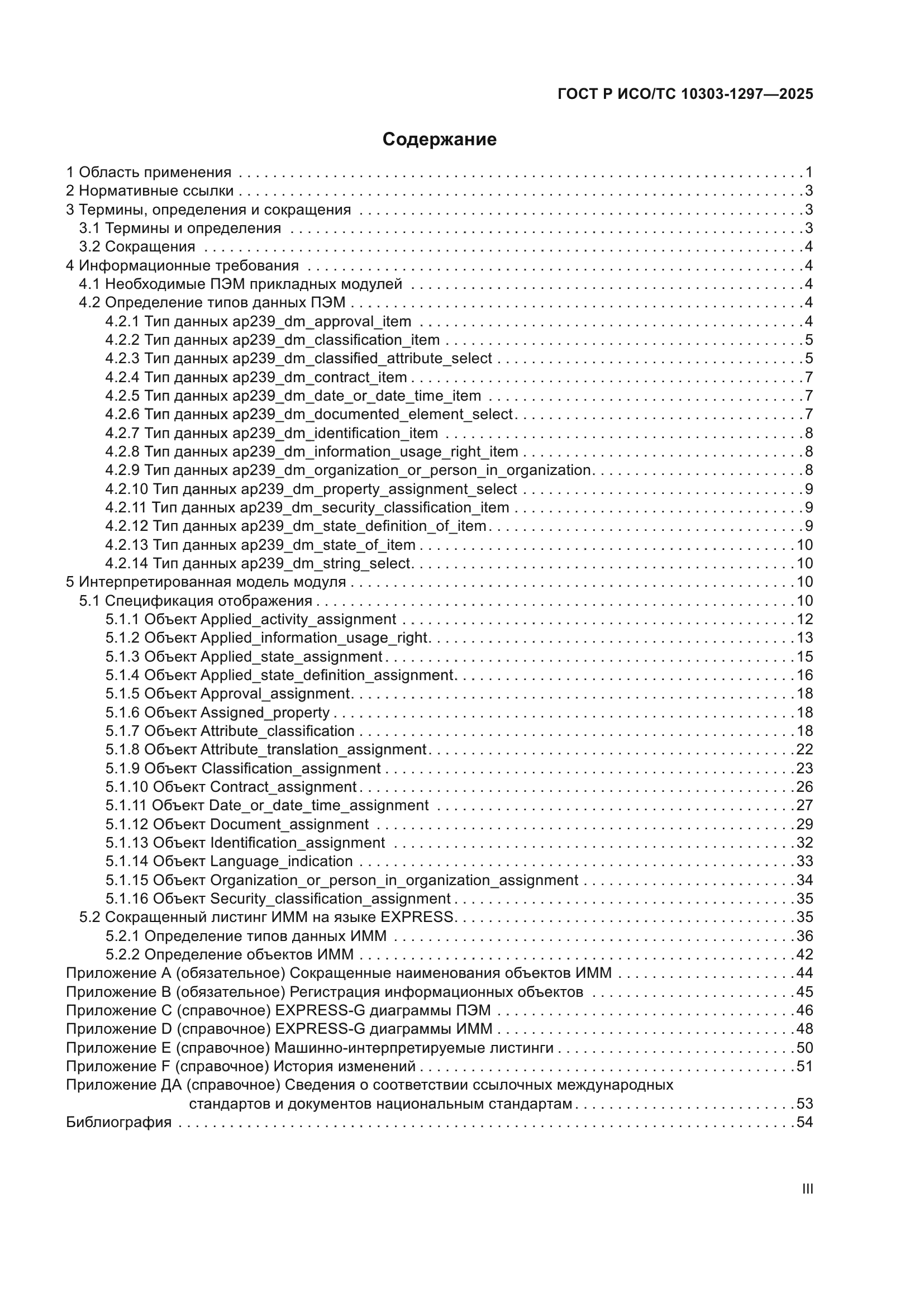
Скачать ГОСТ Р ИСО/ТС 10303-1297-2025 Системы автоматизации производства и их интеграция. Представление данных об изделии и обмен этими данными. Часть 1297. Прикладной модуль. Управление документами по прикладному протоколу ПП239Дата актуализации: 01.01.2026 ГОСТ Р ИСО/ТС 10303-1297-2025
Системы автоматизации производства и их интеграция. Представление данных об изделии и обмен этими данными. Часть 1297. Прикладной модуль. Управление документами по прикладному протоколу ПП239
| Обозначение: |  ГОСТ Р ИСО/ТС 10303-1297-2025 |
| Статус: | принят |
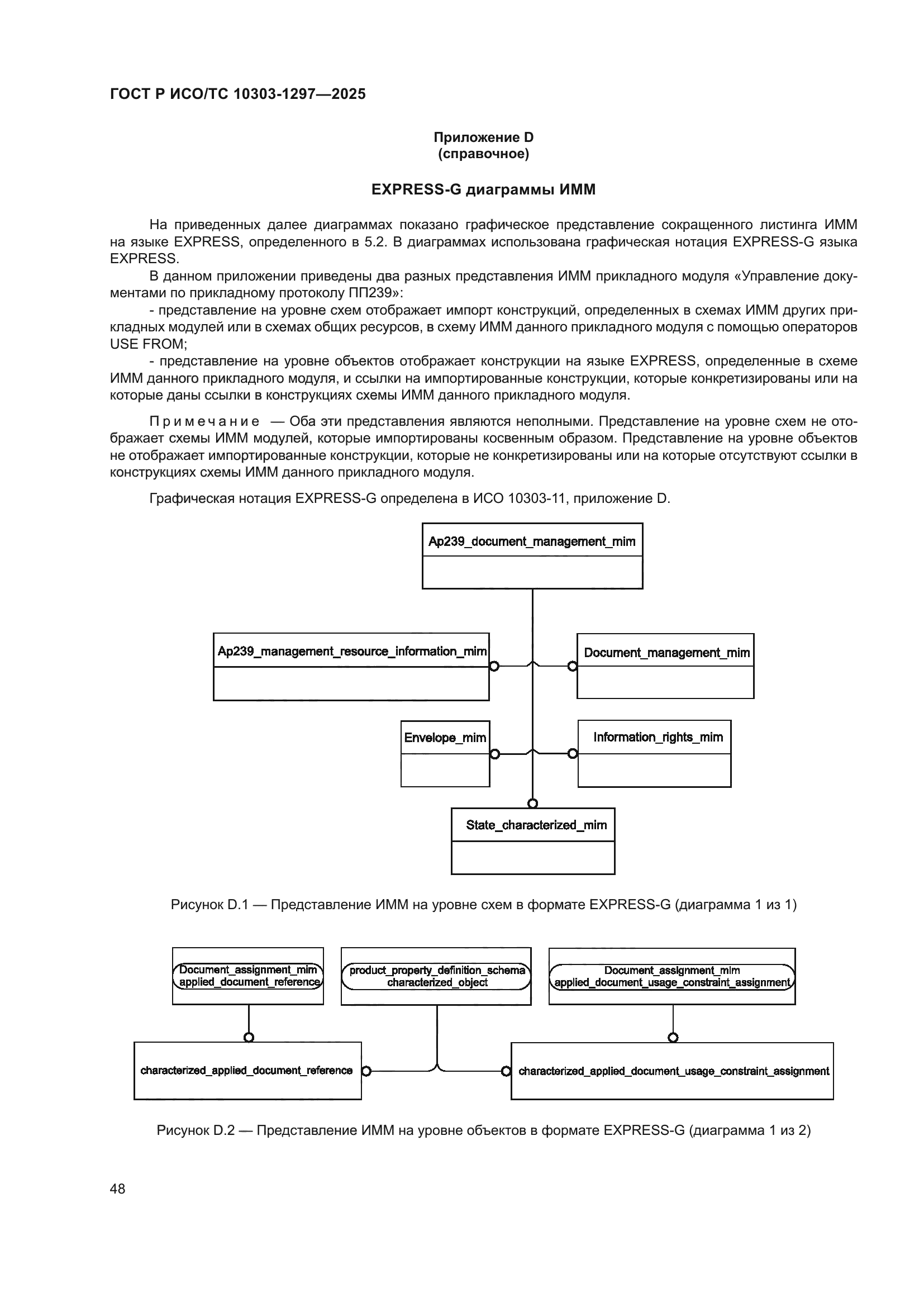
| Название рус.: | Системы автоматизации производства и их интеграция. Представление данных об изделии и обмен этими данными. Часть 1297. Прикладной модуль. Управление документами по прикладному протоколу ПП239 | | Название англ.: | Industrial automation systems and integration. Product data representation and exchange. Part 1297. Application module. AP239 document management | | Дата актуализации текста: | 01.01.2026 | | Дата актуализации описания: | 01.01.2026 | | Дата издания: | 12.12.2025 | | Дата введения: | 01.07.2026 | | Взамен: | ГОСТ Р ИСО/ТС 10303-1297-2012 | | Аутентичен стандартам: | ISO/TS 10303-1297:2024 | | Нормативные ссылки: | ISO 10303-1;ISO 10303-2;ISO 10303-11;ISO/TS 10303-1241;ISO/TS 10303-1265;ISO/TS 10303-1271;ISO/TS 10303-1289;ISO/TS 10303-1290 | | Область применения: | Настоящий стандарт определяет прикладной модуль «Управление документами по прикладному протоколу ПП239». Требования настоящего стандарта распространяются: - на присваивание документов или частей документов контрактам, сертификатам, работникам, организациям и заданиям идентифицирующих кодов; - задание характеристик файлу; - задание характеристик конкретному представлению версии документа; - определение версии документа в цифровом формате, таком как электронный файл; - определение версии документа в нецифровом формате, таком как бумажная копия; - идентификацию цифрового файла, такого как файл в компьютерной системе; - идентификацию документа; - идентификацию физического файла, такого как стопка бумаги; - идентификацию версии документа; - идентификацию определений документа в цифровой или физической системе хранения; - идентификацию файлов в цифровой или физической системе хранения; - взаимосвязи между определениями документа; - взаимосвязи между файлами; - спецификацию специфических характеристик документа; - спецификацию размещения определений документа в цифровой или физической системе хранения; - спецификацию размещения файлов в цифровой или физической системе хранения; - спецификацию представления специфических характеристик документа; - средства задания управленческой информации данным об изделии; - средства задания управленческой информации данным о действии; - средства задания управленческой информации для управленческих данных; - задание управленческой информации для управленческих данных; - связь значения, представленного классом, с атрибутом объекта, представляющим управленческую информацию; - задание классификационной информации для управленческой информации; - идентификацию класса, являющегося внешним по отношению к обменному файлу данных; - идентификацию библиотеки внешних классов, которая отсутствует в обменном файле, но содержит определения классов, используемых в обменном файле; - ссылки на класс в библиотеке внешних классов; - назначение идентифицирующего кода управленческой информации; - отношения между классами на языке теории множеств: - дополнение; - пересечение; - степенное множество; - собственное подмножество; - эквивалентность (т. е. равенство); - подмножество; - объединение; - определение состояния; - определение условий, необходимых для существования определения состояния; - взаимосвязь между двумя или более определениями состояния; - взаимосвязь между определением состояния или типом состояния и изделием, сотрудниками или организацией, с которыми оно связано; - идентификацию отдельных или реализованных состояний; - взаимосвязь между двумя или более состояниями; - взаимосвязь между отдельным или реализованным состоянием и изделием, сотрудниками или организацией, с которыми оно связано; - назначение наблюдаемого или предполагаемого состояния документам, версиям документов и определениям документов; - идентификацию сообщения; - идентификацию создателя и даты создания сообщения; - идентификацию лица, утверждающего сообщение; - регистрацию состояния сообщения относительно бизнес-процесса; - применение к сообщению грифа секретности; - связь сообщений друг с другом; - идентификацию содержания сообщения; - идентификацию конверта; - идентификацию отправителя конверта и даты отправки; - идентификацию получателя конверта и даты получения; - авторизацию отправки сообщения; - представление запроса на уведомление о получении конверта и последующего подтверждения получения; - связь конвертов друг с другом; - задание характеристик конверта; - определение права на информацию; - регистрацию истории предоставления и отмены права для сотрудника или организации; - связь права с конкретными элементами информации; - утверждение общего предоставления права; - утверждение особого предоставления права на конкретные элементы информации; - идентификацию контракта, согласно которому предоставляется право; - взаимосвязь между правами на использование информации; - идентификацию языка; - идентификацию языка, на котором представлен текстовый атрибут; - связь перевода на конкретный язык с текстовым атрибутом | |
                                                        
|