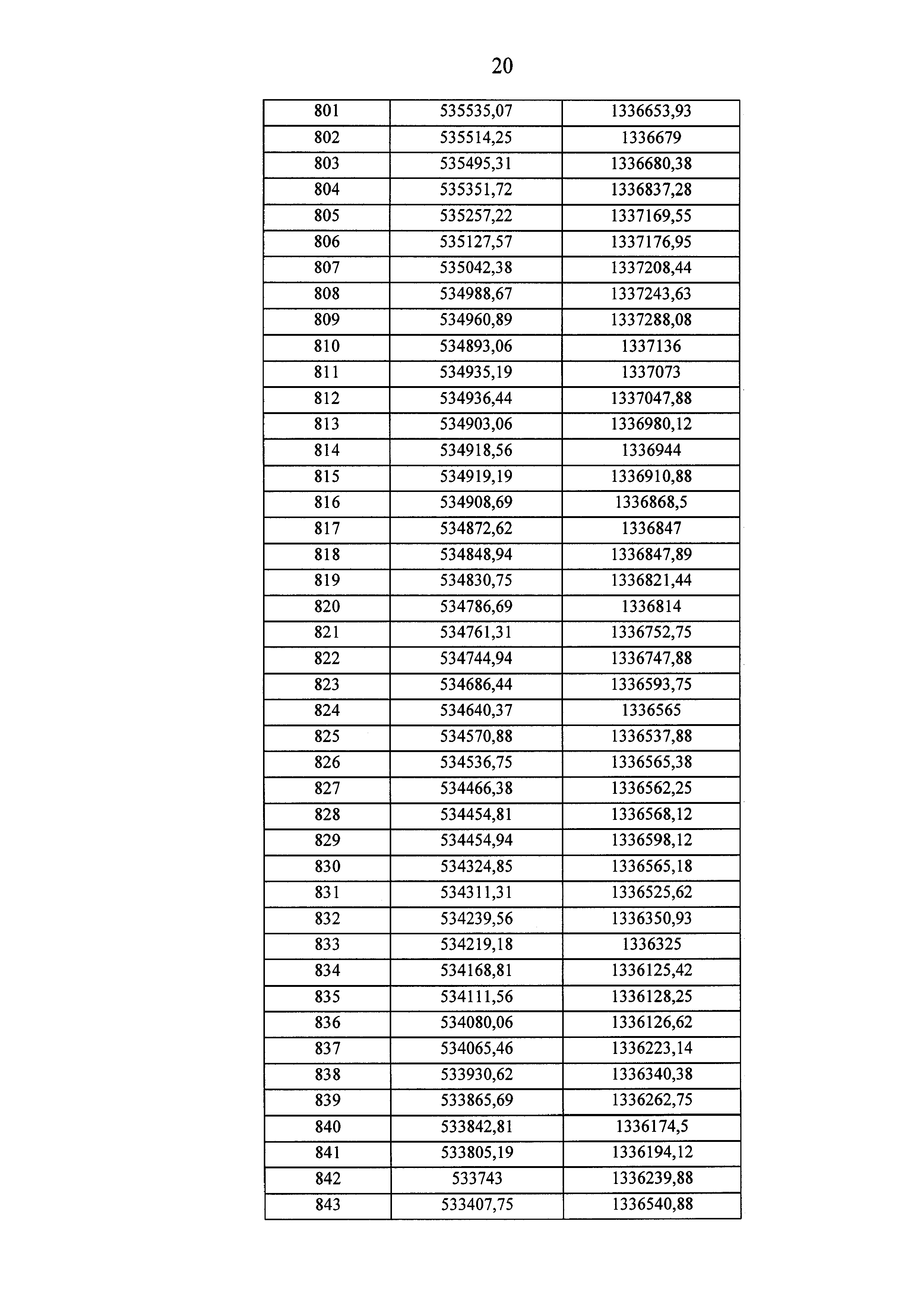
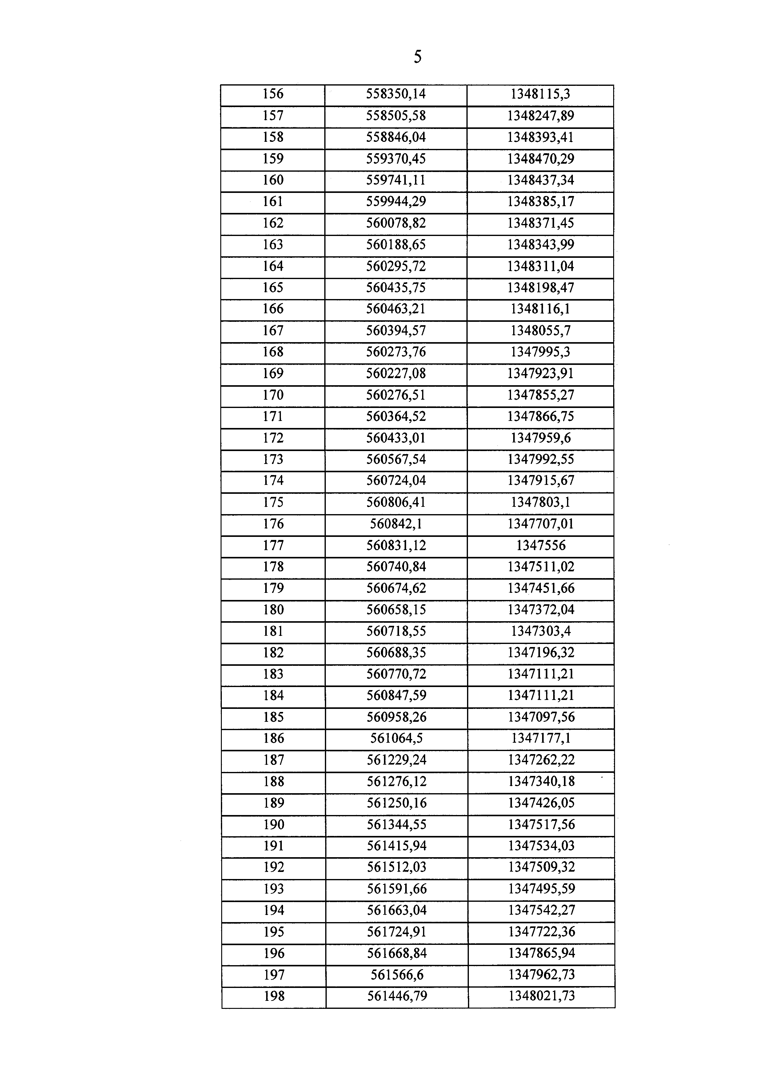
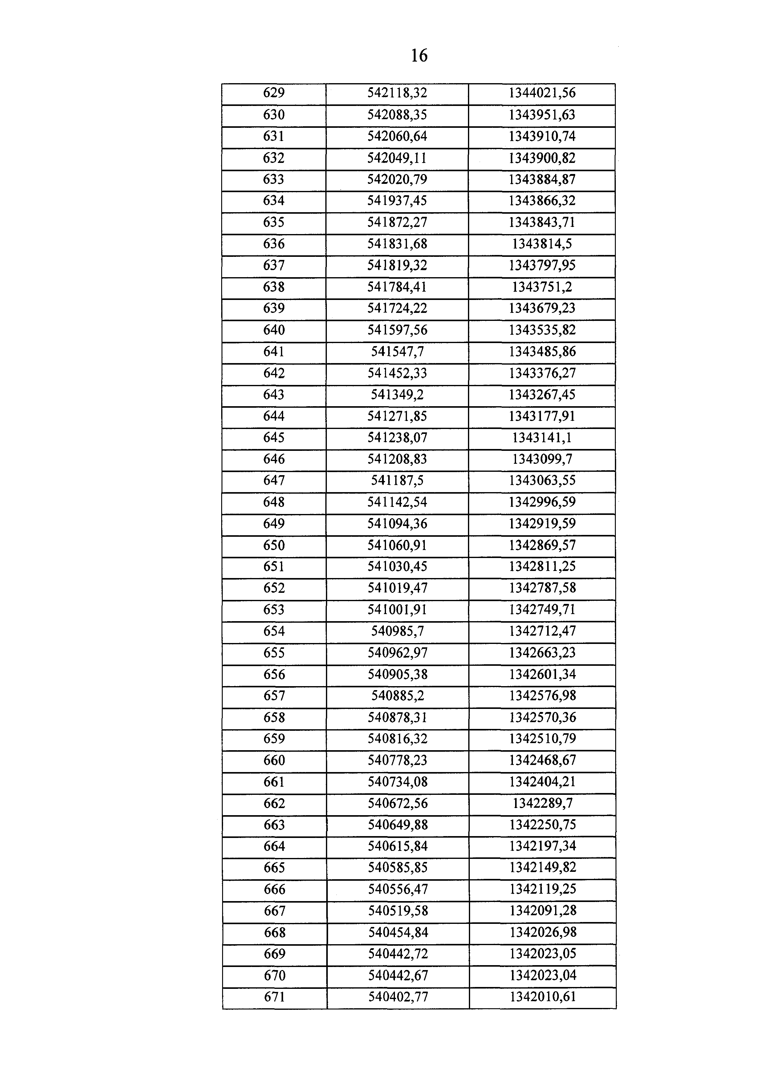
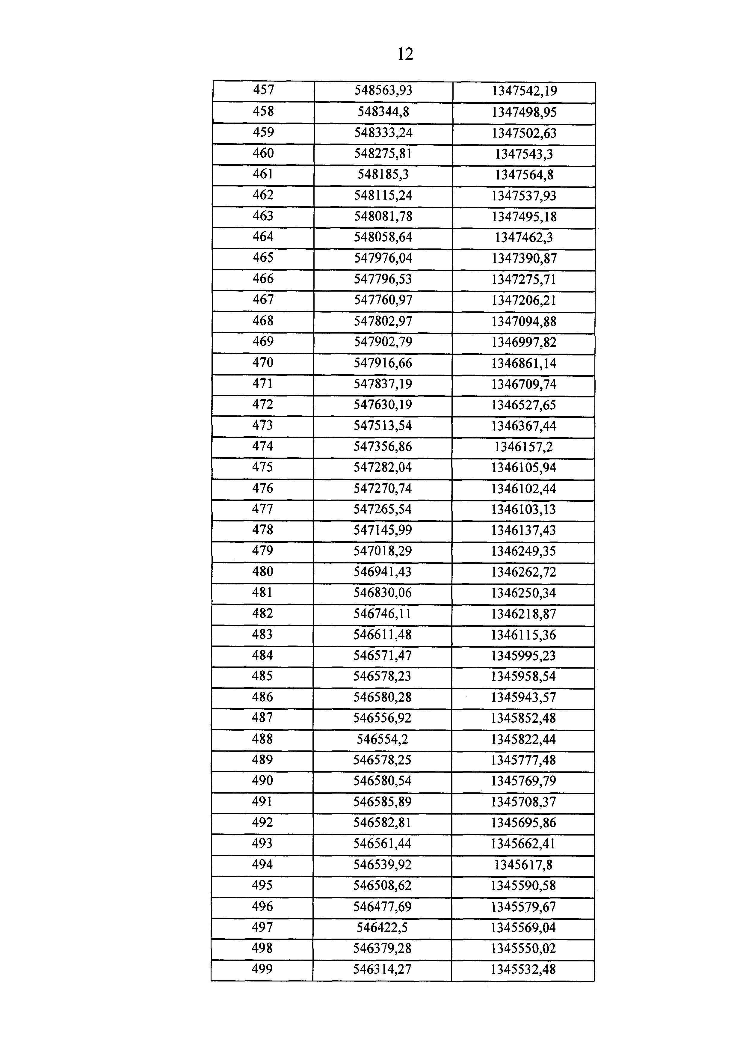
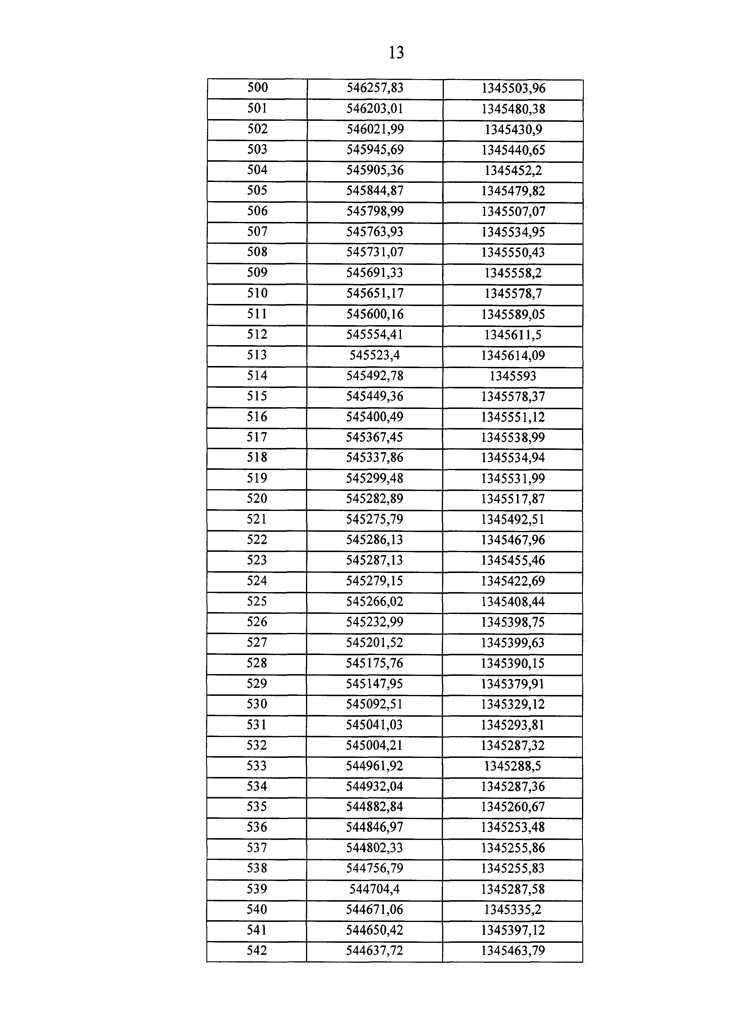
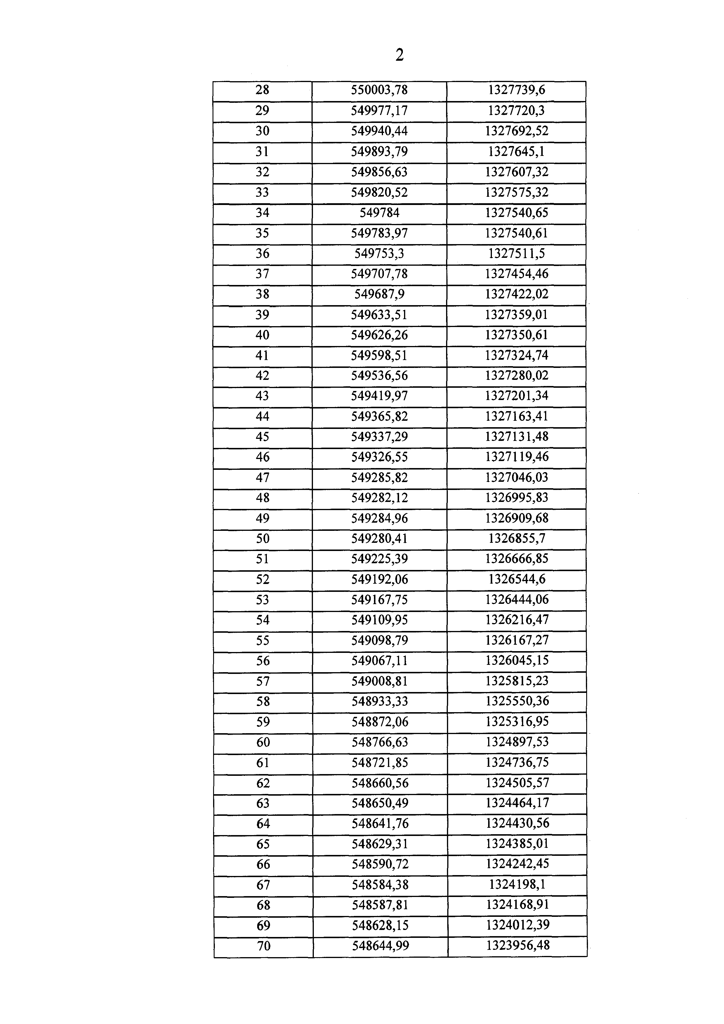
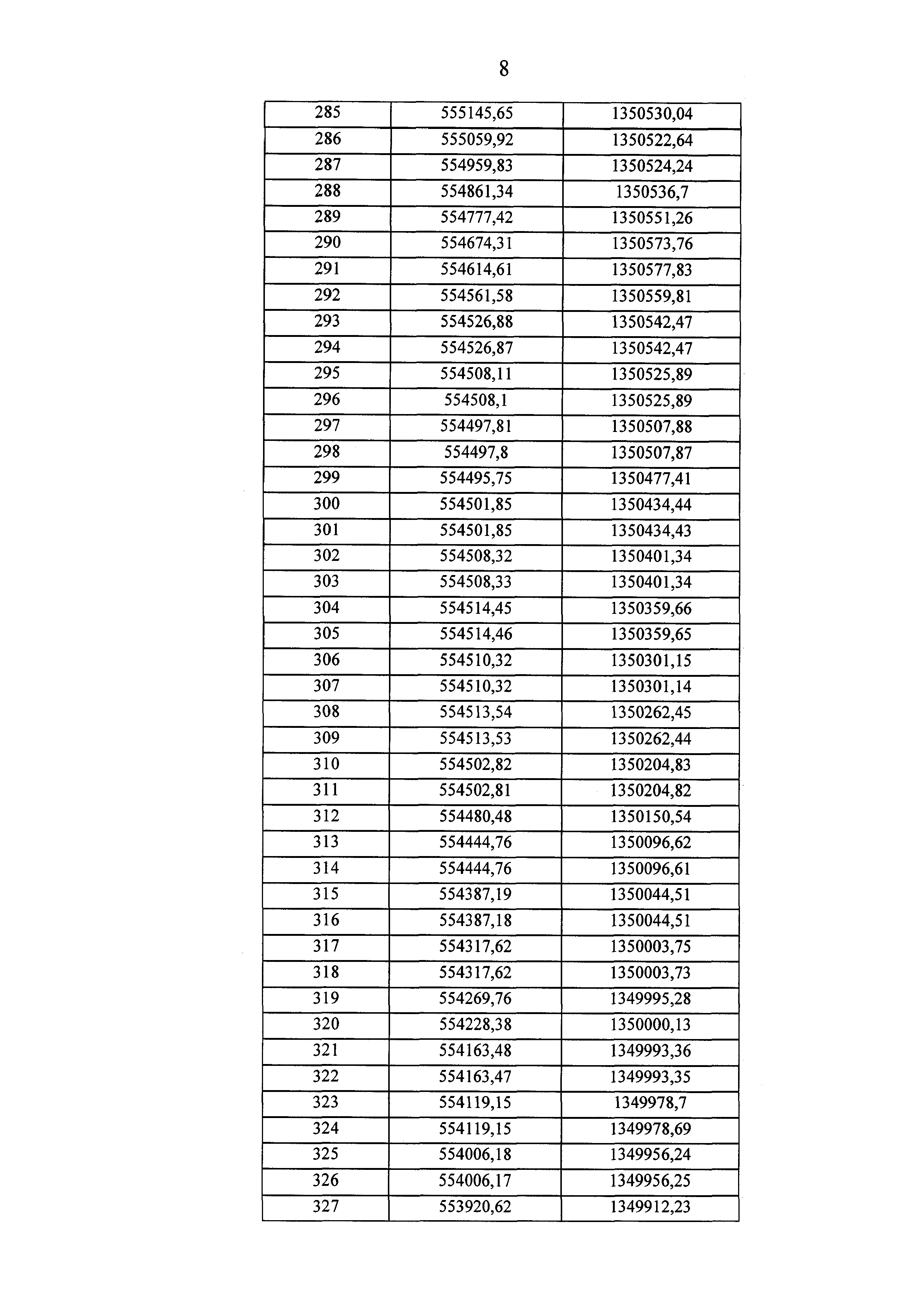
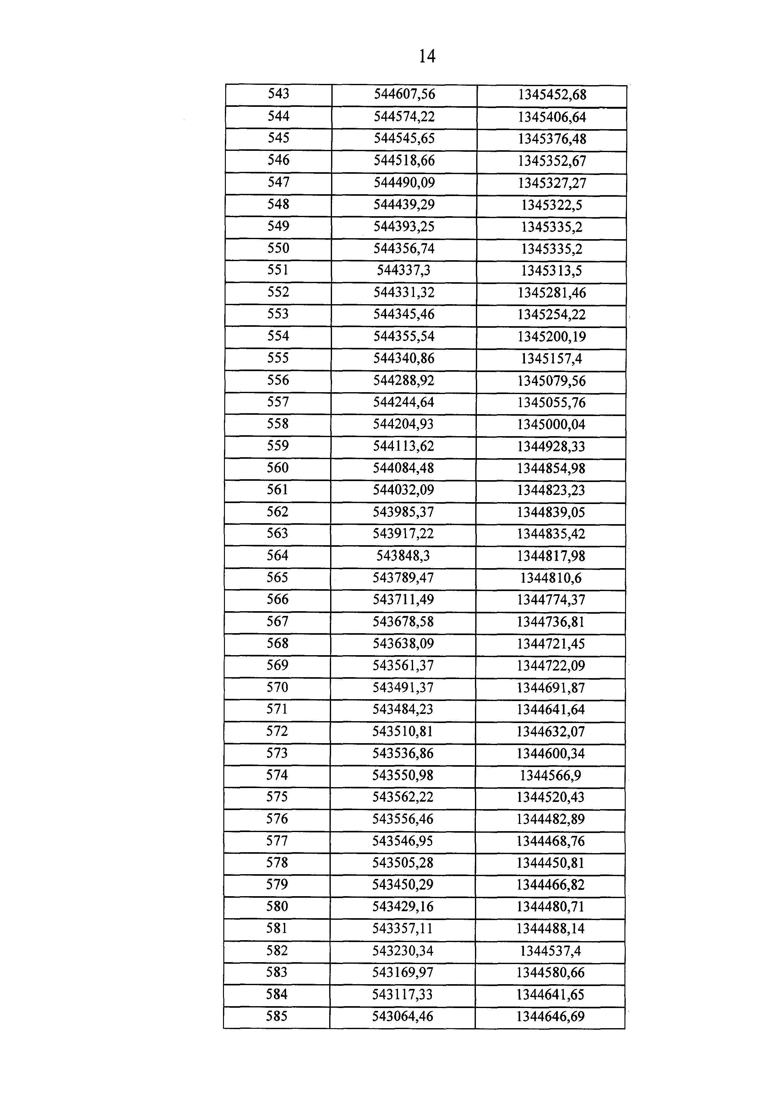
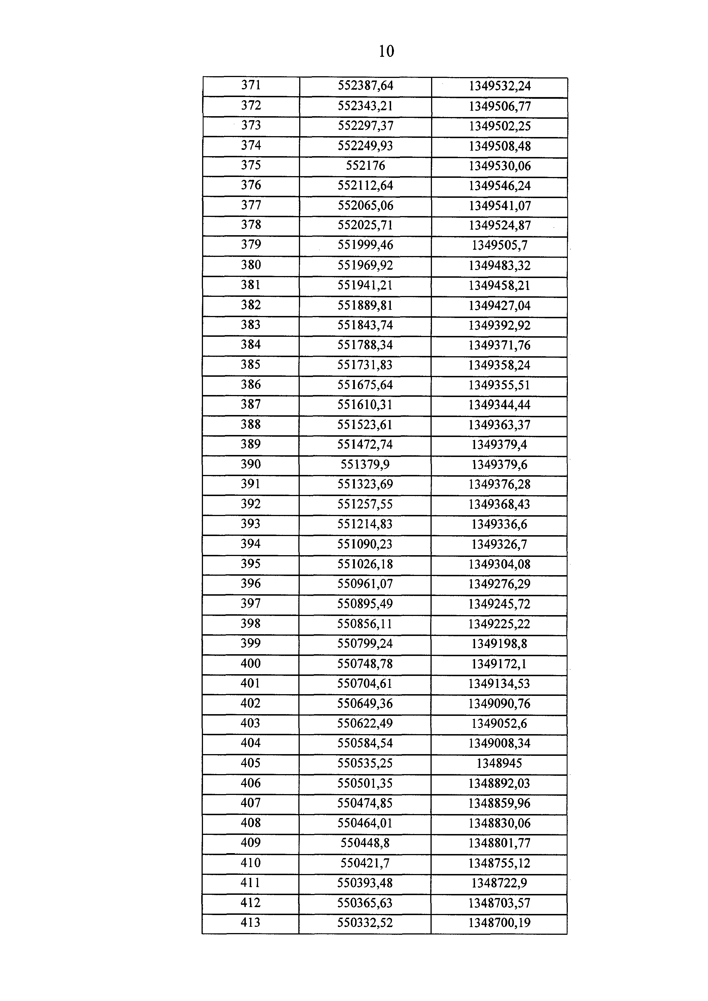
Приложение 1. Сведения о границах национального парка "Зигальга"
Приложение 2. Состав и описание границ функциональных зон национального парка "Зигальга"
Приложение 3. Карта-схема функционального зонирования национального парка "Зигальга"
Утверждён:18.05.2020 Министерство природных ресурсов и экологии Российской Федерации (280)
Издан: Официальный интернет-портал правовой информации (www.pravo.gov.ru) (от 25.08.2020. Номер опубликования: 0001202008250059)
Нормативные ссылки: