| Обозначение: |  ГОСТ 5269-93 |
| Статус: | действующий |
| Название рус.: | Сердечники из волокнистых материалов для стальных канатов. Технические условия |
| Название англ.: | Fibre main cores for wire ropes. Specifications |
| Дата актуализации текста: | 06.04.2015 |
| Дата актуализации описания: | 01.07.2023 |
| Дата регистрации: | 21.10.1993 |
| Дата издания: | 20.07.1995 |
| Дата введения: | 01.01.1995 |
| Код ОКП: | 812124;812125;812127 |
| Взамен: | ГОСТ 5269-77;ОСТ 17-538-75;ТУ 17-05-1418-75 |
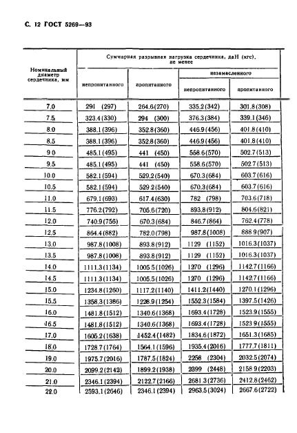
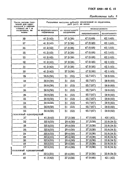
| Область применения: | Настоящий стандарт распространяется на сердечники из волокнистых материалов для стальных канатов |
|