| Обозначение: |  ГОСТ 27.402-95 |
| Статус: | действующий |
| Название рус.: | Надежность в технике. Планы испытаний для контроля средней наработки до отказа (на отказ). Часть 1. Экспоненциальное распределение |
| Название англ.: | Dependability in technics. Compliance test plans for mean time between failures (to failure). Part 1. Exponential case |
| Дата актуализации текста: | 06.04.2015 |
| Дата актуализации описания: | 01.01.2021 |
| Дата регистрации: | 26.04.1995 |
| Дата издания: | 01.07.2002 |
| Дата введения: | 01.01.1997 |
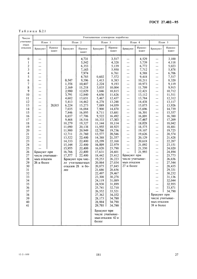
| Область применения: | Настоящий стандарт распространяется на объекты (изделия), распределения наработок до отказа или между отказами которых аппроксимируют экспоненциальным распределением, и устанавливает планы контрольных испытаний для проверки соответствия средней наработки до отказа или на отказ заданным требованиям |
|