| Обозначение: |  ГОСТ Р 113.26.02-2025 |
| Статус: | действующий |
| Название рус.: | Наилучшие доступные технологии. Производство кокса. Методы осуществления производственного экологического контроля неорганизованных источников загрязнения атмосферного воздуха |
| Название англ.: | Best Available Techniques. Coke production. Methods for industrial environmental control of non-organized industrial air pollution |
| Дата актуализации текста: | 01.01.2026 |
| Дата актуализации описания: | 01.01.2026 |
| Дата издания: | 10.12.2025 |
| Дата введения: | 01.01.2026 |
| Нормативные ссылки: | ГОСТ 3.1109; ГОСТ 12.1.005; ГОСТ 12.3.002; ГОСТ 22270; ГОСТ 34060; ГОСТ Р 8.589; ГОСТ Р 14.13; ГОСТ Р 56059; ГОСТ Р 56062; ГОСТ Р 56828.37; ГОСТ Р 58579; ГОСТ Р 59059; ГОСТ Р ЕН 15259; ГОСТ Р ИСО 11771;ОК 029;ОК 034 |
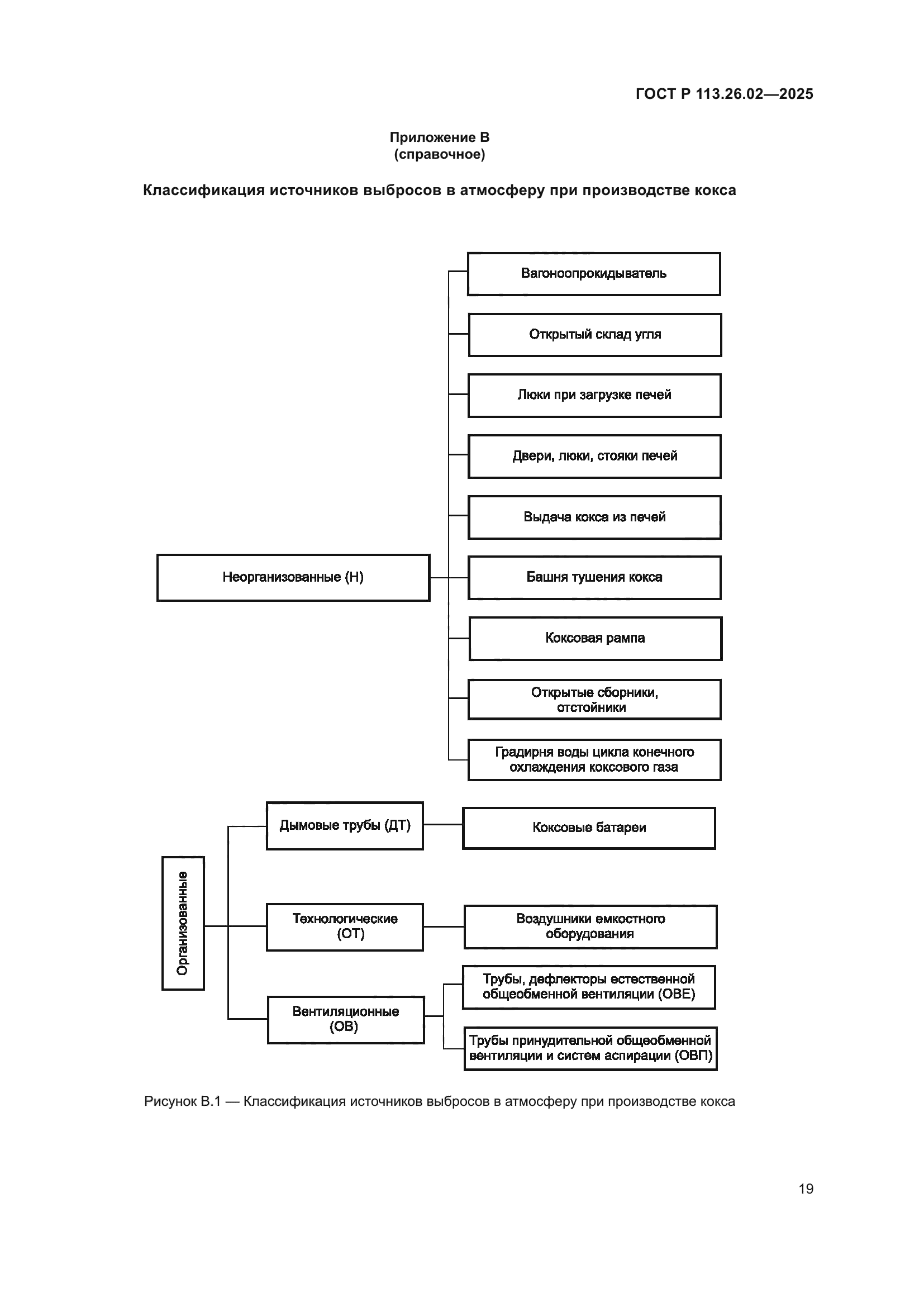
| Область применения: | Настоящий стандарт устанавливает порядок организации и проведения производственного экологического контроля выбросов загрязняющих веществ из неорганизованных источников при осуществлении деятельности по производству кокса, определяемой в соответствии с ОКВЭД 2 ОК 029 и ОКПД 2 ОК 034. Требования настоящего стандарта предназначены для применения в нормативной, технической и проектно-конструкторской документации применительно к производственному экологическому контролю неорганизованных источников выбросов при производстве кокса. Положения настоящего стандарта распространяются на деятельность юридических лиц, осуществляющих мониторинг загрязнения атмосферного воздуха и контроль выбросов загрязняющих веществ от объектов производства кокса |
|