| Обозначение: |  ГОСТ 30331.2-95 |
| Статус: | действующий |
| Название рус.: | Электроустановки зданий. Часть 3. Основные характеристики |
| Название англ.: | Electrical installations of buildings. Part 3. General characteristics |
| Дата актуализации текста: | 01.06.2022 |
| Дата актуализации описания: | 01.07.2023 |
| Дата издания: | 01.07.2004 |
| Дата введения: | 01.07.1996 |
| Код ОКП: | 340200 |
| Аутентичен стандартам: | ГОСТ Р 50571.2-94 |
| Содержит требования: | IEC 60364-3(1993) |
| На территории РФ пользоваться: | ГОСТ 30331.1-2013 |
| Нормативные ссылки: | IEC 60721-1(1990); ГОСТ 15150-69; ГОСТ 15543.1-89; ГОСТ 17516.1-90; ГОСТ 24682-81; ГОСТ 30331.1-95; ГОСТ Р 50571.1-93 |
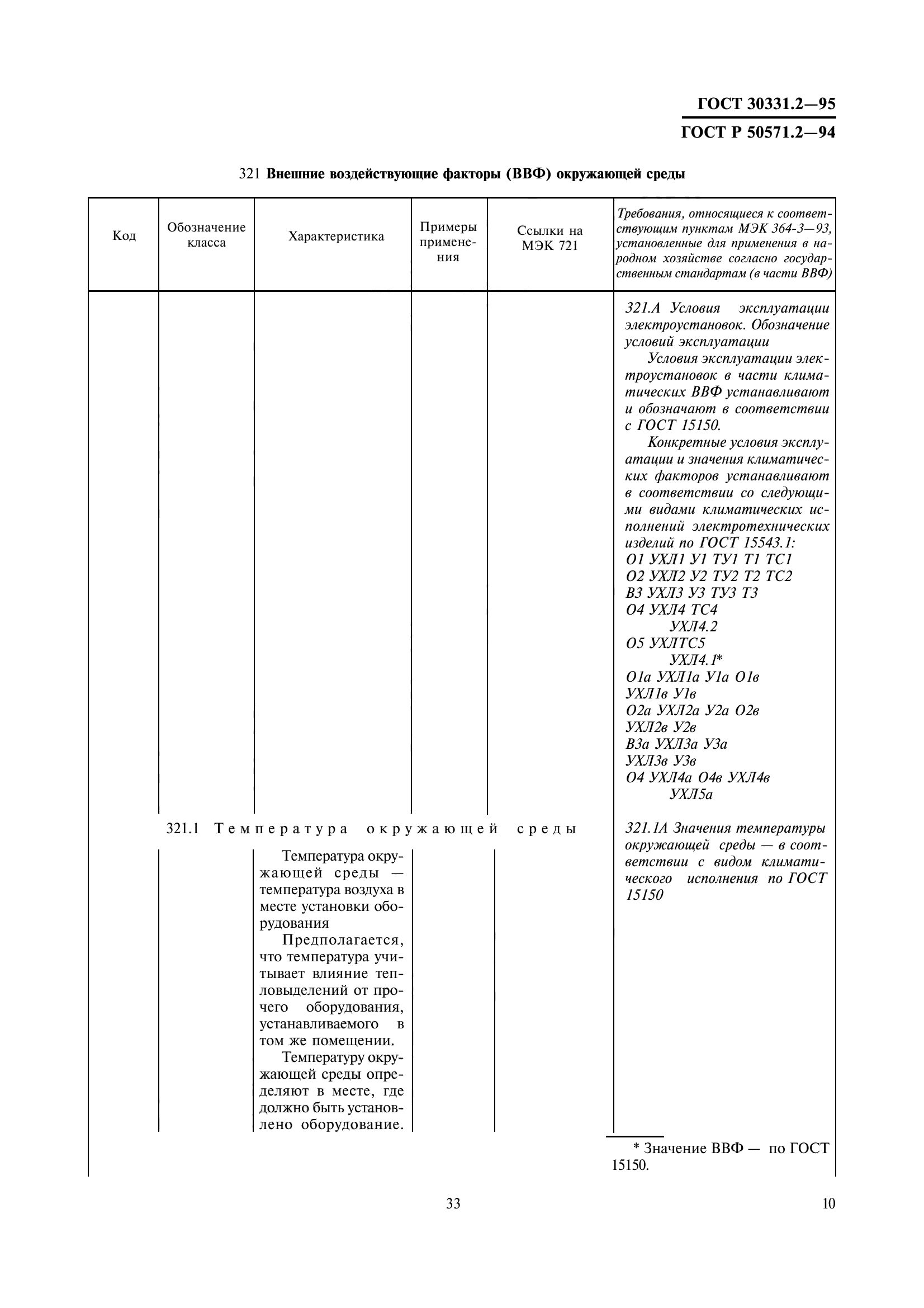
| Область применения: | Настоящий стандарт устанавливает основные характеристики электроустановок зданий, которые необходимы для обеспечения безопасности при эксплуатации электроустановок |
| Список изменений: | №0 от 30.06.2010 (рег. 25.08.2009) «Поправка к изменению» |
|