| Обозначение: |  ГОСТ ISO 16809-2022 |
| Статус: | принят |
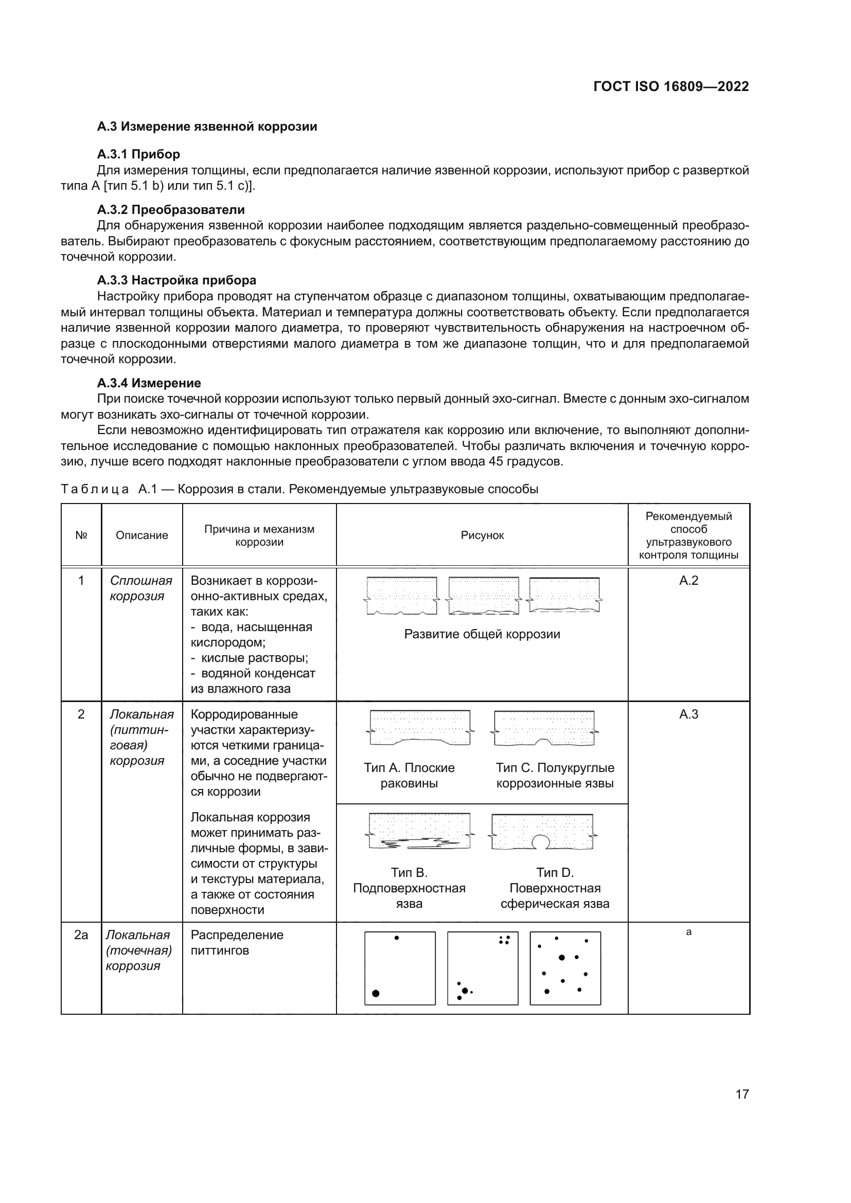
| Название рус.: | Контроль неразрушающий. Ультразвуковой контроль толщины |
| Название англ.: | Non-destructive testing. Ultrasonic thickness measurement |
| Дата актуализации текста: | 01.01.2026 |
| Дата актуализации описания: | 01.01.2026 |
| Дата регистрации: | 31.03.2022 |
| Дата издания: | 03.12.2025 |
| Дата введения: | 11.03.2026 |
| Аутентичен стандартам: | ISO 16809:2017 |
| Нормативные ссылки: | ISO 5577 |
| Область применения: | Настоящий стандарт устанавливает принципы измерения толщины металлических и неметаллических материалов контактным способом, основанный исключительно на измерении времени прохождения ультразвуковых импульсов |
|