| Обозначение: |  ГОСТ 18365-93 |
| Статус: | действующий |
| Название рус.: | Калибры-скобы листовые со сменными губками для диаметров свыше 100 до 360 мм. Размеры |
| Название англ.: | Plate snap-gauges with changeable lips for diameters over 100 to 360 mm. Dimensions |
| Дата актуализации текста: | 01.01.2026 |
| Дата актуализации описания: | 01.07.2023 |
| Дата издания: | 01.02.2004 |
| Дата введения: | 01.01.1995 |
| Код ОКП: | 393121 |
| Взамен: | ГОСТ 18365-73; ГОСТ 18366-73 |
| Нормативные ссылки: | ГОСТ 2015-84; ГОСТ 6636-69; ГОСТ 10300-80; ГОСТ 18369-73; ГОСТ 21401-75;ОСТ 1203;ОСТ 1205;ОСТ 1208;ОСТ 1209;ОСТ 1219;ОСТ 1220;ОСТ НКМ 1221 |
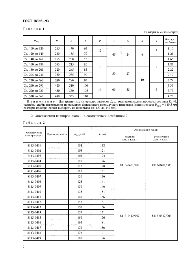
| Область применения: | Настоящий стандарт распространяется на гладкие листовые односторонние двупредельные калибры-скобы со сменными губками для контроля валов диаметрами свыше 100 до 360 мм |
| Приложение №1: | Поправка к ГОСТ 18365-93 |
|