| Обозначение: |  ГОСТ 30268-95 |
| Статус: | действующий |
| Название рус.: | Угли активные импрегнированные. Технические условия |
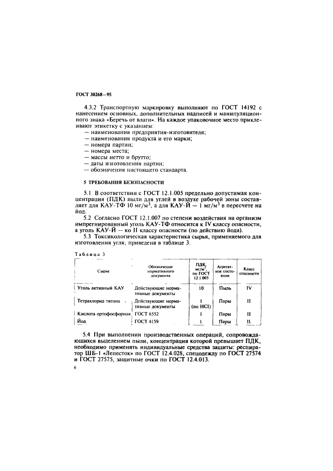
| Название англ.: | Carbons active impregnated. Specifications |
| Дата актуализации текста: | 06.04.2015 |
| Дата актуализации описания: | 01.01.2021 |
| Дата регистрации: | 26.04.1995 |
| Дата издания: | 14.08.1996 |
| Дата введения: | 01.01.1997 |
| Код ОКП: | 216200 |
| Область применения: | Настоящий стандарт распространяется на угли активные импрегнированные, изготовляемые по действующей нормативной документации из угля активного КАУ-1 марки А обработкой его йодом или фосфатом титана. Угли предназначены для сорбции токсических соединений из водных растворов, а также для доочистки питьевой воды |
|