| Обозначение: |  ГОСТ Р 72432-2025 |
| Статус: | принят |
| Название рус.: | Оборудование частотно-временного обеспечения сетей связи. Методика сертификационных испытаний |
| Название англ.: | Equipment of frequency-temporal support of communication networks. Methodology of certification tests |
| Дата актуализации текста: | 01.01.2026 |
| Дата актуализации описания: | 01.01.2026 |
| Дата издания: | 15.12.2025 |
| Дата введения: | 27.02.2026 |
| Нормативные ссылки: | ГОСТ Р 8.563; ГОСТ 8.567; ГОСТ 8.568; ГОСТ 12.1.019; ГОСТ 12.1.030; ГОСТ 12.3.019; ГОСТ 5237; ГОСТ 15150; ГОСТ 29322; ГОСТ 30630.1.1; ГОСТ 30630.1.2; ГОСТ Р 51317.4.17; ГОСТ Р 58972; ГОСТ Р 58973; ГОСТ Р 71148; ГОСТ Р 71149 |
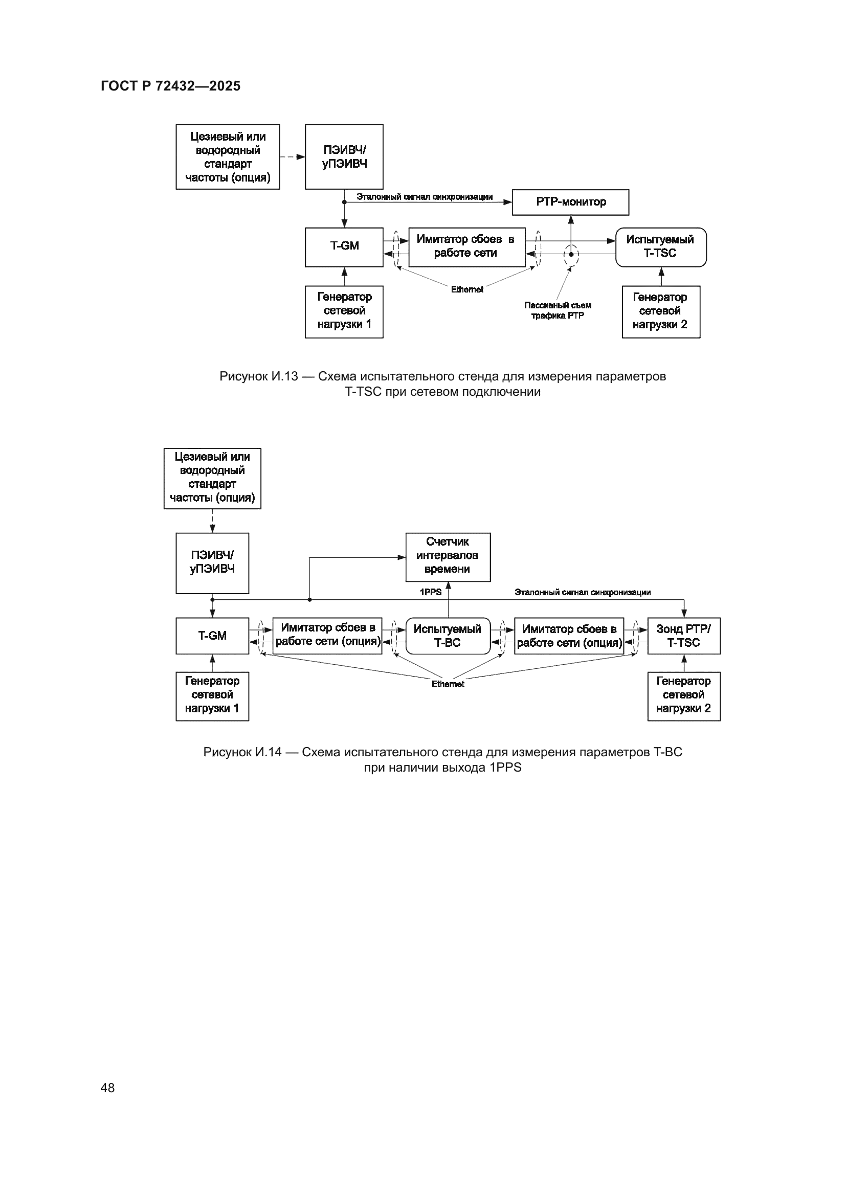
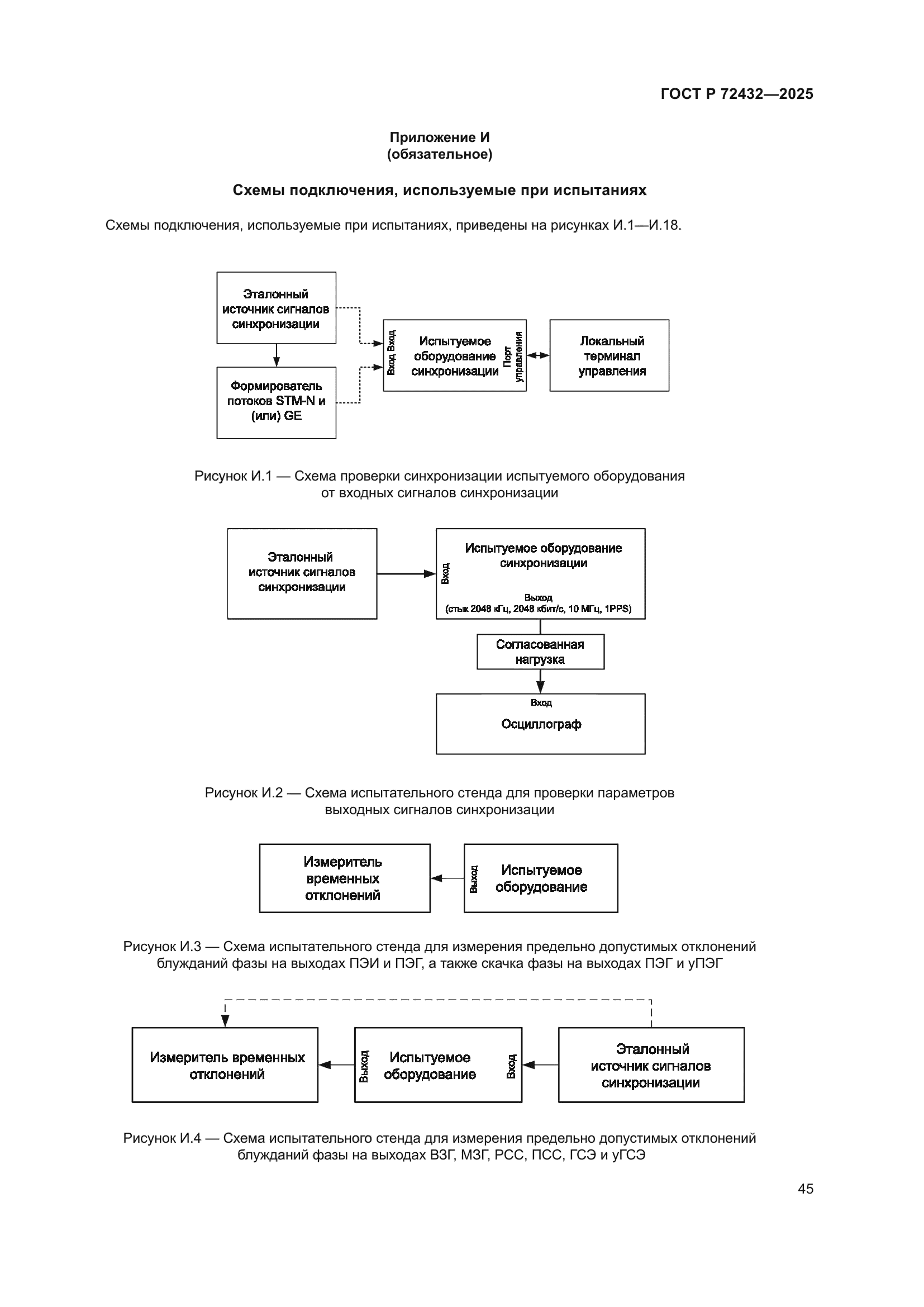
| Область применения: | Настоящий стандарт распространяется на оборудование частотно-временного обеспечения (ЧВО) сетей связи (далее – оборудование синхронизации), предназначенного для применения в составе сетей связи, входящих в сеть связи общего пользования (ССОП), а также в составе технологических сетей связи при их присоединении к ССОП. Настоящий стандарт устанавливает методику сертификационных испытаний технических характеристик и параметров оборудования синхронизации, которая включает в себя набор методов и описывает последовательность их выполнения. Устанавливаемые настоящим стандартом методика испытаний могут использоваться для обязательного подтверждения соответствия оборудования синхронизации установленным требованиям, а также при проведении различных видов приемочных испытаний оборудования синхронизации |
|