| Обозначение: |  ГОСТ 30055-93 |
| Статус: | действующий |
| Название рус.: | Канаты из полимерных материалов и комбинированные. Технические условия |
| Название англ.: | Polymeric and combined ropes. Specifications |
| Дата актуализации текста: | 06.04.2015 |
| Дата актуализации описания: | 01.07.2023 |
| Дата регистрации: | 20.10.1993 |
| Дата издания: | 01.08.2003 |
| Дата введения: | 01.01.1995 |
| Код ОКП: | 812111;812112;812114;812115;812116;812117;812119 |
| Взамен: | ГОСТ 483-75; ГОСТ 1088-71; ГОСТ 10293-77; ГОСТ 11914-86;ОСТ 17-507-75;ТУ 17-003-76 |
| Нормативные ссылки: | ГОСТ 7372-79; ГОСТ 9993-74; ГОСТ 10379-76; ГОСТ 10681-75; ГОСТ 15037-69; ГОСТ 21903-76; ГОСТ 24662-94; ГОСТ 25552-82; ГОСТ 27628-88;ОСТ 17-96-86;ОСТ 17-155-87;ОСТ 17-362-85;ОСТ 17-776-78;ТУ 6-06-С22-89;ТУ 6-12-5763340-111-78;ТУ 6-13-2-99;ТУ 6-13-105-96;ТУ 17-05-022-91;ТУ 2272-016-05766624-94 |
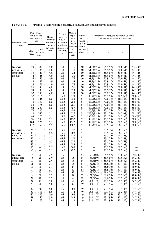
| Область применения: | Настоящий стандарт распространяется на канаты из однородных полимерных материалов, а также комбинированные канаты из разных полимерных материалов и комбинированные канаты с использованием стальной проволоки и полимерных материалов, предназначенные для различных отраслей народного хозяйства |
| Список изменений: | №1 от 30.09.2004 (рег. 01.03.2004) «Текстовое изменение; Изменены ссылочные НД» |
| Приложение №1: | Изменение №1 к ГОСТ 30055-93 |
|